简介
石老人国家旅游度假区属于温带大陆性季风气候,受海洋气候的影响,春冷、夏凉、秋暖、冬温,年平均气温12.2℃,8月平均水温24.5℃,平均日照2550小时,昼夜温差小,适合避暑度假、海水游乐运动等。地形从西向东逐渐高起,其海岸是以花岗岩为主的石质海岸,在潮间带形成较宽阔的浪蚀平台上多有岩礁突起,海蚀柱屹立。度假区内海滩达55万平方米,多为细粒沙,海面最大浪高8米,最大潮位5.36米,为优良的天然海水浴场。西段则为长达5.2千米浮山前海蚀阶地。
明朝末年,黄宗昌在所著《崂山志》中便有关于石老人的记载,新中国解放前,常有村民攀登至此打牌玩耍,石老人的中心洞可同时容纳4人围坐其中。1983年,青岛市政府在石老人村西划定2.5平方千米的区域,作为旅游开发区。在1992年10月3日成为经国务院首批批准成立的国家级旅游度假区之一。截至2023年,石老人国家旅游度假区形成以山海风光、啤酒文化、渔村民风、海洋娱乐等为主要特色,建有海水浴场、青岛国际啤酒城、高尔夫球场、极地海洋世界、国际美食娱乐城等景点的景区。
截止2023年8月份,石老人国家旅游度假区在旅游旺季接待量已达290.2万人次,单日接待量最多达14万人次。度假区内海昌极地海洋公园在2007年8月20日被评为国家AAAA级旅游景区,石老人海水浴场也被众多摄影爱好者评为中国最美日出地之一。
命名
石老人国家旅游度假区内海中有一高出水面15米、周长约30米、中间有直径1米通孔的笋状礁石,远看酷似驼背老人矗立海中,故该礁石被取名成为石老人,度假区也因此而得名。
自然地理
位置境域
石老人国家旅游度假区位于中国山东省青岛市东起石老人村东部边界,总占地面积10.8平方千米。距崂山太清宫不足20千米,西至南京路与东海路交界处,同市南海滨相连,北起金家岭山南坡、浮山、午山,南至南海海滨。
地理特征
石老人国家旅游度假区属暖温带大陆性季风气候,由于濒临黄海,受海洋气候的调节作用,表现出春冷、夏凉、秋暖、冬温、昼夜温差小、无霜期长和湿度大等海洋性气候特点,其年平均气温在12.2℃,8月平均水温24.5℃,平均日照2550小时,适宜避暑度假、海水游乐运动等。
石老人及周边地质形成于9.5亿至11.3亿年前,归属于华夏系第二隆起带构造体系。其海岸是以花岗岩为主的石质海岸,其次是变质岩和火山碎屑岩等形成。岸基本无岬湾相间的曲折现象,海岸线平直、稳定,坚固,抗蚀退能力强,形成主体海岸,其中以石老人海水浴场为典型。
其地形从西向东逐渐高起,在度假区西南岸,由火山碎屑岩组成的石老人岩石岸,因岩层破碎质地软弱,海蚀崖也一直处于侵蚀后退状态。在潮间带形成较宽阔的浪蚀平台,宽度达50~100米以上。平台上多有有岩礁突起,海蚀柱屹立。

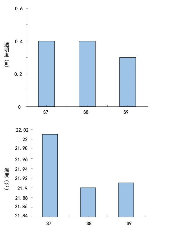
石老人国家旅游度假区周边海水透明度变化范围为0.3—0.4米,平均值为0.37米,水温变化为21.9—22.01℃,8月平均水温24.5℃,其周边平均水温为21.94℃。度假区内海水受潮汐影响,平均高潮高为3.8米,平均低潮高为1.1米,波浪潮汐变化较稳定,6—9月这四个月的潮汐现象会相对比较严重。
自2018年以来,石老人国家旅游度假区及其周边近海水质监测指标水温、溶解氧、无机氮、化学需氧量、石油类、铜、锌、砷等均符合《海水水质标准》第一类标准的要求,第一、二类水质海域面积占全区海域面积比例为100%,水质状况优良。

