简介
颍河水系山区处于秦岭—昆仑纬向构造带东段,地层分属于秦岭地层豫西小区,地貌主要以山地、丘陵、平原为主,流域内矿产资源丰富,是中国重要的煤炭生产基地。颖河流域地处暖温带半干旱季风气候区,属暖温带半湿润季风气候,年平均气温14℃—16℃,春暖秋凉,冬冷夏热,四季分明。颍河流域生态资源众多,栖息多种国家一级、二级野生保护动物及多种植物,动物主要有东方白鹳、黑鹳、白尾海雕,灰鹤、乌雕、赤腹鹰等,植物主要为野大豆、野菱、莲、银杏、水杉等,流域内建有太和县沙颍河国家湿地公园。
颍河是中华文明的重要发源地之一,是中原地区行洪、排涝、航运、灌溉的重要水道,流域内水利工程众多,包含白沙水库、昭平台水库等多个大型水库、滞洪区。颍河人文历史丰富,是大禹治水、颍河漕运典故的发源地,也曾是抗战期间花园口掘堤事件的发生地,流域内龙山文化、管仲文化对中国文化产生了深远的影响。颍河流域内风景名胜众多,主要有“天下第一名刹”之称的少林寺、中国古代四大书院之一的嵩阳书院、以及法王寺、嵩岳寺、观星台等。
名称由来
颍河,古称颖水,相传因纪念春秋郑人颍考叔而得名。上游以沙河为主,故又称沙颍河。颍河干流在河南省境内称沙河,入安徽省境内称颍河。
位置境域
颍河,位于淮河北岸,中国河南省东部与安徽省西北部。发源于河南省嵩县伏牛山脉摩天岭东麓,西起伊川、偃师两县之间,向东延伸到登封全境,经纬度范围为东经111°57′—116°43′,北纬32°31′—34°52′,流经登封、禹州、襄城、许昌、临颍、西华、周口市区、项城、沈丘等,于界首入安徽省,往下经太和、阜阳,于颍上县沫河口入淮河,颍河也是淮河流域最长、流域面积最广的一大支流。颍河全长619千米,流域面积3.67万平方千米,其中河南省境内,河长418千米,流域面积3.44万平方千米,安徽境内长207千米,流域面积4112平方千米。
历史变迁
地质变迁
颍河水系山区处于秦岭—昆仑纬向构造带东段。该地区在距今20亿年前的早元古代,皖北相对隆起。其后,经历了13亿年的振荡,于距今7亿年前的震日纪,鲁西隆起区边缘及郯庐断裂带西侧相对沉降,沦为海域,徐准地区沉积了3000米厚度的碎屑盐和碳酸盐建造层。在距今4亿年的加里东构造运动期间,该地区地质进人了以缓慢振荡为的均衡发展稳定期,继承并扩大了震旦纪的沉积区。在距今3.4亿年前的晚奥陶纪到早石炭纪期间,该地区上升为陆地,并长期处于稳定剥蚀夷平阶段,距今3亿年的中石炭纪,该地区又缓慢相对下沉,出现海浸,形成中石炭统海陆交相含煤建造和二迭系过渡相及陆相含煤建造。到距今约2.3亿年前的晚二迭纪,华北气候逐渐干燥,形成了石盆子组及石千峰组紫红色、红色沉积。由于中生代开始的华力西运动,在南北压应力作用下,该地区形成了近东西向的褶皱带。在距今6500万年前开始的新生代,该地区由于应力场的调正,在燕山运动造成的断裂带广生差异运动,新华夏系第二沉降带迅速下沉,形成了厚达7千米的陆相沉积地层,其中第三纪地层以碎屑为主。距今200万年形成的第四纪地层为多元结构,由冲积形成的松散堆积物组成,其厚度阳断层以东达500米以西达700米以上,最大厚度在1000米以上。
水系变迁
元时期
元朝至元二十七年(公元1290年),由于河南汝水泛滥,有司自郾城东截断汝水,将其一分为二:一支为北汝(即今称北汝河)汇沙澧二水向东流至周口汇入颍水,即今颍河水系;另一支循古汝水向东南而下,即为今南汝河,属今洪汝河水系。元至正三年(公元1343年)黄河大决茅堤,灾区广阔,泛滥达7年之久。直到至正十一年(公元1351年)元惠宗命正部尚书贾鲁任总治河使,主持治河疏汴工程,至十一月堤埽完工,堵口成功,河复故道。同时,贾鲁自郑州引索水、汴水、双桥等水至朱仙镇入颍河,以通颍、蔡、许、汝等地的漕运,因贾鲁治河有功,遂将汴河更名为贾鲁河,即现在由周口汇入颍河的贾鲁河,至正年间(公元1341—1368年),舞阳县卸甲店东北处筑堤塞断河道,向北凿渠12里,引水北流,至淮堰店(今上澧河店)西北隅,汇入澧河,东流归颍,系改河入澧之始。后因新开之河淤塞,河复故道。
明—清时期
明洪武二十四年(公元1391年)四月,黄河决于原阳黑羊山,经今开封城北,折向东南,经今淮阳、项城、太和、颍上,东至正阳关,由颍入淮,后人曾称为“大黄河”。明正统十三年(公元1448年)秋,黄河大决,水分三股,其南股由孙家渡决口南泛,经洪武二十四年老道“大黄河”即颍河下注入淮。明弘治六至八年(公元1493—1495年),刘大夏治理黄河,于黄河北岸筑太行堤260里,阻黄河北决,迫使南行,使得黄河主流继续由涡河和颍河入淮。清两百年间,黄河仍多次溃决,虽未改道,但泛滥范围甚广,颍河流域中牟、杞县、通许、尉氏、扶沟等地都一再遭受黄河的侵袭。
民国时期
民国二十七年(公元1938年),国民政府先在中牟县西北的赵口掘开堤防,6月9日,又在花园口将河堤掘开,黄河之水白花园口穿堤而出,直泻东南。大部分沿贾鲁河经中牟、尉氏、鄢陵、扶沟,以下经西华、淮阳、周口至安徽省阜阳顺颍河到正阳关入淮河。直至1947年花园口堵复,黄水在泛区泛滥达9年之久。黄水整个淹没的范围,由西北到东南长达400余千米,宽度由30至80千米不等,面积约3万平方千米,其中颍河流域面积达9000平方千米,约占全泛区面积的30%。颍、涡之间的豫东、皖北地区约2万余平方千米的耕地全被泥沙淤积,成为一望无际的沙丘。
流域及水系特征
水系组成
干流河段
颍河,淮河流域最长、流域面积最广的一大支流,颍河主要有两条河流,其中以颍河作为正源,沙河作为其主要支流,全长619千米,流域面积3.67万平方千米,主要支流有北汝河、澧河、小颍河、贾鲁河、新蔡河、新运河、茨河。
周口以上为颍河上游,河长324千米,上游在舞阳县简城东有北汝河汇入,至漯河市区有澧河注入,向下到周口市区有颍河、贾鲁河汇入,至沈丘县入安徽省境内;周口至安徽阜阳为颍河中游,长174千米,周口以下至省界之间新运河、新蔡河汇入;阜阳以下至沫河口(入淮河)为颍河下游,河长126千米。
上游主要支流
北汝河
北汝河为颍河左岸支流,发源于洛阳市嵩县龙池漫山跑马岭,流经嵩县、汝阳县、汝州市、郏县、宝丰县、襄城县,于舞阳县岔河口入沙河,河长275千米,流域面积5660平方千米,多年平均流量26.76立方米/秒,多年平均径流量8.44亿立方米,主要支流有牛涧河、荆河、洗耳河、黄涧河、芦沟河、燕子河等。

