发现历史
20世纪30年代由一名英国医生露西·维尔斯(Lucy Wills)在印度孟买行医时,从当地流传的治疗贫血偏方中分离提取,且证明真正有效的成分为其中含有的一种维生素B。1941年,赫歇尔 K·米切尔(Herschel K. Mitchell)等从菠菜叶中提取到了相同成分,确定了其分子式,并正式命名为叶酸。
1946年,美国科学家安吉尔(R.B.angier)科学家在实验室研究并合成了叶酸的人工合成方法。
物质分类
叶酸分为两种天然叶酸与合成叶酸,而在中国,都统称为叶酸。但其实二者从分子结构和产品特质上有着本质不同,就叶酸本身而言,指的应是天然叶酸,而合成叶酸则是天然叶酸的替代品。
天然叶酸存在于天然食物中,为四氢叶酸的衍生物,体内生物利用率约50%。
合成叶酸,即氧化型单谷氨酸叶酸,存在于强化食物或补充剂中,合成叶酸没有活性,需依赖体内的酶系统转化为具有活性的五甲基四氢叶酸,才能被人体直接吸收利用,体内生物利用率为85%。
分布情况
天然叶酸分布十分广泛,动植物性食物中都含有叶酸。主要有:绿叶蔬菜、水果、块根类植物等;谷物干果、豆类籽实,例如强化叶酸的面包等;反刍家畜的前胃微生物和马骡等草食家畜的盲肠微生物都能合成足够的叶酸,动物的肉、肝肾脏、蛋类等含有一定量的叶酸。
食物叶酸含量表食物名称(每100克) | 鸡肝 | 猪肝 | 鸡蛋 | 黄豆 | 紫菜 | 小白菜 | 玉米 | 香蕉 |
叶酸含量(微克) | 1109.6~1334.3 | 300.0~370.8 | 105.9~121.9 | 120.9~138.9 | 83.9~132.5 | 43.4~50.9 | 44.2~45.8 | 18.3~24.2 |
物质结构
叶酸是由蝶啶、对氨基苯甲酸和谷氨酸组成。蝶啶和对氨基苯甲酸为环状结构,结合形成蝶酸,蝶酸与谷氨酸结构形成蝶酰谷氨酸,这也是其化学名称蝶酰谷氨酸的由来。其化学结构中可含有一个或多个谷氨酸基。叶酸分为天然和人工合成两种,天然叶酸结构中含有多个谷氨酸基,一般含有2-7个谷氨酸分子,以还原形式存在,人工合成的叶酸只含有一个谷氨酸基,以单谷氨酸形式存在。细胞内的叶酸一般具有一条含7个谷氮酸基的链,有的可多达11个,这些化合物称为蝶酰多谷氨酸。
理化性质
物理性质
叶酸是亮黄色结晶状粉末,无臭无味,其没有固定熔点,加热至250 ℃则分解。能溶于热水和碳酸钾、氢氧化钾、氢氧化钠等碱性溶液,微溶于冷水,不溶于乙醇、氯仿、乙醚和苯等有机溶剂。
化学性质
其钠盐易溶于水,在水溶液中易被光破坏。叶酸是一种两性混合物,但其酸性强于碱性,则自身呈酸性,在酸性条件下稳定性不强,当pH值小于4.5小时,结构则完全被破坏,但在中性和碱性条件下热稳定性较强,温度达100 ℃ 也能稳定存在。叶酸光稳定性也不强,易被紫外线破坏,需在阴凉避光处保存。
生物性质
叶酸被吸收后,在肝脏和骨髓等组织中发生加氢反应被还原成5,6,7,8四氢叶酸。