历史沿革
发现历程
明朝末年(距今约360年),当地官员黄宗昌在所著《崂山志》中便有关于石老人的记载:“石屋门,大如城门,宽深过之。度其中,可坐二十人。东北一窟,探之无际,又东百步许,如有石老人,高二丈余,孤立滩,头锐下而丰。上一孔居中,透明如半月然。”
1903年,德国侵占青岛后修筑湛流路,从此石老人作为连接青岛市区与崂山风景区的一处旅游景观,广为人知。1935年,即墨人蓝水在《崂山古今谈》中也有记载:“石老人,在石屋门东南海中,距岸约半里,孤石高峙,状似老人,头俯腰偻,心窍洞开,光透如新月。”即墨人周至元著《崂山志》也有记载:“石老人,在石老人村南海滩中,锐石卓立,四无所倚,高二丈许,下约上丰,望之如老人状。心透一窍明如半月,潮长时没入水中、若将欲行,尤为异观。”
据《石老人村志》记载,解放前,常有村民攀登至此打牌玩耍,石老人的中心洞可同时容纳4人围坐其中。
开发历史
1979年7月30日,邓小平在时任海军司令员叶飞、北海舰队司令员饶守坤等领导路过石老人时停车驻足,观赏山海景色,改革开放后,开始有外地游人慕名前来赶海、游玩。2023年8月份接数据显示,2023年旅游旺季石老人国家旅游度假区接待量已达290.2万人次,单日接待量最多达14万人次。
景区布局
石老人国家旅游度假区以山海风光、啤酒文化、渔村民俗、美食购物、海洋娱乐为主要特色,划分为综合服务区、海上公园及海上游乐区、度假别墅区、啤酒文化城、高尔夫球场、健身休闲区等功能小区。主要景点有浮山、石老人海水浴场、雨林谷生态园、石老人生态园、海洋娱乐城、海豚表演馆、青岛国际啤酒城、青岛市文化博览中心、海尔科技馆、国际高尔夫球场、颐中体育中心、青岛钻石博物馆等20余个。至2022年,该度假区有青岛极地海洋世界、青岛现代艺术中心、石老人海水浴场、远洋大酒店等多个旅游大项目。

重要景点
山海风光
石老人
“石老人”是指一块屹立于距离海岸百米处的一座17米高的海蚀柱,因形如老人端坐在碧波之中,故被人们称为“石老人”。“石老人”经过千百万年的风浪侵蚀和冲击,使崂山脚下的基岩海岸不断崩塌后退,并研磨成细沙沉积在平缓的大江口海湾,唯独石老人这块坚固的石柱残留下来,形成现在的形状。

浮山
浮山是青岛主城区面积最大的山头公园,横跨青岛市南、市北、崂山三个区域,其中一部分位于崂山区的石老人国家旅游度假区内,浮山九峰排列,峻峭秀拔,西部平坦,东部险要,有“浮烟九点”的美誉。登临山顶,可俯瞰青岛全景,颇有“登浮山而小青岛”的意境。度假区内还在浮山规划增添了童趣园、情人林、醉樱谷、花海等景观。

石老人观光园
石老人观光园位于青岛市崂山区崂山路1号,是国家AAAA级旅游景区,建于1999年,园区面积400余亩,于2003年4月正式开园纳客。观光园以石老人的传说为依托,面向大海,背依崂山,将大自然的美景、神话传说和现代的农业生产有机的融合在一起,各具特色而又相得益彰。石老人观光园自然植物160余种,主要有皂角、国槐、桂花、柿子青藤子、楸树、白果树、玉兰、牡丹、耐冬等品种,植被保护完整,有多种珍品。园内景点有20余个,主要景点包含茶园、花溪、情依林、卧龙涧、逍遥谷、文武阁、天运殿、悬栈、会仙庭、渡仙坊、天街等,凝聚青岛山海特色精华。

海洋娱乐
青岛海昌极地海洋公园
青岛海昌极地海洋公园位于石老人国家旅游度假区,AAAA国家级旅游景区,于2006年7月22日正式开业,拥有极地海洋馆,欢乐剧场,深海奇幻,5D动感体验馆,极地宝贝乐园等项目,打造富有科普性,娱乐性,互动性的情景式海洋主题公园。

青岛海昌极地海洋公园推出了极地大马戏之《鲸豚争锋》《快乐海象》,明星秀《童话美人鱼》《海象音乐会》《北极熊萌宠秀》等。同时,青岛海昌极地海洋公园作为《海洋天堂》《爱情银行》等十余部知名影视作品的取景拍摄地,也是中国海洋影视题材作品拍摄首选地。
石老人海水浴场
石老人海水浴场属于石老人国家旅游度假区的重要部分,浴场面积大,海滩东西长2000多米,南北宽200米,是青岛大型海水浴场之一。浴场于1985年营业至今,与第一海水浴场、第二海水浴场、第三海水浴场同属于青岛的热门海水浴场。石老人海水浴场主要由度假海滩、欢庆海滩、运动海滩和高级会员海滩功能区组成,沿着狭长海岸线铺设开来。海水浴场风浪大,暗沟多,浴场内水清沙细,滩平坡缓,退潮的时候还可以捡到小贝壳、小螃蟹等。

