来源
丁香酚存在于多种植物中,包括丁香花蕾、肉桂皮和叶子、罗勒叶、姜黄、胡椒、生姜、牛至和百里香。此外,罗勒、月桂、马郁兰、肉豆蔻和肉豆蔻等其他几种香草也声称含有大量的丁香酚。在这些植物来源中,丁香和肉桂被认为是丁香酚的主要来源,分别含有 45-90% 和 20-50% 的丁香酚,但与这些来源相关的主要问题是较高的种植成本和商业丁香酚提取。相反,其他成本低廉且数量丰富的增效剂包括图尔西、生姜、月桂、胡椒,它们可以用作丁香和肉桂的替代品。丁香酚主要存在于植物的叶、树皮和花等地上部分,因为这些部分含有相当数量的精油。图尔西叶还含有很高比例的丁香酚,通常在 40-71% 的范围内。然而,植物不同部位的丁香酚浓度随季节而变化。研究表明,与夏季品种相比,秋季可以获得最大的丁香酚产量。
理化性质
物理性质
丁香酚为无色或淡黄色液体,有丁香气味,味辛辣,露置空气或贮存日久,渐变质。微溶于水,与乙醇、氯仿、乙醚、油类等混溶。
化学性质
在空气中颜色逐渐变深变稠,铁、锌等金属离子能催其氧化,因此存放温度不宜超过25℃,避光保存。丁香酚还能将红色石蕊变蓝,与三氯化铁的乙醇溶液作用呈蓝色。
药理学作用
抗氧化作用
公丁香拥有多功能的生物活性,其中它的抗氧化功能主要以黄酮和多酚类的化合物为物质基础,其中丁香酚可通过非竞争性对抗Ca催化反应,抑制轻自由基形成,保护细胞膜脂质免受氧化。谭廷华等的研究表明,公丁香中的丁香酚对Fenton反应生成的轻自由基有较明显的清除作用,其活性高于轻自由基特异性清除剂甘露,丁香酚对核黄素-甲硫氨酸光照还原生成的活性氧也有清除作用。日本的一项研究发现丁香酚除了可抑制黄漂吟氧化酶的活性外,还可抑制机体产生超氧化物,因此可认为丁香酚可直接捕获超氧化物。
麻醉作用
Andetrson 等用丁香酚作为麻醉剂对红鳟鱼进行麻醉研究, 结果表明 ,用丁香酚麻醉后的红鳟鱼的鳃活动频率明显降低, 其游动速度变慢, 行动迟缓 ,鱼体的活动及氧气消耗都有明显下降。同时发现, 丁香酚作为天然的麻醉剂在麻醉商品鱼时毒性小 ,价格低廉 , 而且无残留, 唤醒率高。
解热作用
丁香酚可通过影响P0/AH温敏神经元的放电活动而发挥其致低温作用。
抗菌作用
丁香酚对石膏毛癣菌、粉小孢子菌、羊毛状小孢子菌、红色毛癣菌、黄癣菌、絮状表皮癣菌等常见致病真菌有较强作用,在50mg/L浓度时均能抑制其生长,而且对皮肤癣菌的抑制作用明显强于对其他真菌的抑制作用;丁香酚在1:2000~1:8000浓度时,对金黄色葡萄球菌及肺炎、痴疾(志贺)、大肠、变形、结核等杆菌均有抑制作用。
合成方法
天然精油单离法
丁香油中丁香酚含量为80%以上,可用单离法提取丁香酚。丁香油中加入氢氧化钠溶液,碱水层得到丁香酚钠盐,油层用碱水洗涤得到碱液,合并后通入蒸气加热蒸馏。得到的母液用硫酸中和至弱酸性,静置分层。将油层用水洗涤至中性,得到粗产品,减压分馏后得到丁香酚。

流程图:

化学合成
可由邻甲氧基苯酚和烯丙基溴反应,再经加热重排而得。将邻甲氧基苯酚、烯丙基溴、无水碳酸钾和无水丙酮加入反应,然后用乙醚提取。提取物用10%的氢氧化钠洗涤,再用无水碳酸钾干燥。减压蒸馏再酸酸化后用乙醚萃取即得丁香酚成品。

