发展历史
起源
关于制糖确凿记录最早出现于公元前500年的佛教典籍《律藏》,源自印度。公元627年,拜占庭皇帝希拉克略(Heraclius)曾在一份报告中称糖是一种来自印度的奢侈品。在4~8世纪,主要的制糖中心都在印度,此时的欧洲对糖一无所知。
传播与发展
蔗糖在世界范围内的传播最早是阿拉伯人引发的。阿拉伯人在公元636年到公元711年开始了对欧洲大陆的征服并建立了政权。之后往欧洲引入了甘蔗以及制糖工艺,当时沿北非到地中海的岛屿均开始种植甘蔗。之后这些地区一直为北非、欧洲大陆和中东供应蔗糖,一直持续到16世纪晚期才结束。
公元1096~1291年间,由于欧洲基督徒组织的“十字军东征”给他们提供了学习新事物的机会,于是蔗糖的制备技术被广泛学习。在征服耶路撒冷王国后,十字军顺势接管了当地的甘蔗种植业和制糖业。
15世纪末,地中海制糖业逐渐衰落,葡萄牙人以及之后的西班牙人开始尝试甘蔗的种植试验,并在大西洋的岛屿上发展起了制糖业,蔗糖的生产中心从伊斯兰控制的地中海转移到大西洋。同时在这个时期,欧洲对蔗糖的需求与日俱增,在得到资本的支持后,大西洋种植园的产量逐渐增加。此时的蔗糖依然是奢侈品,但已不再高不可攀。后来由于大西洋的岛屿面积有限,无法满足需求,于是欧洲人继续寻找新的土地种植甘蔗。
公元1493年,哥伦布发现了新大陆——美洲,并将甘蔗带到了这片土地。将甘蔗引入中南美洲后,西班牙最先开始在美洲种植甘蔗,到1526年,大量的蔗糖从巴西运往里斯本,因此16世纪也被称为“巴西糖的世纪”。虽然西班牙是美洲生产蔗糖的开拓者,但他们的主业是掠夺贵金属,蔗糖贸易方面很快就被后来者萄牙赶超。也正是从此时期开始,蔗糖真正地成为了“世界商品”——生产在美洲,销售在欧洲。
17世纪初的几十年间,西方蔗糖消费量激增,荷兰、不列颠和法国建立了加勒比种植园,使得蔗糖产量稳步提升。但这个阶段蔗糖产量的提升得益于生产规模的扩大,但劳动生产效率并没有提升。17世纪因为英国征服的领土最多,所以它们快速建立了种植园系统,其中最重要的就是蔗糖。到17世纪80年代,英国在欧洲大陆蔗糖的销售额超过了葡萄牙,但之后为了更好地满足本国不断增长的市场需求,英国又让出了欧洲大陆的市场。
在18世纪,蔗糖仍然被特权阶级所垄断,其主要用途还是作为药物、香料或装饰品。
从19世纪中期起,英国逐渐出现新的蔗糖生产与消费方案,新方案能够为英国消费者提供大量价格便宜的工业蔗糖。这一世纪见证了不列颠帝国内奴隶制的消亡,之前的蔗糖贸易保护主义被自由贸易所取代。世界蔗糖生产以令人炫目的速度开始增长,蔗糖的产量从1800年的245000吨增长到1890年的超过6000000吨。到现在,蔗糖已经是人人都能消费的生活用品了。
来源分布
蔗糖是光合作用的主要产物,广泛分布于植物体内,尤其在甜菜、甘蔗和水果中含量极高。
化学结构

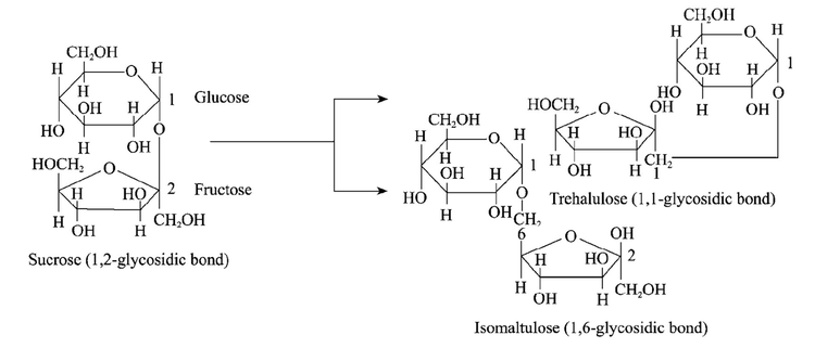
通过蔗糖分子的结构图可知,蔗糖分子含有8个羟基,其中3个伯羟基,5个仲羟基,故蔗糖具有一些醇的典型反应性质。另外,蔗糖分子是由两种单糖组成,分别是葡糖糖和果糖,其中葡萄糖组分属于α-构型,是吡喃环,而果糖组分属于β-构型,是吠喃型。蔗糖分子内的葡萄糖组分是通过糖苷键和果糖组分相连接,而糖苷键在酸或酶的作用下容易断键水解形成单糖。

理化性质
物理性质
蔗糖是白色无臭结晶或粉末状固体,比水更致密,加热时会散发焦糖气味。密度是1.58 g/cm³,极易溶于水、甲醇,微溶于乙醇,不溶于乙醚,其在水中的溶解度随温度的升高而增大,溶于水后不导电。甜度仅次于果糖,在甜味剂中的占比达98%。
化学性质
蔗糖作为有机物,可发生降解或合成反应,如水解、酯化、氧化、氢解、异构化等化学反应。
蔗糖的水解
因为蔗糖是由葡萄糖和果糖构成的双糖,没有游离碳基,所以蔗糖既是D-葡萄糖苷又是D-果糖苷。蔗糖可被酸催化水解或通过蔗糖酶来水解,生成等量葡萄糖和果糖。又因为这个水解反应伴随着从正到负旋光符号的变化,且得到的产物是由D-葡萄糖和D-果糖组成的左旋混合物,所以产物又称为转化糖。

