发展历程
1861年,奥古斯特·凯库勒(August Kekule)提出在有机化合物中碳的四价概念。1874年,范特霍夫(Vant Hoff)和勒贝尔(Lebel)提出了四面体学说,认为有机化合物中饱和碳原子上的4个共价键是以原子核为中心,指向正四面体的4个顶点。1931年,鲍林(L. Pauling)和斯莱脱(Slater)在价键理论的基础上提出了杂化轨道理论,用数学方法建立了包括碳原子在内的许多原子轨道的立体模型,阐述了甲烷正四面体构型形成的理由。1953年,中国化学家唐敖庆等统一处理了s、p、d、f轨道杂化,提出了杂化轨道一般方法,进一步丰富了杂化轨道理论的内容。
实际意义
由于价键理论能阐明共价键的形成过程和本质,并解释了共价键的方向性和饱和性,但无法说明一些分子或多原子离子的空间构型。例如CH₄分子,近代实验测定表明CH₄分子是正四面体结构,C原子位于四面体的中心,4个H原子位于四面体的4个顶点, CH₄分子中的四个C-H键是完全等同的。但按照价键理论,C原子的核外电子排布为1s²2s²2pₓ¹2pᵧ¹,可见C原子只有2个未成对电子,所以只能与2个H原子形成2个共价键,但这与实验事实不符,所以价键理论无法完全解释分子的立体构型。由此为了较好地解释多原子分子的空间构型和性质,鲍林(L. Pauling)于1931年提出了杂化轨道理论,丰富和发展了现代价键理论。
基本内容
1.在形成分子时,由于原子间的相互作用,同一原子中能量相近的某些原子轨道,在成键过程中重新分配能量和空间方向,组合成一系列形状、能量完全相同的新轨道而改变了原有轨道的状态,这一过程称为轨道杂化,所形成的新轨道叫作杂化轨道,每个杂化轨道中均含有一个电子。杂化轨道与杂化前的原子轨道比较,轨道的形状、空间伸展方向、轨道间的夹角、成键能力都发生了改变。
2.在原子形成分子的过程中,一般要经过激发、杂化、轨道重叠等过程。以CH₄分子为例:①激发。C原子欲与4个H原子结合,首先要将2s轨道的一个电子激发到2p空轨道上,这样才能有4个未成对电子分别与4个H原子结合成键,在成键过程中,激发和成键是同时发生的,从基态变为激发态所需的能量,可由形成更多的共价键而释出的能量来补偿;②杂化。中心C原子的1个2s轨道和3个2p轨道进行混杂后,形成4个能量相同的sp³杂化轨道;③轨道重叠。4个sp³杂化轨道分别与4个H原子的1s轨道重叠成键,形成CH₄分子,4个C-H键完全等同。
3.有几个原子轨道参加杂化,就形成几个杂化轨道,即杂化轨道的数目等于参与杂化的原子轨道数目。例如CH₄分子中,C原子的2s、2pₓ、2pᵧ和2pz4个原子轨道参与杂化,就形成4个杂化轨道。
4.杂化轨道成键时要满足原子轨道最大重叠原理,即原子轨道重叠愈多,形成的化学键愈稳定。由于杂化轨道的角度波函数在某个方向的值比杂化前大得多,更有利于原子轨道间最大程度的重叠,因而杂化轨道的成键能力比杂化前强。且形成的化学键更牢固,分子更稳定。
5.杂化轨道在空间中尽可能的采取使键角最大、相互间斥力最小的构型,从而使分子具有较小的内能,体系更趋稳定。即杂化轨道成键时要满足化学键间最小排斥原理。
6.在成键过程中,杂化轨道的能量会重新分配,导致形状和空间方向发生改变。不同类型的杂化轨道,具有不同的空间构型。例如,1个ns轨道和1个np轨道发生杂化叠加后,会导致轨道一端变大一端变小,如下图所示。变大的一端更容易和其他原子轨道形成最大重叠而成键。