药理作用
药理机制
叶酸是细胞生长与分裂的必需物质,在叶酸还原酶和二氢叶酸还原酶的作用下还原为四氢叶酸,其是体内转移“一碳基团”的载体,与多种一碳单位结合成四氢叶酸类辅酶,参与嘌呤与嘧啶核苷酸的合成,及某些氨基酸的转化。而嘌呤、嘧啶核苷酸与氨基酸是是合成DNA的原料,因此缺乏叶酸会影响DNA的合成,从而影响红细胞的增殖与成熟。
适应征
适用于各种巨幼红细胞性贫血,尤其是营养不良或婴儿、妊娠期因叶酸需求量增大所致的贫血。
药物代谢
需要进过代谢的一般指本身不具备活性的合成叶酸。合成叶酸在肠道吸收和组织转运的过程中,被二氢叶酸还原酶还原为二氢叶酸,而后继续还原为四氢叶酸。四氢叶酸加甲基后变为10-甲酰四氢叶酸,之后在10-甲酰四氢叶酸脱氢酶和亚甲基四氢叶酸还原酶作用下成为6S-5-甲基四氢叶酸,从而被人体直接吸收利用,参与DNA修复和其他功能,一般在肝脏内被吸收。
天然叶酸需先被水解酶将多聚谷氨酸水解为单谷氨酸后,才能被人体吸收和利用。

