简介
烟酸是人体中必不可少的营养成分,是人体细胞呼吸作用和代谢碳水化合物必须的物质。烟酸能够维持肌肉和神经细胞的健全和预防癞皮病。其广泛存在于动植物中,动物肉和肝脏、酵母、谷类、豆类中烟酸含量较高,蔬菜中烟酸含量较少。
烟酸是一种重要的医药原料和化工中间体,在化学、制药和食品加工领域有着广泛的应用。烟酸对受到肠道菌群紊乱影响的动物寿命(尤其是农场动物)也至关重要,因此,每年有超过生产总值60%的烟酸被用作家禽、鱼或家畜饲料的添加剂。
历史背景
烟酸最早是由德国化学家Huber在实验室合成。1867年,他在烟草中提取了尼古丁,用硫酸和重铬酸钾氧化尼古丁,得到了一种化学式为C₆H₅NO₂的化合物,但直到1870年,他才认识到它是吡啶羧酸。“烟酸”一词最早是由维也纳化学家Weidel提出使用的,他用硝酸氧化尼古丁,生成了一种化合物,他认为该化合物的成分为C₁₀H₈N₂O₃。后来,德国化学家Laiblin证明,这种化合物是吡啶羧酸,它与Huber所合成的化合物是相同的。1879年,Weidel从β-吡啶中生产出相同的化合物,从而证明烟酸是β-吡啶羧酸。1912年日本化学家Suzuki,Shimamura和Odake第一次从米糠中提取出烟酸化合物,这是人们首次发现天然烟酸。
1936年,美国生物化学家Koehn和Elvehjem从肝脏中制备了一种不含核黄素的浓缩物,这种浓缩物在治疗小鸡皮炎和犬类黑舌病方面有很好的效果。进一步纯化得到了含有极少量固体物质的浓缩物,最后Elvehjem、Madden、Strong和Woolley证明了烟酸在治疗黑舌病中的作用,并从浓缩物中分离出烟酰胺。烟酸在治疗黑舌病方面的活性很快就被一些工作者所证实。随后,美国化学家Spies、Cooper和Blankenhorn以及Fonts于1937年11月首次发现烟酸在防治人类糙皮病中也具有重要的疗效,将之命名为维生素PP,从此烟酸的作用才被发现。
烟酸来源
烟酸广泛存在于动物器官中,动物和鱼的副产品,谷物蒸馏副产品,酵母,发酵溶液和油籽粉是很好的烟酸来源。烟酸在肝、肾、首畜肉、鱼以及坚果类中含量丰富;乳、蛋类中烟酸含量虽然不高,但色氨酸较多,可转化为烟酸。玉米、油籽粉、谷物及其副产品中的烟酸主要是以结合型形式存在,其营养不能被直接吸收利用。如果用碱处理谷物、玉米等食物,可将结合型的烟酸水解成为游离的烟酸,从而被机体利用。例如,在中国新疆地区用小苏打处理玉米做成玉米饼,可以改善烟酸吸收率,在预防癞皮病方面取得了良好的效果。
理化性质
烟酸是吡啶的衍生物,一般以白色针状结晶或结晶粉末存在,味酸。在水中略溶,显弱酸性,在25 °C下,每1 g烟酸可溶于60 mL或80 mL水,易溶于沸水、沸乙醇、硫酸盐溶液和碱性溶液,不溶于乙醚、酯类。烟酸是所有维生素中结构最简单,性质最稳定的一种维生素,在酸、碱、氧、重金属离子、光或加热等条件下均不易破坏。烟酸中含有羧基,因此可以与其他化学物质反应,合成其他医药品,如合成尼可刹米、烟酸肌醇脂、灭脂灵等等。

生理功能
烟酸主要以辅酶形式广泛存在人和动物体内各组织中,以肝内浓度最高,其次是心脏和肾脏,血液中相对较少。烟酸可构建辅酶I(NAD)和辅酶II(NADP),在生物氧化还原反应中起电子载体和递氢体作用。烟酸也是葡萄糖耐量因子的组成成分。葡萄糖耐量因子是由三价铬、烟酸、谷胱甘肽组成的一种复合体,是胰岛素的辅助因子,有增加葡萄糖的利用及促使葡萄糖转化为脂肪的作用,促进消化系统的健康,减轻胃肠障碍。烟酸还能促进细胞组织的代谢,维持正常发育和中枢神经系统的发育。还有研究报告,服用烟酸能降低血胆固醇、甘油三酯及β-脂蛋白浓度及扩张血管,促进血液循环,使血压下降。大剂量烟酸对复发性非致命的心肌梗塞有一定的保护作用。烟酸还可以预防癞皮病。
人体需求量
