百草枯(Paraquat)又称对草快,是一种联吡啶杂环化合物,主要有二氯化物

 \rm{}(C_{12}H_{14}N_2Cl_2)
和双硫酸甲酯盐
 \rm{}C_{14}H_{20}N_2S_2O_8)
两种,是一种速效、广谱、触杀型、灭生性除草剂,能够针对性破坏绿色植物组织,并且在接触土壤后失去活性,无残留,对喷药后出土的植物幼苗无影响。百草枯对水生生物毒性非常大,并具有长期持续影响。对人体具也有较强的毒性(中等毒),通过皮肤、黏膜、呼吸道、消化道等途径进入人体,可造成急性中毒,无特效解毒药,人的致死剂量约为14毫升40%的百草枯溶液,生产过程中通过在其水剂产品添加催吐剂、蓝绿着色剂及臭味剂的方式降低误食风险。为保障人民生命安全,2020年10月26日起,中国禁止百草枯可溶胶剂在境内销售、使用。

本页面主要目录有关于百草枯的:发展历史、市场情况、理化性质、毒性、除草特性、检测方法、制备方法、应用领域、法规限制、安全事宜等介绍

中文名

百草枯(产品有二氯化物盐或二甲基硫酸盐)

英文名

Paraquat

别名

1,1-二甲基-4,4'-联吡啶阳离子;百朵;泊拉夸特;离子对草快;1,1'-二甲基-4,4'-联吡啶阳离子(二氯化物盐或二甲基硫酸盐);N,N′-二甲基-4,4′-偶联吡啶

拼音

băicăokū

CAS号

4685-14-7

化学式

阳离子:(C₁₂H₁₄N₈)²﹢

结构式

百草枯结构式

外观

离子百草枯为无色或淡黄色固体;百草枯二氯化物为白色结晶;百草枯双硫酸甲酯为黄色固体;工业品二氯化物为黑褐色液体。

气味

离子百草枯无味,百草枯氯化物有微弱的氨样气味

密度

1.24g/cm(20℃)

熔点

300°C近似分解(二氯化物)

溶解性

在水中,溶解度为6.2×10mg/L(20℃);

log P

logKow=-4.22(pH7.4)

蒸气压

0.0000001mmHg

警示术语

R:24/25-26-36/37/38-48/25-50/53

安全术语

S:(1/2)-22-28-36/37/39-45-60-61

NFPA 704

百草枯NFPA 704标识

爆炸极限

无爆炸性

发展历史

1882年首次合成百草枯,于1955年发现它的除草特性;

1962年被英国先正达(ICI)公司注册并生产,自此百草枯被迅速推广,有近百个国家陆续使用,成为世界第二大除草剂,世界农业也向前推进了一大步;

1983年,瑞典禁止一切形式对于百草枯的使用。

百草枯于20世纪80年代引入中国,因其除草效果强、人力成本低、环境污染小等优点,迅速成为除草剂的龙头产品。

山东农药科学院的李德军带领团队从1996年开始技术攻关,历经8年成功破译百草枯生产工艺,迅速拉动中国农药产业链发展,中国也因此成为第二个掌握此技术的国家。

2007年,欧盟一审法院(CFI)裁定,废除欧盟于2003年通过的百草枯的登记,百草枯自此退出欧盟市场。

2014年7月1日起,中华人民共和国农业部发布公告,撤销百草枯水剂登记和生产许可、停止生产,保留母药生产企业水剂出口境外使用登记、允许专供出口生产,2016年7月1日停止水剂在中国境内销售和使用。

2016年9月7日,中国不再受理、批准百草枯的田间试验、登记申请,不再受理、批准百草枯境内使用的续展登记申请。

2020年9月26日起,中国禁止百草枯可溶胶剂在境内销售、使用。

百草枯

市场情况

百草枯在1962年引入市场,在其兴盛时期,百草枯的使用可以覆盖全球到130多个国家的100多种作物。随着百草枯暴露出的环境和健康问题的逐渐增大,许多国家相继禁止或撤销对百草枯的登记或使用。百草枯在全球市场中整体表现出由盛转衰的变化趋势。

百草枯对热带和亚热带农户及时倒茬非常有价值,尤其复种指数高农区依赖较大。全球约60%的百草枯在亚太地区使用,是亚太市场最重要的单品除草剂。澳大利亚、印度尼西亚和泰国作为全球市场中的进口大国,相关企业需要关注这些国家禁限用的情况。