7.原子轨道的杂化只发生在分子的形成过程中,是原子的外层轨道在原子核及键合原子的共同作用下发生的,孤立的原子不可能发生杂化。且只有能量相近的原子轨道(如2s和2p)才能发生杂化,能量相差较大的轨道(如1s和2p)则不能发生杂化。
分类
根据参与杂化的原子轨道种类不同,杂化方式可分为sp型杂化、spd型杂化和dsp型杂化等。根据杂化轨道是否完全相同又可分为等性杂化与不等性杂化。
sp型杂化
对于主族元素来说,ns、np能级比较接近(n为能层数),通常采用sp型杂化。根据参与杂化的原子轨道数目不同,sp型杂化可分为sp³杂化、sp²杂化和sp杂化。
sp³杂化
能量相近的1个ns轨道和3个np轨道可形成4个完全相同的sp³杂化轨道,每个sp³杂化轨道含有1/4的s成分和3/4的p成分,杂化轨道之间的夹角为109°28',形成的分子呈四面体构型。其形成过程如下图所示。

例如CH₄分子形成,C原子的最外层电子排布为2s²2pₓ¹2pᵧ¹,C原子杂化时,1个2s电子被激发而进入到2p轨道上发生sp³杂化,形成4个完全相同sp³杂化轨道。4个sp³杂化轨道分别与H原子的1s轨道重叠形成4个σ键,生成CH₄分子。由于H原子是沿着杂化轨道伸展方向最大重叠的,所以CH₄分子的空间构型为正四面体形,4个C-H键之间的夹角为109°28',其杂化过程如下图所示。

sp²杂化
能量相近的1个ns轨道和2个np轨道可形成3个完全相同的sp²杂化轨道,每个sp²杂化轨道含有1/3的s成分和2/3的p成分,杂化轨道之间的夹角为120°,形成的分子呈平面三角形构型。其形成过程如下图所示。

例如BF₃分子的形成,基态B原子的最外层电子排布为2s²2pₓ¹,在F原子的影响下,B 原子的一个2s电子被激发到空的2p轨道上,与2个含有成单电子的2p轨道发生杂化,形成3个完全相同的sp²杂化轨道。3个sp²轨道分别与3个F原子的2p轨道重叠形成3个(sp²-p)σ键,杂化轨道间的夹角为120°,所以BF₃分子呈平面三角形,其杂化过程如下图所示。

sp杂化
能量相近的1个ns轨道和1个np轨道杂化,形成两个能量、形状完全相同的sp杂化轨道,每个sp轨道中含有1/2的s成分和1/2的p成分,2个杂化轨道的对称轴在同一直线上,杂化轨道之间夹角为180°,形成的分子呈直线形构型。其形成过程如下图所示。

例如气态BeCl₂分子的形成,基态Be原子的最外层电子排布为2s²,由于Be原子的一个2s电子获得能量被激发进入2p轨道,杂化形成2个完全相同的sp杂化轨道,2个sp杂化轨道分别与两个CI原子的3p轨道重叠生成2个σ键,所以BeCl₂分子的空间构型呈直线形,其杂化过程如下图所示。

dsp型和spd型杂化
在第三周期以后元素的原子中,由于其价层中除了含有s、p两种类型的轨道外,还有d轨道,这些d轨道也能参与形成dsp型杂化或spd型杂化。对于周期表中过渡金属元素,其原子的(n-1)d轨道能级与ns和np轨道的能级很接近,因此这些轨道间可以构成dsp杂化轨道,也称内轨型杂化,形成的配合物称为内轨型配合物;对于主量子数相同的p区元素,其原子的ns、np及nd轨道能量相近,因此这些轨道间可以构成spd杂化轨道,也称外轨型杂化,形成的配合物称为外轨型配合物。
dsp²/sp²d杂化
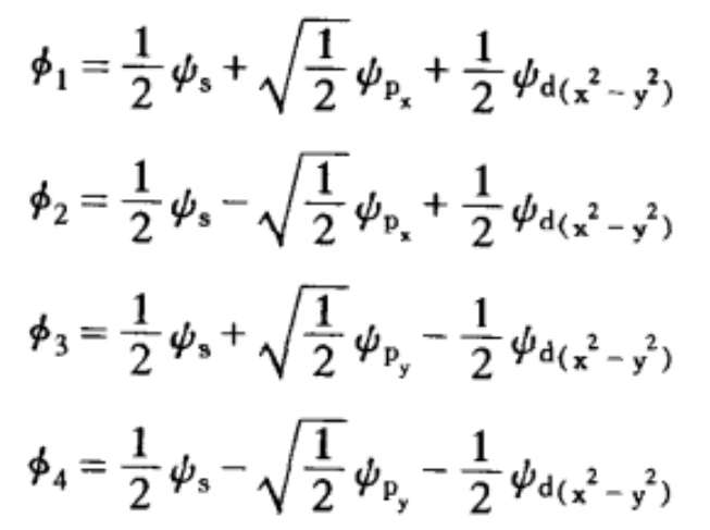
dsp²或sp²d杂化轨道是由ns、npₓ、npᵧ和nd₍ₓ₂₋ᵧ₂₎或(n-1)d₍ₓ₂₋ᵧ₂₎4个轨道构成的杂化轨道。由于d₍ₓ₂₋ᵧ₂₎、pₓ和pᵧ的轴都位于xy平面内,因此四个杂化轨道的轴也都位于xy平面内。dsp²的4个杂化轨道的态函数如下,由参与杂化的原子轨道的系数可以看出,s轨道对各个杂化轨道贡献均为1/4,pₓ轨道只对φ₁和φ₂轨道有贡献,pᵧ轨道只对φ₃和φ₄轨道有贡献,均为1/2,d₍ₓ₂₋ᵧ₂₎轨道对各杂化轨道的贡献都是1/4。采取dsp²杂化的分子构型为平面正方形,如下图所示,其配位数为4,如PtCl₄²⁻、AuCl₄⁻、XeF₄等。