药物互相作用
合用药物 | 相互作用 | 注意事项 |
维生素C | 抑制叶酸吸收 | 避免同时服用 |
柳氮磺吡啶、胰酶 | 减少、干扰叶酸吸收 | 注意合用药剂量调整 |
苯妥英钠、苯巴比妥、扑米酮 | 减弱合用药物的抗癫痫作用,减低癫痫发作临界值,增加敏感者发病次数 | 避免合用 |
甲氨蝶呤、乙胺嘧啶 | 叶酸疗效降低 | 谨慎合用 |
锌 | 影响锌吸收 | 补充锌元素 |
缺乏症
叶酸缺乏时主要表现为一下症状:
1.巨幼红细胞性贫血
缺乏叶酸会阻碍DNA合成,导致骨髓中幼红细胞分裂停留在巨幼红细胞阶段,细胞核内染色质疏松,这种不成熟的红细胞增多,而引起血红蛋白的合成减少,从而造成贫血。
2.胎儿神经管畸形
孕妇怀孕时需要摄入更多的叶酸,而怀孕早期缺乏叶酸则容易引起胎儿神经管畸形,叶酸能提供合成神经鞘和神经递质的原料,若叶酸缺乏则会影响神经系统发育或引起神经管不能闭合而导致神经管畸形。
3.高同型半胱氨酸血症
叶酸缺乏还会导致胱氨酸转化出现障碍,使同型半胱氨酸堆积在血液中,高浓度同型半胱氨酸会损害血管内皮细胞,还会激活血小板的黏附和聚集,是引发心血管疾病的因素之一。
叶酸缺乏发病缓慢,还会表现为食欲不振、便秘、体重减轻,手足等皮肤暴露部位出现灰褐色色素沉着,黏膜损害出现舌炎、唇炎或口腔溃疡等症状。
应用领域
临床应用
妊娠期预防用药
叶酸对胎儿脊髓与大脑发育形成十分重要,缺乏叶酸会影响胎儿神经系统形成与发育,导致神经管缺陷,妊娠期服用还可降低新生儿先天性心脏病、唇腭裂等先天缺陷疾病。
抗贫血
叶酸在红细胞和血红蛋白的合成中发挥重要作用,缺乏叶酸会导致某些氨基酸的互变受阻,从而造成红细胞形成时DNA的合成障碍。阻碍红细胞的生长发育和成熟而引起巨幼红细胞性贫血。
预防癌症
缺乏叶酸可能会导致蛋氨酸的利用率降低,且干扰正常的DNA甲基化,DNA合成和修复,从而导致DNA合成出现异常,原癌基因活化,形成癌基因,引发肿瘤。因此摄取足量的叶酸,能使癌细胞凋亡,影响癌细胞的表达,在一定程度上能预防和减少癌症。
治疗婴幼儿秋季腹泻
有报道研究服用叶酸可有效治疗婴幼儿腹泻,其治疗止泻、缩短病程的效果明显强于抗生素。叶酸属于B族维生素,能促进细胞中DNA的合成,辅助在小肠刷状缘被损伤的上皮细胞再生,加快小肠黏膜的修复进程,且还具有调节细胞免疫和体液免疫的作用,使肠道免疫功能及时恢复。在临床上常搭配双嘧达莫合一起使用,既能消除致病因子、抑制病毒在肠道内进行自我复制,还能提高肠胃的免疫功能。
防心脑血管疾病
血中的高半胱氨酸过高,易造成动脉粥样硬化,因其造成血管内皮细胞损伤,血凝块的形成,从而引发血管堵塞,导致急性心脑血管疾病。增加摄入富含叶酸的食物能将半胱氨酸转变为无害的蛋氨酸降低冠心病发生的风险。叶酸还能降低心脏病和中风的发病率,预防阿尔兹海默症。
畜牧应用
猪
叶酸的添加量与仔猪血清、肾脏、肝脏中叶酸浓度成正相关。其能提高仔猪的生产性能,免疫机能和抗病毒能力,提高乳汁中乳蛋白,乳脂,总固型物,和非脂固型物的含量。
家禽
缺乏叶酸可能会引起雏鸡羽毛粗乱,色泽不佳,褪色的情况,严重缺乏时,甚至导致死亡率升高。在饲料中添加叶酸能提高雏鸡的体重,增加肉仔鸡血清胆固醇和蛋白的含量。
反刍动物
叶酸能促进泌乳早期牛奶中粗蛋白和热蛋白的形成,并能减少乳糖的合成。在黑山羊饲料中添加叶酸能提高黑山羊的体重,提高血清中球蛋白的含量降低尿素氮的含量。
制备方法
人体自身无法合成叶酸,需要从食物中获取。叶酸分为天然与合成两种,因此生产也分为提取与合成两种方式。
天然提取
化学提取法
化学提取方法主要有离子交换法、吸附层析法、热沸偏磷酸提取法,而最常用于提取叶酸的为热沸偏磷酸法。利用的是叶酸易溶于热水和稀释过的碱溶液,并且能在中性和碱性环境中稳定存在。将样品与石英砂研磨,加入40%偏磷酸水浴反应,加入吸附剂过滤,蒸发浓缩制得。
酶解法
酶解法是最常用的一种叶酸提取方法,最常用于处理样品的酶主要有蛋白酶、α-淀粉酶和叶酸轭合酶。叶酸在天然食品以与蛋白质和淀粉结合形式存在,利用蛋白酶和淀粉酶对样品进行预处理,使叶酸能从蛋白质或淀粉中分离,减少对叶酸提取的干扰。

人工合成
2,3-二溴丙醛法
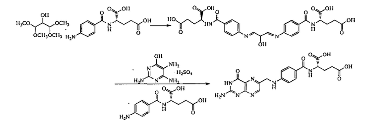
此方法是由2,4,5-三氨基-6-羟基嘧啶硫酸盐与2,3-二溴丙醛、对氨基苯甲酰-L-谷氨酸在醋酸/醋酸钠缓冲反应制得叶酸。制得的叶酸为粗品还需经过酸化等精制处理得到含两分子结晶水的叶酸,因原料昂贵且不易制备,还含有害元素,此法已被淘汰。

1,1,3,3-四甲氧基-2-丙醇法
此方法是先由对氨基苯甲酰-L-谷氨酸与1,1,3,3-四甲氧基-2-丙醇反应生成亚胺,后再与2,4,5-三氨基-6-羟基嘧啶硫酸盐反应制得叶酸。