烟酸膳食参考摄入量 毫克烟酸当量/mg |
年龄(岁) | 平均需要量/每日 | 推荐摄入量/每日 |
男 | 女 | 男 | 女 |
0~ | - | (适宜摄入量) | - | - |
0.5~ | - | - | - | - |
1~ | 5 | 5 | 6 | 6 |
4~ | 7 | 6 | 8 | 8 |
7~ | 9 | 8 | 11 | 10 |
11~ | 11 | 10 | 14 | 12 |
14~ | 14 | 11 | 16 | 13 |
18~ | 12 | 10 | 15 | 12 |
50~ | 12 | 10 | 14 | 12 |
65~ | 11 | 9 | 14 | 11 |
80~ | 11 | 8 | 13 | 10 |
孕妇(1周~12周) | —— | 10 | —— | 12 |
孕妇(13周~27周) | —— | 10 | —— | 12 |
孕妇(≥28周) | —— | 10 | —— | 12 |
乳母 | —— | 12 | —— | 15 |
烟酸缺乏表现
烟酸缺乏症最早是由西班牙医生Gaspar Casal在1735年1月报告,他发现在以玉米为主食的贫穷农民的手足背上都有典型的红色光泽皮疹,并称之为“mal de la rosa”。这种疾病称为“4D征”,即皮炎(Dermatitis)、腹泻(Diarrhea)、痴呆(Dementia)和死亡(Death),后来被称为糙皮病。糙皮病主要是烟酸缺乏引起的,致病因素主要是由饮食中烟酸或色氨酸摄入量不足引起的,另一方面是酗酒、神经性厌食、药物等等继发性原因导致的。
皮肤损害
烟酸缺乏症患者可出现以下4种类型的皮损:光敏性皮损,症状为面部、手背、脚踝等暴露部位患上皮炎,皮炎开始的症状是出现红斑,并伴有灼痛和皮肤水肿,可能加重形成水疱;会阴部皮损,症状为阴囊和会阴部红斑;骨突出部位皮肤增厚及色素沉着表现为皮肤增厚、出现裂纹和色素沉着;面部脂溢性皮炎主要发生在头皮、鼻翼、前额、颈部等部位。
消化系统
消化系统症状有口角炎、舌炎、腹泻等。口角炎以口角湿白、糜烂为主。舌炎最初表现为舌尖部分充血发红,蕈状乳头增大;其后全舌、口腔黏膜、咽头及食道均可呈现红肿,上皮脱落,并有浅表溃疡,引起舌痛及进食下咽困难,唾液分泌增多;随病程进展,舌面灰白、乳头萎缩。腹泻也是该病的典型症状,表现为早期多患便秘,其后由于消化腺体的萎缩及肠炎的发生伴有次数不等的腹泻,大便呈水样或糊状,量多且有恶臭,也可能带血,如病变接近肛门可出现里急后重。
神经系统
神经系统症状在初期很少出现,轻症患者会出现全身乏力、烦躁、抑郁、健忘及失眠等。重症患者则会有谵妄、狂躁、幻视、幻听、神智不清、木僵,甚至痴呆。慢性病例常有周围多发性神经炎,如四肢异常等表现。需要注意的是,有报道过没有出现皮疹和腹泻,而仅仅出现痴呆表现的烟酸缺乏症。当患者出现记忆力丧失、精神失常时表明已经进入脑病阶段。在极少数情况下患者也可因脑桥中央髓鞘溶解而致死。
制备方法
烟酸最早是在实验室氧化尼古丁制备而成,早期工业生产烟酸的方法是选择高锰酸钾、二氧化锰、硫酸或高氯酸等作为氧化剂,通过氧化3-(吡咯烷-2-基)吡啶、喹啉或3-甲基吡啶合成烟酸。也有人提出通过氧化三氧化铬来生产烟酸,但是由于原料成本过高,产率低(9 t三氧化铬可生产1 t烟酸),且氧化剂有致癌性,不能用作饲料添加剂和食品制药中,导致其未能成功商业化生产。

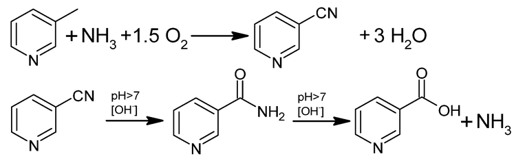
氨氧化
工业上烟酸也可通过气相氨氧化3-甲基吡啶,然后水解成烟酰胺或烟酸来生产制备。早期的合成方案是使用流化床反应器和异质催化剂,3-甲基吡啶、空气和氨气在280 ℃-500 ℃的温度范围内,0.5 MPa的压力下进行反应。该工艺曾一度在欧洲、亚洲和印度流行了30年。

