发现历史
苯的发现
1825年,迈克尔·法拉第(Michael Faraday)首次分离得到苯。[8] 在18世纪初期,鲸鱼脂肪热裂分解成煤气之后,剩下一种未被利用的油状液体。法拉第用蒸馏的方法将这种油状液体进行分离,得到了苯,当时他称之为“氢的重碳化物”(bicarburet of hydrogen)。法拉第测定了苯的一些物理性质和化学组成,认为苯分子的碳氢比为1:1,实验式为 CH。
1833年,德国科学家艾尔哈德·米切利希(Eilhardt Mitscherlich)通过蒸馏苯甲酸和石灰的混合物,得到了与法拉第分离的所谓“氢的重碳化物”一样的液体,并命名为 benzin。
1836年,法国化学家奥古斯特·洛朗(Auguste Laurent)将此化合物命名为phène,这也是后来苯酚(phenol)、苯基(phenyl)等词的词根。法国化学家格哈特(C. F. Gerhardt)等人又确定了苯的相对分子质量为78,确定了苯分子含六个碳和六个氢原子的经验式(C₆H₆)。
1845年,德国化学家霍夫曼(A. W. von Hoffman)的学生曼斯菲尔德(C. Mansfield)从煤焦油的轻馏分中得到了苯,并进行了加工提纯。后来他又发明了结晶法精制苯,开创了苯的工业生产和利用。1855年,霍夫曼首次使用了aromatic(芳香)一词来描述这类以苯环为核心的化合物家族的独特性质。
约1865年起,苯的工业生产开始。最初是从煤焦油中回收。随着苯的用途的扩大,产量不断上升,到1930年已经成为世界十大重要化工产品之一。
1997年在深太空的CRL 618星云中探测到了苯。2018年,火星上也发现了苯。
苯的结构研究
1858年5月,德国化学家凯库勒(F. A. Kekulé)提出了碳四价学说,并认为碳原子可以相互连接,从而可以确定分子中原子连接的次序。第二年,他又提出苯分子应该是环状结构。他假定,苯分子的六碳链头尾相接连成—个环,每个碳原子上连有一个氢原子。六个氢原子所占的地位相等。1865年,他进一步完善了他的理论,正式提出了苯环单、双键交替排列的结构,即现在通用的“凯库勒式”。但这种构型无法解释两个问题:
(1)苯分子内既然有双键,为什么在一般情况下不能像其他不饱和烃那样发生加成反应。
(2)按照这样的结构模式,苯的邻位二元取代产物应有两种异构体存在。
19世纪60年代,科学家先后提出杜瓦苯(Dewar benzene)、克劳斯苯(Claus benzene)、棱晶烷(prismane)等结构设想,但杜瓦苯和棱晶烷都是苯的价键异构体,它们并不能代表苯的结构。

1872年,为了回答对苯环状结构的质疑,凯库勒提出:苯环中双键位置应该不是固定的,可以迅速移动,使得六个碳原子等价,这样苯可以看成是两个环己三烯异构体构成的快速平衡的结果,这就是所谓的摆动双键学说。

经过多次研究,人们发现苯的取代产物的异构体数目总是毫无例外地和凯库勒的环状结构相符合,所以苯采用六元碳环、每个碳原子上带有—个氢原子的结构式获得普遍认可。1929年,爱尔兰女科学家朗斯代尔(D. K. Lonsdale)首次利用X射线衍射法证明,苯分子的六个碳原子和六个氢原子都在一个平面内,六个碳和六个氢是均等的,C—H 键长为108 pm,C—C 键长为140 pm,此数值介于碳碳单键、双键键长之间。碳氢键键长为108 pm,分子中所有键角均为120°,说明每个碳原子都采取sp²杂化。这样每个碳原子还剩余一个p轨道垂直于分子平面,每个轨道上有—个电子。因此,苯是一个平面分子,六个碳原子组成一个正六边形。

化学结构
分子表示方式
关于苯的结构及它的表达方式已经讨论了170多年了,在这期间许多科学家提出了各种各样的看法,但至今为止关于苯的结构还没有得到满意的结论,仍然是科学家研究的热点。文献和书刊中常见的苯的表达式有下面三种:
I、II 是凯库勒结构式,III 用内部带有一个圆圈的正六边形来表示苯,圆圈强调了6个π电子的离域作用和电子云的均匀分布,它很好地说明了碳碳键键长的均等性和苯环的完全对称性。但是这种方式用来表示其他芳香体系时就不合适了,如各类稠环芳烃,各个碳原子并不均等,每个环上π电子的个数也并非总是6个。因此,通常情况下苯以及芳香化合物的书写方式,仍然是以凯库勒结构式为主。