甘油法
本方法以1,2-二氯乙烷、1,1,2-三氯乙烷、四氯化碳、氯苯、2-甲基四氢呋喃或甲氧基环戊烷中的一种或是混合溶液为溶剂,2,4-二氨基-5-亚硝基-6-羟基嘧啶与甘油在催化剂的作用下发生成环反应,生成2-氨基-4-羟基-6-氯甲基蝶啶。而后在PH为5-6条件下,此生成物与对氨基苯甲酰-L-谷氨酸发生缩合反应制得叶酸。

1,2,3-三卤丙烯法
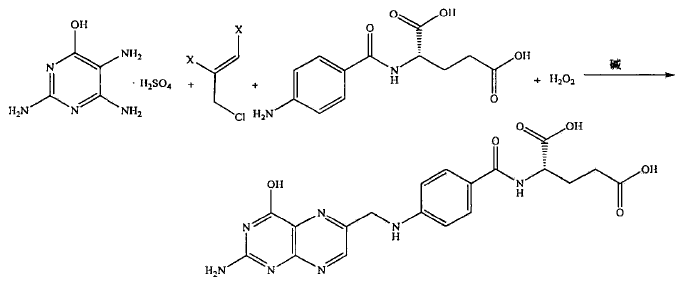
此法在相转移催化剂的作用下,以C1~C4醇、四氢呋喃、2-甲基四氢呋喃、N,N-二甲基甲酰胺、N,N-二甲基乙酰胺中一种或是混合溶液为溶剂,以2,4,5-三氨基-6-羟基嘧啶、1,2,3-三卤丙烯、对氨基苯甲酰-L-谷氨酸为原料,碱液调节PH至5~6,加入双氧水、过氧乙酸等氧化剂,反应后打浆过滤,得到叶酸纯品。

微生物合成法
微生物合成法主要利用的是乳酸菌、植物和真菌代谢合成叶酸。包括蝶啶代谢和对氨基苯甲酸代谢两条路径,且需同时作用才能合成叶酸。在蝶啶代谢中,是由GTP和分支酸合成,经过GTP环化水解酶、新喋呤醛缩酶等酶的催化作用下生成的中间产物6-羟甲基-7,8-二氢喋啶焦磷酸。而对氨基苯甲酸代谢路径则是分支酸在酶的催化下与蝶啶代谢路径生成的中间产物结合形成二氢喋酸并最终合成叶酸。
安全事宜
物质毒性
未发现叶酸存在毒性剂量,但也不宜过量服用,建议每天正常服用量不超过1 mg,若过量服用,易影响因缺乏维生素B引起的精神症状诊断。
健康危害
叶酸存在一定的致敏性,但极少发生。加热分解时会释放出NOx的有毒烟雾。
叶酸存在干扰抗惊厥药物的作用,诱发患者惊厥发作。大量服用叶酸可能出现下列不良反应:
1.变态反应
对于肾功能正常的患者,个别偶有出现变态反应,引发头晕、肿胀、瘙痒等症状。
2.加重神经损伤
口服叶酸能很快改善巨幼红细胞性贫血,但无法阻止缺乏维生素B12引起的神经损伤,若大量服用叶酸,可能会掩盖缺乏维生素B12的早期症状,还有可能会进一步降低血清中维生素B12的含量,造成神经不可逆损伤。
3.影响锌吸收
若孕妇大量服用叶酸可能会影响锌的吸收,从而导致锌缺乏,使胎儿发育迟缓,出生的婴儿体重过轻。
4.胃肠道症状
长期服用可能会出现食欲不振、恶心、腹胀等胃肠道不适症状。
5.尿液变化
大量服用叶酸可引起尿液变黄。
消防措施
牙酸存在一定的可燃性,若着火可用干粉、二氧化碳或哈龙灭火器。
储存与泄漏处理
叶酸最宜存放在15~30℃之间,防止冻结,避光保存。如有叶酸外泄,应使用5%乙酸浸湿溢出固体,并用蘸有5%乙酸的吸水纸拾取。