其他看点
文体场馆
颐中体育中心
青岛颐中体育中心位于的青岛石老人国家旅游度假区内,啤酒城西北方,浮山北侧,占地886亩。青岛颐中体育中心主要包括颐中体育场、超大型健康娱乐城、体育宾馆、缤纷世界室内水上乐园、国际网球俱乐部、综合体育馆、卡丁赛车俱乐部、庆典花园暨纪念广场、出水芙蓉室外水上乐园、儿童主题公园等场馆及配套设施。是石老人国家旅游度假区内集康体,休闲,娱乐,商务为一体的现代化体育娱乐活动荡中心。

青岛市文化博览中心
青岛市文化博览中心也称(青岛市博物馆)位于青岛市崂山区梅岭东路51号石老人国家旅游度假区内,是一座集历史、艺术为一体的综合性地志博物馆,隶属于青岛市文化和旅游局,也是首批国家一级博物馆、全国古籍重点保护单位、省市两级爱国主义教育基地。主要承担对具有一定历史、艺术、科学价值的可移动文物、标本等藏品的征集、收藏、保管、鉴定、修复(复制)、展陈与研究。开展对外文化交流,弘扬民族文化。截止2023年馆藏文物12万余件套(24万余件),包括书法、绘画、陶瓷器、青铜器、玉器、钱币、甲骨、古籍、竹木牙角器等三十多个门类,其中书法、绘画、陶瓷器、玉器、钱币、古籍为馆藏特色,北魏“双丈八佛”石造像、宋代钧窑乳钉鼓式洗和明正统十年刻万历二十六年官印本《道藏》为三大镇馆之宝。

海尔科技馆
海尔科技馆位于青岛市崂山区石老人国家旅游度假区内,由海尔集团出资建于1998—1999年。建筑面积1万平方米,有3个展区、12个展厅。其中包括世界家电发展厅、海尔家电发展厅、21世纪未来家庭和未来社会展厅、三维动感电影院、网络教室及高科技展馆等。在馆内可以通过AR感受百年老家电时空穿越,体验海尔智慧家庭的便捷交互,还有定制化餐食的米其林星厨工作室,以及科技范儿与艺术范儿共存的文创产品。

青岛国际高尔夫球场
青岛国际高尔夫俱乐部位于素有"黄海明珠"美誉的青岛市石老人国家旅游渡假区。于1991年经国家批准建设,是中国仅有的十家具有完备手续的球场之一。占地面积1500亩,为国际标准的18洞高尔夫球场,球道全长约7010码,标准为72杆。球道中起伏不定的山丘、陡坡及果岭旁四侧的明暗陷井,给予球手一定难度挑战。球会曾在2009年荣获“中国百佳球场大奖”的荣誉。

特色活动
崂山石老人音乐季
2019年为丰富崂山“夜经济”的文化内涵,利用石老人浴场天然美景和人流优势,在8月21日至9月30日举办“时尚人类,生态海洋”主题音乐季,通过活动的举办展示区域魅力,打造崂山时尚文化石老人音乐属性地标。邀请多支乐队、舞团和独立音乐人团队在石老人海滩,为青岛市民和游客带来一场文化盛宴。音乐季将举办十大特色主题活动,所有的活动将始终贯穿环保主题。

青岛国际啤酒节
从1991年,青岛市政府和青岛啤酒厂发起举办第一届青岛国际啤酒节开始,到2023年已经举办了33届。石老人国家旅游度假区的青岛国际啤酒城1994年开始作为青岛国际啤酒节的永久会场。2023年崂山区首次延长办节时间,聚焦推动消费扩容升级,将节日举办时间延长至31天,时间为7月21日-8月20日,充分利用节庆活动影响力,满足市民和游客出行体验,并与音乐节联合互动,在啤酒节期间将举办首届“山海星潮”音乐节、2023青岛国际吉他艺术节等活动。

直升机游览
2020年8月13日,石老人海水浴场东侧的空地上直升机游览项目入驻。项目由平均飞行时长2000小时以上飞行员,在石老人国家旅游度假区主要是开展前海旅游项目,在天气晴好没有航空管制的时候,一次起飞可以搭载三名游客升空游览,游览主要区域为石老人海水浴场到五四广场沿岸景点。