分子轨道理论解释
两个凯库勒结构式的共振并不能完全解释芳香体系独特的稳定性。分子轨道理论认为,苯分子的六个碳原子均为sp²杂化的碳原子,相邻碳原子之间以sp²杂化轨道互相重叠,形成六个均等的碳碳σ键,每个碳原子又各用一个sp²杂化轨道与氢原子的1s轨道重叠,形成六根碳氢σ键。所有轨道之间的键角都为120°。由于sp²杂化轨道必须都处在同一平面内,所以苯的六个氢原子和六个碳原子共平面。每个碳原子还剩下一个未参与杂化、垂直于分子平面的p轨道,六个p原子轨道彼此作用形成六个π分子轨道。这六个重叠的p原子轨道形成了一个环状的分子轨道体系。因此苯为一种离域的结构,这个环状的分子轨道体系不同于线性共轭烯烃,是一个二维的环状体系,有二维的分子轨道。
分子轨道理论对苯结构解释的基本要点为:
由于有六个p电子组成苯环的π体系,因此有六个分子轨道。
能量最低的分子轨道应该是六个p电子相互通过相邻的p电子重叠成全离域成键的,在此分子轨道中没有节面。
随着分子轨道的能量增加,节面就增加。
分子轨道必须分成成键轨道、反键轨道两种。
一个稳定的体系应该是全满的成键轨道和全空的反键轨道。
理化性质
物理性质
苯在常温下为带有芳香气味的无色透明液体,密度0.8756 g/cm³ (20℃),熔点5.558 °C,常压下沸点为80.08 °C。苯难溶于水,25 ℃下溶解度为1.79 g/L;可溶于乙醇、乙酸乙酯、丙酮、氯仿等有机溶剂。油水分离系数 logP = 2.13。苯25 ℃下蒸气压为94.8 mmHg,黏度为0.604 mPa·s。
化学性质
苯与烯烃相比特别不活泼,在室温下,基本上不呈现任何化学反应性质,因此苯在有机反应中可以作为溶剂使用,对酸、碱、氧化剂等具有较强的惰性。苯属于易燃物,由于碳氢比较高,在空气中会产生不完全燃烧,释放大量黑烟。在特殊条件下,可以发生加成、取代还原等反应。
取代反应
苯环上的取代反应,大多为芳香亲电取代反应(electrophilic aromatic substitution),是指苯环上的氢原子被亲电试剂(electrophile)所取代的反应。典型的芳香亲电取代有苯环的硝化(nitration)、卤化(halogenation)、磺化(sulfonation)、烷基化(alkylation)和酰基化(acylation)等等。
硝化反应
苯在浓硝酸、浓硫酸的混合酸作用下发生硝化反应,反应的结果是苯环上的氢原子被硝基(-NO₂, nitro)取代。硝化反应是最重要的向芳环引入硝基的方法。

芳香族化合物的硝化反应是应用广泛的取代反应。例如可将苯甲醛硝化生产强心急救药阿拉明(Aramine),甲苯多次硝化可制备强烈炸药 TNT(2,4,6-trinitrotoluene,2,4,6-三硝基甲苯)。
卤化反应
有机化合物分子中的氢被卤素(-X)取代的反应称为卤化反应。苯在Lewis酸,如三氯化铁、三氯化铝等的催化作用下能与氯或溴发生苯环上的卤化反应,生成氯苯或溴苯。

卤素由于活泼性不同,发生卤化反应时反应性也不同。氟与苯直接反应时,只生成非芳香性的氟化物与焦油的混合物。碘很不活泼,碘单质较难与苯直接反应,氯气通入固体碘中得到的氯化碘(ICl),是常用的碘化试剂。

磺化反应
有机化合物分子中的氢原子被磺酚基或磺酸基(-SO₃H)取代的反应称为磺化反应。苯及其衍生物几乎都可以进行磺化反应,生成苯磺酸或取代苯磺酸。制备苯磺酸时,常使用过量的苯,反应时不断蒸出苯-水共沸物,以利于正反应的进行。
磺化反应的可逆性在有机合成中有广泛应用,在合成时可通过磺化反应保护芳核上的某位置,待进一步发生某一反应后,再通过稀硫酸或盐酸将磺基除去,即可得到所需的化合物。例如,用甲苯制邻氯甲苯时,利用磺化反应来保护对位。

傅-克反应
有机化合物分子中的氢原子被烷基取代的反应称为烷基化反应,被酰基取代的反应称为酰基化反应。苯环上的烷基化反应、酰基化反应统称为Friedel-Crafts反应,简称傅-克反应,1877年由法国化学家Charles Friedel和美国化学家James Mason Crafts发现。