从全球百草枯作物市场和应用状况看,大田市场和应用主要集中在大豆、玉米上,经作和非农上市场较大。

从全球农药市场上看,随着百草枯、草甘膦等农药禁限使用进程的推进,以及酰胺类除草剂等相关负面新闻持续曝光,这类价格低廉的传统大宗产品市场面临衰落。而随之取代的旱田除草剂产品-甲基磺草酮,逐步占领拉美市场,并通过多样化剂型组合形成对整个拉美作物线的覆盖圈,成为全球除草剂的主导产品。

理化性质

物理性质

百草枯学名1,1-二甲基-4,4'-联吡啶阳离子,又称对草快,产品有二氯化物、双硫酸甲酯盐两种。

离子百草枯

百草枯

毒性

健康危害

百草枯可通过皮肤、黏膜、呼吸道、消化道等途径进入人体。短时间内摄入量达到一定水平时,就会引发机体受损或功能障碍,即引发急性中毒。人的致死剂量约为14毫升40%的百草枯溶液,血液中的致死浓度为3.5mg%(35.0ug/mL)百草枯的中毒病死率高达95%且无明显特效解毒药及方法,目前主要治疗措施有洗胃、导泻、利尿、药物治疗、血液净化,其目的均是以减少毒物吸收、促进毒物排出、控制并发症等为主,尽可能有效地恢复器官功能,防止多器官功能衰竭。

百草枯

皮肤粘膜反应

接触百草枯的浓缩溶液能引起组织损伤、手皮肤干裂和指甲脱落。长期接触皮肤表现为水疱和溃疡。经皮大量吸收后会引起全身中毒,长期吸入喷雾微滴会引起鼻出血。眼睛被污染后可引起严重结膜炎,长期不愈而形成永久性角膜混浊。

吸入中毒

吸入中毒者可出现呼吸困难或气促、咯血、紫绀等,经呼吸中毒的实际案例较少见,但喷洒方式不当也可能吸入百草枯。

口服急性中毒

百草枯经口服进入人体后,会被很快吸收,主要蓄积于肺部和肌肉中,排泄缓慢,因此毒性作用持续存在,且病情发展迅速,口服百草枯后主要有以下症状:

1.呼吸系统损害:百草枯作用的主要器官(靶器官)是肺。主要症状为咳嗽、咳痰、呼吸困难、肺水肿,严重者可发生ARDS。肺损害预后严重,是百草枯中毒的主要并发症和死亡原因。大剂量口服中毒,48小时内迅速出现肺水肿和肺出血:小剂量口服3~31天发不可逆的肺间质纤维化导致呼吸衰竭死亡。

2.口、咽、食管、胃、小肠等的黏膜层出现肿胀、水肿、溃疡,并有恶心、呕吐、腹痛、腹泻、便血等表现。

3.中枢神经系统:表现为头痛、头晕、抽搐、幻觉等。

4.全身症状中毒患者还可出现发热、贫血、头晕、头痛、抽搐等症状,少数可出现胸痛、心律失常,极数可出现猝死。

5.严重者出现心肌损害、肝功能受损及急性肾功能衰竭,肾损害常在中毒后第1~第4天内出现,主要表现为尿频、尿急、腰痛、肾区叫痛、少尿、无尿至发生急性肾功能衰竭。少数病人可在无预兆的情况下突然发生心跳、呼吸停止而死亡。

百草枯

中毒程度分级

轻度中毒。百草枯摄入量<20毫克/千克体重,除胃肠道刺激症状外,无其他明显器官损害,肺功能可有暂时性减退。

中、重度中毒。百草枯摄入量在20~40毫克/千克体重,除胃肠道症状体外,伴有多系统损害的表现,数天至数周后出现肺纤维化,多数于2~3周内死亡。

爆发中毒。百草枯摄入量>40毫升/千克体重,有严重的消化道症状,口咽部腐蚀溃烂,伴多脏器功能衰竭,数小时至数日内死亡。

毒性机制

百草枯经皮肤、呼吸道、消化道吸收后,约1~4h后达到血浆浓度峰值,其主要分布于肺肝、肾等多个器官组织中,而肺作为主要靶器官,中毒后肺组织中百草枯浓度可高达血浆浓度的10~90倍,大部分5d内经肾脏以原型排出。百草枯的毒作用机制目前尚未阐明,目前的学说中百草枯中毒主要是通过氧化应激、炎症反应、DNA和线粒体损伤导致细胞凋亡、影响细胞信号转导等途径对机体造成不可逆损伤。

1.自由基氧化损伤

多数学者认为百草枯是一电子受体,作用于细胞内的氧化还原反应,生成大量活性氧自由基,引起细胞膜脂质过氧化,造成组织细胞的氧化性损害,导致细胞结构破坏,功能丧失。

百草枯中毒患者血清丙二醛含量显著升高,尤其在中毒后24~48h升高最为明显,但超氧化物歧化酶含量与健康者相比明显降低,丙二醛会导致一系列连锁反应,从而产生多种脂质过氧化物降解产物;同时超氧化物歧化酶活性减弱无法抵抗因脂质过氧化而导致的组织器官受损症状。丙二醛、超氧化物歧化酶含量与患者中毒程度密切相关。