蔗糖的酯化
蔗糖具有8个不同的羟基,均可与脂肪酸结合发生酯化或脂交换反应,生成蔗糖酯。


蔗糖的氧化
蔗糖可以在反应中作为还原剂被氧化,如新一代的环保消毒剂二氧化氯就可以通过蔗糖还原氯酸钠制得。反应方程式:

衍生物
蔗糖特殊的化学结构,使之能与许多物质发生化学反应,所以利用蔗糖作为基础原料通过氧化、酸碱降解、醚化、酯化、氯化等化学反应可以做成各种蔗糖衍生物。
山梨醇是一种六元醇,可以由葡萄糖制成,也可以由葡萄糖制得,广泛存在于自然界的各种水果中。另外,山梨醇还是合成维生素C或山梨糖的主要原料之一。山梨醇在人体内吸收缓慢,几乎不引起血糖上升,并且代谢时不需要胰岛素参与,可作为糖尿病患者的糖类代用品。
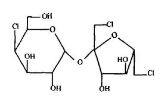
三氯蔗糖是蔗糖分子中4-、1’-和6’-位羟基被氯原子取代生成的蔗糖氯代衍生物。三氯蔗糖的甜度大约是蔗糖的600~800倍,并且没有任何苦味或金属味。由于其具有很好的水溶性且不会增大液体的表面张力,所以它常被应用于碳酸饮料的生产中。有研究表明,大部分三氯蔗糖不会被人体所吸收,并无生物积累性,所以在人体内基本是生物惰性的。另外,三氯蔗糖不会导致龋齿。

生产方式
成熟制糖工艺的基本步骤是:榨汁——澄清——蒸发——煮糖结晶——分蜜——干燥——包装——贮藏。
首先将甘蔗或甜菜根块放入机器反复碾磨榨成汁液,然后将料液过滤,留下滤液脱水蒸干,得到红糖。再对糖汁进行澄清操作,使非糖成分沉淀析出,提高浓度,并降低其粘度和色值。其中,澄清有几种方式,最古老的就是直接添加石灰作为澄清剂,或者在石灰的基础上再添加二氧化硫或二氧化碳,反应形成的亚硫酸钙或碳酸钙也可以起到沉淀杂质的作用,除此之外,还可以用离子交换法。澄清过后,将生成的沉淀从罐底出去即可,这样得到的就是白糖。再连续加热蒸发来浓缩糖汁,直至浓稠成糖浆。经过二次硫熏处理,进一步浓缩煮制至有蔗糖晶体析出。再将析出后的蔗糖晶体和母液分离,这即是分蜜。然后再用热空气或其他方法除去水分,最后再筛选出合格砂糖包装贮藏即可。
应用领域
生理作用
蔗糖本身是一种营养品,人体的热量有60%都是来自于碳水化合物中的糖和淀粉。其中,蔗糖在体内产生的热量就有16747 kJ/kg,远超人类每天消耗的热量。而且,100 g蔗糖的热值是同质量牛奶的近六倍,也是同质量肉类的两倍。
蔗糖在人体内也能被快速消化吸收。蔗糖进入胃部后,会被胃酸水解成葡萄糖和果糖,水解转化过程迅速,因此蔗糖在体内能更快的被消化吸收。有实验表明,淀粉在体内消化吸收的时间大致需要两到三个小时,而蔗糖仅需十到二十分钟即可完全消化。若腹有饥饿感,食用一颗糖就可很快消除饿感。
食品领域
因为蔗糖味甜,所以常常用来加工成甜味剂,又或者直接制成糖块、糖果、糖工艺品等。许多食品,例如饼干、面包、牛奶、咖啡、冰激凌、饮料等会添加蔗糖来提升味道和口感。蔗糖还可以代替脂肪用于膨松食品,用来做冷饮品还可降低冰点。

其他应用
蔗糖有很好的的治疗伤口的功效,蔗糖和聚乙烯吡啶烷酮—碘能够有效治愈创伤,包括严重烧伤。
蔗糖还可作为木材纤维强化剂用于处理木材。将木材浸入蔗糖溶液,木材结构中的空隙就会被糖液填充,能使木材的结构更加紧密,阻滞木材收缩,并减少腐烂,使木材即使在高温的曝晒下,也很少能够收缩。
蔗糖还能作为灰砂固化剂用于修筑房屋。从古时就有将石灰、砂和原糖调制后砌城墙、筑炮台、修谷场的做法,也因此,才能流传这么多粘性好、抗性强的古代建筑物至今。
安全事宜
健康危害
过量摄入蔗糖容易导致龋齿,另外有研究表明肥胖症、糖尿病、动脉硬化以及冠心病等病症可能与过量摄入蔗糖有关。
火灾隐患
细小分散的蔗糖颗粒或粉尘易燃,在空气中容易形成爆炸性混合物,可能会发生粉尘爆炸和火灾。
在火灾中也可能形成刺激性烟雾,若直接接触到人体,需立即用大量流水冲洗10~15分钟,并即刻就医;若吸入这种烟雾,需迅速远离现场到空气畅通处,呼吸清新空气,保持呼吸道通畅,如若呼吸困难,需即刻就医。
另外,若发生火灾,可以使用雾状水、干粉、抗溶性泡沫、二氧化碳灭火。