卤代烷、烯烃、醇、环氧乙烷是常用的烷基化试剂,酰卤(主要是酰氯和酰溴)和酸酐是最常用的酰基化试剂;三氯化铝是效力最强、也是最常用的催化剂。傅-克烷基化反应是可逆的,且常会出现生成不同烷基取代、多烷基取代的芳香混合物。傅-克酰基化反应是不可逆的,且不易发生副反应。

另外,在石油化工中,苯在气相、酸性催化剂作用下与乙烯反应,是生产苯乙烯的主要方式。

Blanc氯甲基化反应与Gattermann-Koch反应
氯甲基苯也称为苄氯(benzyl chloride),可通过苯与甲醛、氯化氢在无水氯化锌作用下反应制得,此反应称为Blanc氯甲基化(chloromethylation)反应,是在芳环上引入取代基的重要方法。

在加压或氯化亚铜催化下,苯或其他芳香化合物与一氧化碳、氯化氢反应,生成芳香醛,称为Gattermann-Koch反应。

加成反应
包括苯在内的芳烃一般很难发生加成反应,只有在某些特殊情况下,才能发生加成反应。当—个双键被加成后,形成的1,3-环己二烯体系更加活泼,因此很快会继续进行加成反应,使得三个双键几乎同时发生加成反应,形成—个取代的环己烷体系。如苯和氯气在加热、加压或光照下反应,生成1,2,3,4,5,6-六氯环己烷。

氧化反应
不同于一般的烯烃和炔烃,苯即使在高温下与高锰酸钾、铬酸等强氧化剂同煮,也很难被氧化。只有在五氧化二钒的催化作用下,苯才能在高温下被氧化成顺丁烯二酸酐。

还原反应
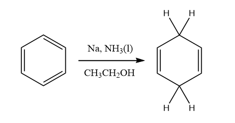
包括苯在内的芳香烃可发生的还原反应,有Birch还原和催化氢化两类。
Birch还原反应由澳大利亚化学家伯奇(A. J. Birch)发现,指碱金属(钠、钾或锂)在液氨与醇(乙醇、异丙醇或二级丁醇)的混合液中,与芳香化合物反应,苯环可被还原成1,4-环己二烯类化合物。

苯在催化氢化(catalytic hydrogenation)反应中一步生成环己烷体系。

缩合反应
苯在1000~1200 ℃高温下,用铁、铜、镍做催化剂,可以发生缩合反应生成联苯,反应选择性可达94%。

配位反应
苯及取代苯均可与过渡金属形成π配合物。配合物可分为三类:
含有两个苯环的夹心式π配合物,如(η⁶-C₆H₆)₂Cr;
含有一个苯环的半夹心式π配合物,如(η⁶-C₆H₆)Mo(CO)₃;
混合配体的夹心式π配合物,如CpMn(η⁶-C₆H₆)。
反应可通过还原法、金属蒸汽法两类途径。还原法用铝粉在苯和三氯化铝存在下将金属卤化物还原得到配位阳离子,然后将阳离子还原;