2.炎症反应

炎症反应所致损伤百草枯吸收入体后,以巨噬细胞为主的效应细胞释放大量炎性因子,包括TNF-α、IL、IFN-γ、磷脂酶A2(PLA2)等。炎性介质、趋化因子等使中性粒细胞、单核巨噬细胞等在组织内聚集、浸润、活化,进一步释放氧自由基、蛋白水解酶等加重组织损伤。

3.DNA损伤和细胞凋亡

百草枯会导致DNA受到直接损伤,进而导致细胞

百草枯

过氧化氢能氧化细胞内各种有机化合物的SH基、羟基进行反应并破坏包括膜脂肪酸与叶绿素在内的不饱和脂类。羟基诱导脂基与氧反应产生脂羟基过氧化氢及其他脂基并促使脂类自身不间断的进行氧化作用。此脂类羟基过氧化物破坏细胞膜的透性,使细胞质渗漏于细胞间隙,造成叶片凋萎和干枯。

降解方式

百草枯对土壤微生物活性、硝化作用及土壤呼吸作用没有影响,其在土壤中存在3种降解方式:

1.吸附于土壤表面的药剂进行光化学分解;

2.被黏粒及有机质吸附的药剂进行化学分解;

3.微生物降解。

其中化学分解所起作用很小,而微生物降解则起着十分重要的作用,细菌、真菌与放线菌均参与降解,它们能够将百草枯作为碳源与氮源利用,降解过程包括脱甲基及吡啶环裂解等。

百草枯

检测方法

液相色谱法(仲裁法)

该鉴别试验可与百草枯含量的测定同时进行。在相同的色谱操作条件下,试样溶液某一色谱峰的保留时间与标样溶液中百草枯色谱峰的保留时间,其相对差值分别应在1.5%以内。

试样用蒸馏水溶解,以庚磺酸钠-乙腈-缓冲溶液为流动相,用色谱柱和紫外可变波长检测器,对试样中的百草枯进行液相色谱分离和测定。

百草枯

比色法

本鉴别试验可与百草枯含量的测定同时进行。在相同的操作条件下,试样溶液最大吸收波长与标样溶液最大吸收波长应一致,均为600nm。

百草枯在连二亚硫酸钠碱性溶液中被还原成蓝色的游离基,此游离基可用一永久的蓝色玻璃片作参比,在600nm处测得其吸光度,用百草枯二氯化物标样绘制百草枯标准曲线,由此求出试样中百草枯的质量分数。

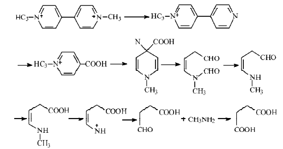
制备方法

制法一:

以吡啶与镁粉为原料,在钠沙引发下生成二聚物,然后用硝基甲烷氧化,经分离、结晶得4,4'-联二吡啶,4,4'-联二吡啶再与氯乙酸作用,在

百草枯

制法二:

以N-甲基呢碘盐(MPI)为原料,在甲苯与氢氧化钠稀释溶液中经电解耦合成N,N-二甲基四氢联二吡啶(DMTB),再用电解液中的有机相与硝基苯反应,分出水相,用苦味酸与之成盐。析出结晶,再将此盐转化成氯盐,即得百草枯。

百草枯

制法三:

吡啶先季碱化为N-甲基吡啶盐酸盐,再在催化剂存在下二聚得1,1'-二甲基-4,4'-二氢联吡啶,继而氧化得百草枯。

应用领域

适用范围与使用方法

用作速效、广谱、触杀型、灭生性除草剂。联吡啶阳离子迅速被植物叶子吸收后,在绿色组织中通过光合作用和呼吸作用被还原成联吡啶游离基,又经自氧化作用使叶组织中的水和氧形成过氧化氢和过氧游离基,破坏叶绿体层膜,使光合作用和叶绿素合成中止,促使干枯。该药剂在苗前使用,与土接触失去活性,对喷药后出土的农作物幼苗没有影响。对褐色树皮没有作用,木本植物树干安全。通常用量

百草枯

阳离子,防除阔叶杂草与禾本科杂草以及多年生杂草。

公路、铁路、林地、果园、橡胶园、咖啡园及其它木本植物园通常一年内喷药2~3次,根据果园杂草发生情况,也可以进行点状或块状喷药,或者喷洒果树树干周围。苜蓿、三叶草休眠期(晚冬或早春)及收割后间隔期喷药,防除已出苗杂草。