生物合成
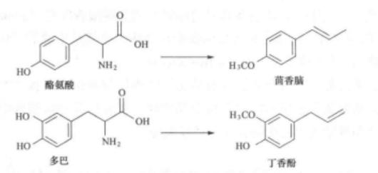
随着越来越多的天然化合物不断被发现,科学家们推测结构相似的化合物在生物合成上可能为同一起源。例如,在比较茴香脑、丁香酚等化合物结构时,发现它们具有相同的 骨架,推测它们具有相似的生物合成途径,即由一系列代谢产物酪氨酸及多巴代谢而来。

应用领域
食品
作为食品香料,广泛用于康乃馨型调和香料或东方风味调和香料。
医药
丁香酚为防腐药。其稀溶液对致病性真菌、金黄色葡萄球菌及肺炎、结核杆菌等有抑制作用。其防腐作用与苯酚相当,镇痛作用较好。在临床上用作牙科根管消毒剂,可止痛、防腐。
清洁
溶剂型或清洁剂型产品,用于去除手或表面上与工艺相关的油漆、粘合剂等。
其他
丁香酚还可作为化工中间体合成其它的化学产品;促进透皮吸收作用,丁香酚提取物促进5-氟脲啶透皮吸收;有祛蚊作用,有效驱避蚊虫时间可达到6h,可开发为一种天然植物祛蚊剂。
安全事宜
GHS分类
象形图 | 
|
信号 | 警告 |
GHS危险说明 | H302 (17.46%):吞咽有害 [警告急性毒性,口服] H315 (20.68%):引起皮肤刺激 [警告皮肤腐蚀/刺激] H317 (99.93%):可能引起皮肤过敏反应 [警告致敏,皮肤] H319 (80.36%):造成严重眼刺激 [警告严重眼损伤/眼刺激] |
防范说明代码 | P261、P264、P264+P265、P270、P272、P280、P301+P317、P302+P352、P305+P351+P338、P321、P330、P332+P317、P333+P313、P337+P317、P362+P364 和 P501 |
毒理学数据
LD50 大鼠口服1930~2680mg/kg(bw)。
健康危害
丁香酚是一种主要的刺激物和致敏剂,皮肤接触可引起接触性皮炎。会刺激皮肤、眼睛和呼吸道。摄入该物可能引起胃肠炎、呕吐和胃液分泌粘蛋白,还可能引起腹部灼痛、恶心、腹泻和抽搐。大量摄入会导致肝损伤和胃肠道损伤。吸入这种化合物会导致支气管刺激、头晕、呼吸急促和浅浅。眼睛接触可能会导致灼伤。也可能发生皮肤过敏。
偶有个别人会对丁香酚有过敏反应。
使用
FEMA(美国联邦应急管理署)最高参考使用量(mg/kg):软饮料,1.4;冷饮,3.0;糖果,32;焙烤食品,33;胶姆糖,500;布丁类,0.6;肉类,40~2000;调味品,9.6~100。
实际使用参考:主要用于配制烟熏火腿、坚果和香辛料等香精,也是合成香兰素的主要原料。
ADl 0~2.5mg/kg(bw) (JEC—FA,2005)。
应急处理和储存
少量溢出和泄漏:如果溢出,请首先移除所有火源。然后,使用吸水纸吸干所有液体溢出物。受污染的衣服和吸水纸应密封在密封的塑料袋中,以便最终处理。用 60-70%乙醇溶剂清洗所有受污染的表面,然后用肥皂和水溶液清洗。
在储存时,避免化学品受光线照射,在惰性气氛下保持容器密闭,并在冷藏温度下储存。
急救措施
眼睛:首先检查受害者是否有隐形眼镜,如果有则取下。用水或生理盐水冲洗受害者的眼睛20 至 30 分钟并及时就医。
皮肤:立即用水冲洗受影响的皮肤,同时脱下并隔离所有受污染的衣服。用肥皂和水轻轻彻底清洗所有受影响的皮肤区域,并及时就医。
吸入:立即离开污染区域;深呼吸新鲜空气。如果出现喘息、咳嗽、呼吸急促或口腔、喉咙或胸部有灼烧感等症状,及时就医。
摄入:不要催吐。如果受害者有意识并且没有抽搐,喂其喝水,及时就医。