例如[Ni(CN)₄]²⁺配离子的形成,当Ni²⁺与4个CN⁻接近时,前者的价电子层结构会发生重排,空出1个3d轨道,此3d轨道可与1个4s轨道和2个4p轨道进行dsp²杂化,形成4个完全相同的dsp²杂化轨道,分别接纳4个CN⁻中4个C原子提供的4对孤对电子,形成4个配位键,配离子空间构型为平面正方形,Ni²⁺在平面正方形的中心,4个配位原子C在平面正方形的四个顶点。其杂化过程如下图所示。

dsp³/sp³d杂化
dsp³或sp³d杂化轨道是由ns、npₓ、npᵧ、npz和ndz²或(n-1)dz²5个轨道构成的杂化轨道,为三角双锥构型,如下图所示,其配位数为5,如Fe(CO)₅、PF₅、[Ni(CN)₄]²⁻等。例如Fe(CO)₅配位分子的形成,当Fe原子与4个CO接近时,Fe原子的价电子层结构会发生重排,空出1个3d轨道,并与1个4s和3个4p轨道进行dsp³杂化,形成5个完全相同的dsp³杂化轨道,分别接纳5个CO中的5个C原子提供的5对孤对电子,形成5个配位键,配位分子空间构型为三角双锥形,Fe原子在三角双锥的中心,5个配位原子C位于顶角上。其杂化过程如下图所示。


d²sp³/sp³d²杂化
d²sp³或sp³d²杂化轨道是由ns、npₓ、npᵧ、npz、nd₍ₓ₂₋ᵧ₂₎或(n-1)d₍ₓ₂₋ᵧ₂₎和ndz²或(n-1)dz²6个轨道构成的杂化轨道,为八面体构型,如下图所示,其配位数为6,如SF₆、PF₆、[Fe (CN)₆]³⁻、[Co(NH₃)₆]³⁻等。每个杂化轨道的成分都是s占1/6,p占3/6,p占2/6。

例如[CoF₆]³⁻配离子的形成,Co³⁺的价电子层排布为3d⁶,当其与F⁻形成配离子时,Co³⁺的原有的电子层结构保持不变,利用1个4s、3个4p和2个4d轨道进行sp³d²杂化,形成6个sp³d²杂化轨道,分别接纳6个配位原子F⁻所提供的6对孤对电子,形成6个配位键,配离子的空间构型为正八面体形,Co³⁺位于正八面体的中心,F⁻位于正八面体的6个顶角上。其杂化过程如下图所示。再例如[Co(CN)₆]³⁻配离子的形成,当Co³⁺与CN⁻形成配离子时,Co³⁺原有的电子层结构会发生变化,即3d轨道中的6个价电子进行重排从而空出2个3d轨道,并与1个4s轨道和3个4p轨道进行d²sp³杂化,形成6个d²sp³杂化轨道,分别接纳6个CN⁻的配位原子C所提供的6对孤对电子,形成6个配位键,空间构型也是八面体形。其杂化过程如下图所示。