金属蒸汽法将金属蒸汽与苯蒸汽混合,并用液氮冷却至-196 ℃得到。

制备方法
苯的生产来源分为煤焦化和石油化工两类。两项工艺中得到的甲苯,又可以通过脱烷基化、歧化两种方式转变为苯,进一步提升产量。
石油化工生产的三苯(苯、甲苯、二甲苯,简称BTX)是重要的化工原料。BTX最初来自于煤焦化工业。由于有机合成工业的迅速发展,芳烃需求量上升,煤焦化工业产出的芳烃在质量、数量上均已无法满足需求,因此世界各国开始发展以石油为原料的生产渠道,当前已成为最主要的BTX来源。[24] 而在BTX中,甲苯的应用较少,因而20世纪60年代开发了甲苯脱烷基、歧化的技术,进一步提升苯和二甲苯的产量。
煤焦化芳烃生产
煤在焦炉炭化室内进行干馏时,在高温作用下发生一系列物理化学变化。除生成约75%焦炭外,还产出粗煤气约25%,其中粗苯占1.1%。粗苯中,苯质量分数在55%~75%。粗苯再经过分馏、精制处理后得到苯、甲苯、二甲苯。
石油芳烃生产
以石油为原料生产芳烃,可分为催化重整、裂解汽油生产芳烃、轻烃芳构化与重烃轻质化几类手段。
催化重整
催化重整原料为石脑油馏分,化学反应包括环烷脱氢、五元环异构脱氢、烷烃脱氢环化、烷烃异构加氢裂解等反应,从而生成芳烃。重整催化剂由一种或多种贵金属元素高度分散在多孔载体上制成,主金属为铂,质量分数在0.3%~0.7%。催化重整过程在临氢条件下进行,一般反应温度为425~525 ℃,反应压力0.7~3.5 MPa,空速1.5~3.0/h,氢油摩尔比3~6。
催化重整生产BTX的特点是:甲苯、二甲苯较多,苯较少。以半再生式重整为例,典型的芳烃收率为:苯6.8%,甲苯21.9%,二甲苯19.8%,重芳烃6.4%,总收率54.9%。
裂解汽油生产芳烃
乙烯是石油化工最重要的基础原料之一。随着乙烯工业的发展,副产品裂解汽油已经成为石油芳烃的重要来源。裂解汽油经预处理、加氢,得到芳烃。预处理主要除去裂解汽油中的C5馏分、部分C9芳烃与C9+馏分;加氢一般采取二段加氢,一段在比较缓和的条件下进行,避免二烯烃聚合,二段在高温气相条件下进行。
轻烃芳构化与重烃轻质化
催化重整、高温裂解的原料都是石脑油,而石脑油同时也是汽油的重要原料。汽油需求量不断增长,迫使人们另寻生产芳烃的原料。轻烃芳构化以丙烷、丁烷为原料,经催化脱氢、齐聚、环化和芳构化生产芳烃。重芳烃轻质化以重芳烃和甲苯为原料,以载于Al₂O₃上的Cr₂O₃为催化剂加氢,得到苯和二甲苯。
甲苯脱烷基化
甲苯在加压条件下与氢气反应,脱去烷基,可生成苯,收率96%以上。另有水蒸气脱烷基生产苯的方法,但收率略低于加氢法,且需要用贵金属铑作为催化剂,成本偏高。

甲苯歧化
甲苯歧化反应中,一个甲苯分子上的烷基转移到另一个甲苯分子上,生成苯和二甲苯。该反应是可逆吸热反应,但反应热效应很小,527 ℃下反应吸热仅有0.84 kJ/mol,苯收率32.0%。此外,二甲苯也会继续发生二次歧化、烷基转移等反应,生成多种芳烃的混合物。

应用领域
苯是化学工业的重要原料,苯可以用来合成苯乙烯、环己烷、苯酚、苯胺、烷基苯等。乙苯、异丙苯、环己烷这三类物质的生产,占据苯消耗的75%~80%,这些中间产物会进一步合成为其他产品。乙苯可用于生产苯乙烯,再聚合为聚苯乙烯,聚苯乙烯是重要的高分子材料。异丙苯可用于生产苯酚、丙酮。环己烷可用于生产己二酸,继而合成尼龙。约5%的苯被硝化、还原后制成苯胺。苯氧化可制成马来酸酐,进一步生产聚酯树脂。
在实验室中,苯由于其相对稳定的性质,通常作为溶剂使用,但因其毒性较大,正逐渐被替代。
安全事宜
消防相关
苯为易燃物,闪点为-11 ℃;苯蒸汽与空气混合后有爆炸可能,空气中爆炸极限浓度为1.2% ~ 7.8% 。苯蒸汽密度大于空气,可能会流动到一定距离之外的火源,引发事故。苯使用钢桶、罐进行储存及运输,周边环境应保证通风,并常备二氧化碳灭火设备或干粉灭火设备。
健康相关
苯具有急性毒性及慢性毒性,吸入、食入、皮肤接触均可造成中毒。急性中毒的表现包括头痛、眩晕、肌肉无力、呼吸道/胃肠道刺激。过量接触可导致失去意识乃至死亡。长期慢性中毒及短期高浓度接触可造成贫血、白血病。尸检研究中亦有发现苯会对大脑、泌尿系统、粘膜造成伤害。
苯环境浓度达到500 ppm即可产生急性毒性,空气中20000 ppm环境中暴露5~10 min或经口摄入9~30 g苯有致命危险。一般人在苯浓度1.5~4.7 ppm下即可嗅到气味,进而规避急性中毒,但在此阈值之下仍可能发生慢性中毒。
相关工作人员应避免皮肤接触苯或吸入苯蒸气,并定期体检。除生产、使用苯的工作人员外,普通人日常接触的苯主要来自于燃油及机动车尾气。
急救措施
苯中毒无特效解药,发现中毒应首先与被污染环境、物品脱离接触,包括:转移到空气新鲜处;立即除去所有沾污衣物,用水清洗皮肤/淋浴;眼睛接触之后,以大量清水冲洗(如有隐形眼镜应先取下);保持呼吸道畅通,如有误食不可催吐,以防将呕吐物倒吸入肺部。进行以上处理后,立即呼叫医生。