开发与保护
开发
1983年,青岛市政府在石老人村西划定2.5平方千米的区域,作为旅游开发区。1989年9月30日,青岛旅游开发公司划归开发区,石老人旅游区由管委负责开发和管理。1991年,开发区开通青岛轮渡至石老人的201路公交车。
1992年10月3日,经国务院首批批准成立的“青岛石老人国家旅游度假区”。同年10月5日,中共青岛市委、青岛市政府作出《关于建设青岛石老人国家旅游度假区的决定》,设立青岛石老人国家旅游度假区管理委员会,青岛经济技术开发区所属旅游开发公司成建制划归石老人国家旅游度假区管委会领导。20世纪90年代,开工建设石老人旅游开发区大型综合性游乐场——弄海园。
2006年,度假区内建成开放青岛海昌极地海洋公园,2011年青岛市自然资源和规划局开始规划修建石老人滨海公园。2022年7月19日,青岛市崂山区人民政府和壹森文旅产业有限公司正式签订战略框架协议,在度假区建设以航天博物馆为核心的青岛元宇宙公园,占地面积约1455亩,打造中国首个真正意义上的元宇宙公园。同年12月25日,青岛地铁5号线石老人浴场站电力迁改顺利完成,建成后将与2号线互通换乘,成为服务周边商场小区的核心枢纽车站。
保护
石老人国家旅游度假区已经明显的出现了环境质量下降,交通拥挤迹象,所以度假区从2000年开始及时调整性规划, 禁止建设污染性和生态破坏性项目,安排专项资金对污染和破坏现象进行治理,,修复被破坏的特色景观。
石老人海水浴场于2019年也制定了与海岸线保护相关的《石老人海水浴场海上漂浮物清理应急预案》《石老人海水浴场环境保护应急处置预案》等管理规定,一旦发现海上漂浮物或环境污染后,第一时间启动有关应急预案,做好漂浮物或其他污染物的清理工作。截止2019年整治修复岸线千米数已位居山东省前列;中国要求自然岸线保有率到2020年不低于35%,也已提前实现了不低于40%的目标,位居中国前列。
2022年度假区内沙滩上安排有保安巡查,空中还有无人机巡查,四周设置了82处智能探头,后期还将安装人脸识别系统,此外每天还有无人机巡逻。为了及时发现游泳人员的状态,还设置一处固定瞭望塔外,还有4处移动式瞭望台,度假区内每天都安排救生人员值班。
相关文化
影视
二十世纪五六十年代的《怒海轻骑》《地下交通员》《前哨》,八九十年代的《青春不再等待》《东方一道》《诈骗》《爱情与遗产》《青岛崂山地理风光片》等经典影视作品,均在石老人国家旅游度假区拍摄。其中文学故事作品《石老人的传说》被改编拍摄了同名电视剧。
文学
清末民初,即墨人周至元写石老人海滩美景,感慨世事变迁,绘石老人图并自题诗:孤立奇峰沧海中,遥望恰似一渔翁。桑田阔得几回变,为问仙人黄石。
1929年,青岛乡土诗人刘少文游石老人,作诗:风帆页页远浮空,海色天光上下同。最是雨鱼东望处,红楼翠岩夕阳中。
1985年秋,当代著名诗人、作家贺敬之来青岛,在游崂山途中冒雨顺道游览海边,遥望惟妙惟肖的石老人,挥笔写下诗篇《亘古渔翁》:观海喜见潮,听松乐闻涛。风雨寻常事,石老解逍遥。
2000年,文学家丁芒先生受青岛市文化部邀请来崂山风景区观光,观赏石老人景点后留下赞诗:抵腮蹙额向苍茫,望眼已穿万顷洋;纵是海枯情不变,目为百姓引归。
民间故事
相传,石老人原是居住在午山脚下的一个渔民,与聪明美丽的女儿相依为命。不料一天女儿被龙太子抢进龙宫,可怜的老公公日夜在海边呼唤,望眼欲穿,不顾海水没膝,直盼得两鬓全白,腰弓背驼,仍执着地守候在海边。后来趁老人坐在水中拄腮凝神之际,龙王施展魔法,使老人身体渐渐僵化成石。姑娘得知父亲的消息,痛不欲生,拼死冲出龙宫,向已变作石头的父亲奔去。她头上插戴的鲜花被海风吹落到岛上,扎根生长,从而使长门岩、大管岛长满野生耐冬花。当姑娘走近崂山时,龙王又施魔法,把姑娘化作一巨礁,孤零零地定在海上。从此父女俩只能隔海相望,永难相聚,后来人们把这块巨礁称为“女儿岛”。感人的传说故事,为石老人蒙上了一层神秘面纱,此番石老人海蚀柱上半部分坍塌虽已证明是岁月侵蚀的结果,但也有浪漫的网友们联想到,应该是老人等到了心爱的女儿。

重要事件
重大事件
2005年7月22日青岛极地海洋世界开业,首日纳客近万人。
2022年10月3日石老人国家旅游度假区内的石老人海蚀柱上半部分自然坍塌,后相关专家赶赴现场,并对石老人海蚀柱采取了临时性保护措施。
主要荣誉
石老人国家旅游度假区内石老人海水浴场被众多的摄影爱好者所追捧,被评为中国最美的日出地之一。
2006年,石老人传说等民间故事被列入山东省第一批非物质文化遗产名录。
青岛海昌极地海洋公园在2007年8月20日被评为国家AAAA级旅游景区,2020年荣获“山东人游山东”海洋旅游目的地。