其他杂化
除上述杂化方式外,还有d²sp²杂化、d³sp³杂化和d⁴sp³杂化等。d²sp²杂化是由ns、npₓ、npᵧ、nd₍ₓ₂₋ᵧ₂₎或(n-1)d₍ₓ₂₋ᵧ₂₎和ndz²或(n-1)dz²5个轨道构成的杂化轨道,为四方锥体构型,如BrF₅等。d³sp³杂化为五角双锥构型,如XeF₆、IF₇等。d⁴sp³杂化轨道是由ns、npₓ、npᵧ、npz、nd₍ₓ₂₋ᵧ₂₎或(n-1)d₍ₓ₂₋ᵧ₂₎、ndz²或(n-1)dz²、ndₓz或(n-1)dₓz和ndᵧz或(n-1)dᵧz8个轨道构成的杂化轨道,为正方体构型,如[Mo(CN)₈]⁴⁻等。
总的杂化类型及其几何构型和实例如下表所示。
杂化类型 | 几何构型 | 实例 |
sp | 直线形 | CH≡CH、HgCl₂、CO₂、Ag(NH₃)₂⁺ |
sp² | 平面三角形 | CH₂=CH₂、AlCl₃、SO₃、Cu(CN)₃²⁻ |
sp³ | 正四面体形 | CH₄、CCl₄、MnO₄⁻、Zn(NH₃)₄²⁺ |
dsp² | 平面正方形 | [Ni(CN)₄]²⁻、PtCl₄²⁻、AuCl₄⁻、XeF₄ |
dsp³ | 三角双锥体形 | Fe(CO)₅、PF₅、[Ni(CN)₄]²⁻ |
d²sp² | 四方锥体形 | BrF₅ |
d²sp³ | 正八面体形 | SF₆、PF₆、[Fe(CN)₆]³⁻、FeF₆³⁻ |
d³sp³ | 五角双锥体形 | XeF₆、IF₇ |
d⁴sp³ | 正方体形 | [Mo(CN)₈]⁴⁻ |
等性杂化与不等性杂化
等性杂化
等性杂化(Equivalent Hybridization)是指在杂化过程中都形成含有相同能量、成分、成键能力等完全相同的杂化轨道,所不同的是它们各自在空间的取向不同。
不等性杂化
不等性杂化(Nonequivalent Hybridization)是指杂化所形成的杂化轨道的能量不完全相同的轨道。由于原子轨道的杂化并不只在含有未成对电子的原子轨道之间发生,含有孤对电子的轨道或空的原子轨道也可以参与杂化而形成杂化轨道,这种类型的轨道杂化即称为不等性杂化。例如NH₃分子的形成,基态N原子的最外层电子排布为2s²2pₓ¹2pᵧ¹2pz¹,成键时这4个价电子轨道通过sp³杂化得到4个sp³杂化轨道,其杂化过程如下图所示。其中有3个sp³杂化轨道分别被未成对电子占有,和3个H原子的1s电子形成3个 σ键,另一个sp³杂化轨道则为孤对电子所占有,该孤对电子未参与成键,故较靠近N原子,其电子云较密集于N原子的周围,从而对其他3个被成键电子对占有的sp³杂化轨道产生较大排斥作用,键角被压缩到107°20',故NH₃分子立体构型不是呈四面体形而是三角锥形,如下图所示。


杂化类型的判断
结构式法
杂化轨道数=成键电子对数+孤电子对数,画出分子的Lewis结构式,判断出其成键电子对数(σ键数)和孤电子对数即可得杂化轨道数,杂化轨道数为4、3、2时分别对应sp³杂化、sp²杂化、sp杂化。例如NPCl₂分子,其Lewis结构式如下,由图可知其成键电子对数为3,孤电子对数为0,所以其杂化轨道数为3,杂化类型为sp²杂化。

计算法
同样以杂化轨道数=成键电子对数+孤电子对数为原理,成键电子对数为中心原子的配位数,孤电子对数可由公式(价电子数+带负电荷数-参与成键的电子数)/2计算得到。例如HCN分子,其成键电子对数为2,孤电子对数为(4+0-4)/2=0,所以其杂化轨道数为2,杂化方式为sp杂化;又例如NH₃分子,其成键电子对数为3,孤电子对数为(5+0-3)/2=1,所以其杂化轨道数为4,杂化方式为sp³杂化。
局限性
杂化轨道理论比较成功地解释了一些多原子分子的空间构型。但是对于任意一个共价分子,有时很难预测它究竟采用什么杂化方式成键,因而影响了杂化轨道理论的广泛适用性。为了解决这一问题,1940年英国化学家西奇威克(N. V. Sidgwick)和鲍威尔(H. M. Powell)又提出了价层电子对互斥理论,简称VSEPR法。