作物播种前或出苗前(免耕及传统耕作)用药:使用作物有玉米、高粱、大豆、棉花、向日葵以及胡萝卜、甘兰、白菜、茄子、番茄、辣椒、南瓜等多种蔬菜,这是利用作物与杂草时差选择性原理应用的,喷药时田间尚无作物,故非常安全。

作物出苗后行间定向处理:适用于宽行作物,如玉米、高粱、大豆、甘蔗、木薯、葡萄、番石榴、木豆、菠萝、山药、草莓、番茄、辣椒等多种作物。通常喷药时,在喷雾器的喷嘴上安装保护罩,避免药剂雾滴接触作物。这种喷雾方式曾在中国华北地区玉米田推广使用,并收到了良好的效果。

注意事项

1.百草枯为灭生性除草剂,在园林及作物生长期使用,切忌污染作物,以免产生药害。

2.配药、喷药时要有防护措施,戴橡胶手套、口罩,穿工作服。如药液溅入眼睛或皮肤上,要马上进行冲洗。

3.光照可加速药效的挥发,庇荫或阴天虽能延缓药剂显效速度,但最终不会降低除草效果。施药后30分钟遇雨时基本能保证药效。

4.本品为中等毒性且有刺激性的液体,运输时必须以金属容器盛载。

法规限制

国家标准

为规范百草枯的生产,中华人民共和国国家质量监督检验检疫总局于2003年10月9日发布的国家标准《百草枯母药》GB 19307-2003以及国家推荐性标准《百草枯水剂》GB/T 19308-2003,对百草枯母药及水剂产品的成分、含量等指标做了严格规范。要求母药必须添加催吐剂,水剂产品添加催吐剂、蓝绿着色剂及臭味剂,且使用的催吐剂需符合FAO Specificantion 56/TK/S/F(1994)中的有关要求。正常生产时要求对母药或水剂产品中的指定成分含量每3个月至少进行一次测定。

产品管理

2020年9月21日农业农村部办公厅发布《农业农村部办公厅关于切实加强百草枯专项整治工作的通知》严格落实百草枯监管措施。

根据《行政许可法》《农药管理条例》《农药生产许可管理办法》及农业部第1745号、2445号公告有关规定,具有百草枯母药生产许可和仅供境外使用农药登记的百草枯母药生产企业,才能生产百草枯产品。

根据农业农村部第269号公告,百草枯母药生产企业生产的百草枯产品只能用于出口,不得在境内销售。

根据农业农村部第269号公告,禁止在中国境内销售仅限出口农药产品,违者按照《农药管理条例》未取得境内使用登记有关规定查处。

安全事宜

防治方法

急救措施

1.对皮肤接触百草枯者,需立即脱去污染衣物,用肥皂和清水及时彻底清洗污染部位;

2.眼部接触者,应将眼睑翻开,立即用清水反复冲洗>15min,再请医生治疗;

3.服百草枯者应立即进行催吐,同时保持呼吸道通畅,及时送往医院。限用1L质量分数为15%漂白土或质量分数为7%膨润土或活性炭悬浮液,同时服用甘露醇等合适泻药。

4.如出现呼吸、心跳骤停者立即进行心肺复苏。

贮运安全

1.百草枯应用清洁的塑料桶或衬塑铁桶包装,注意不能使其直接接触金属。每桶净含量一般200L或200kg。

2.百草枯母药包装件应贮存在通风干燥的库房中。

3.贮运时,严防潮湿和日晒,不得与食物、种子、饲料混放,避免与皮肤、眼睛接触,防止由口鼻吸入。

个人防护

1.使用百草枯时要注意带防护镜和胶皮手套。

2.采取局部排气通风或进行呼吸防护。

3.工作时不得进食、饮水或吸烟。进食前洗手。

环境危害

对土壤及作物的影响

百草枯在土壤中的半衰期在1000天以上。紫外光、阳光和勿让微生物能把百草枯降解为毒性较低的物质。土壤颗粒和有机质对百草枯的强吸附作用,制约了植物、蠕虫和微生物对百草枯的生物利用度。施用在玉米、土豆和扁豆上的百草枯遇光分解,用百草枯催枯的番茄中发现有少量百草枯残留,经过烹煮后残留依然没有减少。

对非靶标生物的影响

百草枯对生物多样性也表现出了诸多负面作用,如:百草枯可对陆生和水生植物造成危害,它不仅会影响野生动物诸如鸟类的繁殖能力、导致非靶标生物死亡、影响有益生物的捕食,还会对土壤有益菌产生毒害,甚至导致水下生物死亡。