液相氧化
液相氧化法包括高锰酸钾氧化法、硝酸氧化法、硝酸-硫酸氧化法等。高锰酸钾氧化法的做法是将3-甲基吡啶和水混合加热,而后分批加入高锰酸钾搅拌进行氧化反应,最后经蒸馏、冷却结晶、重结晶等工序处理的到成品烟酸。该方法的关键在于挑选一种优质催化剂。硝酸氧化法同样以3-甲基吡啶为原料,将其与硝酸的水溶液混合后在一定温度和压力下进行反应,而后经浓缩、结晶等工序处理可得烟酸。硝酸-硫酸氧化法采用熔融状态的3-甲基吡啶硫酸盐为原料,以硝酸-硫酸混合酸作为氧化剂,该方法能高效制取烟酸,并且反应过程中生成的二氧化氮,可用稀硝酸吸收后重新用于反应。
气相氧化
气相氧化法将空气或富氧空气作为氧化剂,能够将3-甲基吡啶直接氧化成烟酸。相较传统工艺,气相氧化法具有过程简单、成本低、污染少、产物纯度高等优点。该工艺过程是无溶剂的,并且是在异质催化剂的存在下进行的,属于绿色化学的生产方式。虽然该工艺具有很大的优势,但是在实际应用中还存在许多困难,包括在工艺温度下容易脱羧和凝华,反应过程较慢,且与液相工艺相比,由于氧化过程很完全,导致生产的副产物很多,因而还没有大批量推广生产。目前气相氧化法合成烟酸研究的核心问题是开发具有优良催化活性、稳定性和选择性的催化剂。
生物转化
生物转化法制备烟酸主要是靠特定的酶实现的。比如红球菌,具有较高的苯甲腈酶活性,并可确保3-氰基吡啶可100%转化为烟酸。还有研究通过在柱状生物反应器中使用红色诺卡氏菌和苍白杆菌生产耐热硝化酶,以催化3-氰基吡啶水解为烟酸,而不会形成烟酰胺。另外还有一种生物转化法,真菌硝化酶可以将3-氰基吡啶转化为烟酸。可用于搅拌膜生物反应器的植物酰胺酶也是很有前景的烟酸生产生物转化工艺,这是一种可用于连续生物转化的生产工艺。
电化学氧化
电化学氧化也是一种用于合成烟酸的方法。可以通过带有锡阳极和铂阴极的电池氧化3-甲基吡啶得到高饱和浓度烟酸。此外,通过使用铅电池氧化3-甲基吡啶,也在实验室实现了良好效果和较高的产率。然而,此工艺生产1 t烟酸需要消耗11 MWh的电力,这种能耗较大,成本太高。
应用领域
食品添加剂
烟酸长期摄入不足会导致糙皮病或赖皮病,并且目前尚未有因食物中烟酸过量引起中毒的报道,故烟酸可以用作食品添加剂,如在婴儿配方奶粉中加入烟酸。
饲料添加剂
研究表明烟酸具有增强畜禽抗病能力、维持皮毛健康、改善肉质等作用,是动物生长发育不可缺少的一种物质,谷物类饲料中的烟酸主要以结合态的形式存在,很难被动物吸收,所以需要额外往饲料中添加合成烟酸。向饲料中加入适量的烟酸,喂养仔猪(鸡)能使其迅速增加重量。给产蛋鸡喂养烟酸类饲料,能提高其产蛋率,并且使鸡蛋中也含有一定的烟酸,能够提高鸡蛋的营养价值。
医药和医药中间体
烟酸能够作为调脂药物,产生降脂、抗炎、保护内皮的作用,和他汀类药物配合使用,能够有效改善动脉粥样硬化;烟酸对神经系统具有保护作用,能够改善神经功能。另外烟酸还可以合成多种药物中间体,进而得到其他药物。例如烟酸经双氧水氧化、氯化和水解合成的2-氯烟酸就是一种应用极其广泛且很重要的药物中间体。
染料应用
真丝属于蛋白质纤维,因为其结构中含有氨基酸而具有两性结构。在中性、采用活性染料对真丝染色的条件下,使用烟酸作为催化剂,能够有效提高真丝上染料的固色率并且对真丝的光泽和机械性能起保护作用。
其它工业应用
烟酸及其衍生物是重要的化工助剂、缓释抑制剂。如烟酸可以在电镀时充当光亮添加剂,合成盐酸的衍生物可以增强钢的缓蚀性能。
安全事宜
与酒精或辛辣食物同时服用会增加脸部瘙痒红肿的风险。摄入过高剂量的烟酸,会导致皮肤瘙痒、皮疹、恶心、呕吐、腹泻、肝功能异常、低血压、心跳过快、高血糖等症状,摄入烟酸超标的人群,出现心律失常和心室颤动的概率更高。