简介
“移动平均”的概念最早可追溯自二战,当时的防空炮兵利用类似“移动平均”的方法计算炮弹的飞行轨迹。1960年,美国投资专家约瑟夫·格兰维尔(Joseph Granvile)以道·琼斯提出的“平均成本”为理论基础,正式提出移动平均线(MA)技术指标,用以帮助投资者确认现有趋势、判断即将出现的趋势。如今,移动平均线移动平均线已成为道氏理论中趋势分析的重要指标。
移动平均线可以分为三类,即简单移动平均线(simple moving average, SMA)、加权移动平均线(weighted moving average, WMA)和指数移动平均线(exponential moving average, EMA)。就特点而言,移动平均线具有趋势性、稳定性、滞后性、助涨助跌性以及支撑压力性等特点。
虽然移动平均线在实际应用中还存在着信号频繁、确定性不足以及滞后性等问题,但是移动平均线仍在技术分析中取得重大作用,如在股票市场降低股价随机波动和偶然因素对市场走势的影响。
分类
在移动均线指标中,按计算方法不同有简单移动平均线、加权移动平均线、指数移动平均线三类。
简单移动平均线(SMA)
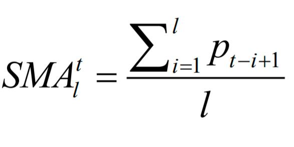
简单移动平均线(simple moving average, SMA),别名算术平均线或算术平均(arithmetic mean),简单移动平均线是最基本的移动平均线类型,其计算方法是将一定时期内的数据相加,然后除以时期数,以此得到平均值,具体计算方法如右图所示(其中∑为累加符号,表示从i到t时期内数据的累加,pi表示第i个时间点上的数据,l表示时期数,例如20日SMA,n就为20,t表示第t个时间周期,如20日SMA,则t为第20天)。

SMA指标通过加和再平均的方式有效地消除了时间序列的剧烈波动,使得波峰和波谷更加平滑,但这种计算方式给时间序列数据赋予相同的权重,忽视了不同时间点上的数据其重要性不同的特点,对时间序列变化不敏感, 具有一定滞后性。
在金融市场中,简单移动平均线是技术分析人士最常用的平均线类型,但该方法有其局限性,首先,平均线涉及的时间周期(例如,过去10天)才在考虑范围内;其次,简单移动平均线给每一天的价格相同的权重,不能及时地反映更近的价格变化。
加权移动平均线(WMA)
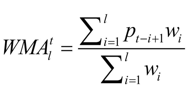
加权移动平均线是在计算过程中给予不同时期的收盘价不同的权重,一般来说,较近期的收盘价具有较高的权重,较远期的收盘价具有较低的权重,具体计算方法如右图所示(wi表示预定义的权重,l表示时期数,t表示第t个时间周期)。

根据不同的权重分配方式,WMA指标可以分为末日加权移动平均线、线性加权移动平均线、梯形加权移动平均线以及平方系数加权移动平均线。
在金融市场中,WMA赋予了更近的收盘价更大的权重,更好地反映近期的价格变化和未来价格走势,但是仍然没有解决仅仅包含均线时间长度内的价格问题。
指数移动平均线(EMA)
与WMA类似,指数移动平均线(exponential moving average, EMA)同样是一种对最近价格变动给予更多关注的移动平均线,它的计算方法是通过将前一日的EMA与当日收盘价的差值乘以一个平滑系数,然后加回到前一日的EMA,其计算方法如右图所示(其中t表示第t个时间周期,l表示时期数,pt表示第t个时间点上的数据,l表示时期数,EMAl表示第t日的指数移动平均线,EMAl表示第t-1日的指数移动平均线,α为平滑系数,表示权重减小的程度)。

在金融市场中,尽管EMA给过去的价格数据分配的重要性较小,但它却在计算中囊括了金融工具寿命期中的所有数据。此外,使用者可以调整权重,给最近一天的价格更大或更小的权重。
特点
在金融市场中,移动平均线具有趋势性、稳定性、滞后性、助涨助跌性以及支撑压力性等特点。
趋势性
根据移动平均线的原理,它是个派生数列,由于这个派生数列中的每个值都是多日值的平均,就更能明显地反映证券价格走势,取时区间越长,趋势愈是明显。因此,均线实质上是一种追踪趋势的工具,能够表示价格的趋势方向,并追随这个趋势,原始数据的价格图表则不具备这个保持追踪趋势的特性。
稳定性
从MA的计算方法就可知道,无论是向上变动还是向下变动,均线在数值上要发生比较大的改变,都必须是当天的价格有很大的变动。因为MA的变动是几天的变动,即使某一天价格的出现大变动,也会被几天分摊,这样变动的幅度就会变小而显现不出来。也就是说,MA的走势变化受某个别时日价格变化的影响甚少,而取时区间越长,其稳定性越强。
滞后性
趋势性和稳定性的是均线的两大优点,但这同时也带来了滞后性的缺点。由于均线的稳定性,当情况发生突变时,因为突变的一两日价格不能有力影响均线原有的走势,均线会仍然按原来的走势稳定地向前延伸一段,等到均线发出趋势反转信号时,价格调头的幅度已经很大了。取时区越长,均线的这种滞后性越强。
助涨助跌性
均线的助涨助跌性主要表现为:当价格突破了一个曲线的时候,无论是向上突破还是向下突破,价格有继续向突破方向延续的趋势。
支撑压力性
均线可以作为支撑线或压力线使用,以帮助投资者确定价格走势的关键水平,例如,“站在XX日线之上”是指价格在某个时间段内(如5日、10日或20日等)的平均价格之上,这里的“XX日均线”被视为支撑线,当价格位于均线之上时,市场被认为是多头(上涨)状态,投资者可能会寻求买入机会;相似地,“均线系统呈空头排列”是指均线作为压力线,阻止价格上涨,在这种情况下,市场被认为是空头(下跌)状态,投资者可能会寻求卖出机会(如下图所示)。

实际应用
使用法则
在金融市场中,使用MA的原则是考虑两个方面:第一是考虑价格与MA之间的相对关系,如格兰维尔八大法则便是通过比较价格和MA的关系来发出买卖信号;第二是不同参数的MA之间同时使用,例如不同MA之间的交叉,形成黄金交叉和死亡交叉等信号。
格兰维尔法则
MA的比较经典的使用法则是格兰维尔法则(Granville rule),别名格兰维尔八大法则,分为四种买入信号和四种卖出信号,具体如下所示。
买入信号
买点1(黄金交叉):平均线由下降逐渐转为水平或向上移动,而价格由下往上突破平均线;
买点2(回测不破):价格位于均线上方,突然下跌,但未跌至均线下方又反弹,均线继续维持上升趋势;
买点3(小幅跌破):价格由均线上方跌至均线下方,但均线仍处于上升趋势阶段,趋势未变;
买点4(乖离过大):价格跌至均线下方,且偏离均线很远。
卖出信号
卖点1(死亡交叉):平均线由上升逐渐转为水平且向下移动,而价格由上往下突破平均线;
卖点2(回测不破):价格由下往上穿越均线但又立刻拉回,且均线仍处于下跌趋势阶段;
卖点3(小幅突破):均线向下移动,价格位于均线下方,之后突然上涨,但未超越均线又被拉回;
卖点4(乖离过大):价格位于平均线上方,突然出现加速上涨远离均线,短期涨幅过大。

黄金交叉与死亡交叉
均线的交叉是指参数不同的两条均线发生了交叉的现象。
黄金交叉,简称金叉,是指小参数的短周期均线曲线从下向上穿过大参数的长周期均线曲线曲线(例如5日线向上突破10日线),该信号表示价格上涨。
死亡交叉,简称死叉,是指小参数的短周期均线曲线从上向下穿过大参数的长周期均线曲线(例如5日线向下突破10日线),该信号表示价格下跌。
在实际运用中,交叉死叉往往是滞后出现的,当出现金叉死叉时,价格可能已经完成上涨或下跌,买入或者卖出的信号已过。

优势与劣势
优势
移动平均线通过计算出连续若干天市场价格的算术平均,在一定程度上能有效消除因单日收盘数据随机性过大造成的预测准确性不稳定的因素,从而寻求股价波动的趋势。
此外,移动平均线降低了市场中的偶然因素,如心理影响、突发事件或谣传等对市场走势的影响。
劣势
1.信号频繁:当价格处于盘整阶段、趋势形成后的回调阶段、局部反弹和回落阶段,因为不同周期均线的取值接近,容易出现交叉等信号,产生信号频繁的现象。此时的信号有很多是无效,容易误导投资者,给投资者造成损失。
2.确定性不足:均线只是作为支撑线和压力线,而没有确定的功能,当价格“站在”某均线之上时,该均线成为支撑线,价格有一定的概率上涨,但并不非说价格一定会涨,并且还有可能向下突破支撑线。同时,应用均线的格兰维尔八大法则也只是具有一定的参考价值,其中买点2和卖点2蕴含着很大的风险。
3.滞后性:由于均线的稳定性,当情况发生突变时,因为突变的一两日价格不能有力影响均线原有的走势,均线会仍然按原来的走势稳定地向前延伸一段,等到均线发出趋势反转信号时,价格调头的幅度已经很大了。金叉死叉在实际运用中往往是滞后出现的,也就是说,当出现金叉死叉时,价格已上涨或下跌,并不能保证这种趋势还能持续多久,即买人或者卖出的信号已过。