澧河
澧河为颍河右岸支流,发源于南阳市方城县四里店以北栗树沟,流经方城县、叶县、舞阳县、漯河市,在漯河市区丁湾注入沙河,河长160千米,流域面积2508平方千米,多年平均流量23立方米/秒,自然落差197米。

颍河
颍河(亦称小颍河)发源于登封市少室山,经禹州市(原禹县,古称小禹州)、襄城、许昌、临颍、郾城、西华等县至周口市西北的孙嘴汇人沙河,全长263千米,流域面积7348.3平方千米。颍河在襄城县颍桥以上穿越丘陵谷地,在颍桥以下进入平原,下游河口附近比降约为1/19000。颍河主要支流有吴公渠、清溟河、清流河等。吴公渠发源于禹州市蒙城,经襄城、临颍至郾城县沈赵村入颍河,流域面积1154平方千米;清溟河发源于新郑、禹州两市交界处,属平原型河道,流经长葛、许昌、临颍、鄢陵至西华县苍头汇入颍河,全长149千米,流域面积2362平方千米;清流河发源于许昌市鄢陵县屯沟,于西华县李湾汇入颍河,亦属平原型河道,河长23.3千米,流域面积1393平方千米。

贾鲁河
贾鲁河为颍河左岸支流,元至正十一年(公元1351年)因工部尚书贾鲁主持疏汴河而得名,发源于新密市圣水峪,流经新密市、郑州市、中牟县、尉氏县、鄢陵县、扶沟县、西华县,于周口市区汇入沙河,河长264千米,流域面积6137平方千米,流域多年平均气温14.4℃,多年平均降水量为611.9毫米,年降水主要集中在6—9月份,多年平均蒸发量为1492.6毫米,多年平均径流量为4.67亿立方米。

中游主要支流
新蔡河
新蔡河位于河南省东南部,源出淮阳县商水运河,南流经淮阳县城北、郸城县西至沈丘县新安集入颍河,干流全长约80千米,流域面积1030平方千米。

新运河
新运河位于河南省项城县西北部,东北起自项城县西北郊,南至平兴县杨埠接通洪河,全长67千米,其中运河干流长47千米。

水文特征
径流
颍河水系多年径流量为7.78亿立方米,流域周口以上,沙河径流量最大,颍河其次,贾鲁河最小。漯河以上,沙河和澧河径流量比北汝河大。流域内径流深的分布趋势与降水量的分布接近,为北部小,南部大,西部山区大,东部平原小。西南沙澧河上游为400毫米,东北贾鲁河约为100毫米。径流量主要受降水量的影响,河流水量主要由雨水补给,径流量年内分配很不均匀,受降水的季节变化影响主要集中在6月—9月汛期,约占全年来水量的60%一70%,最大时洪峰流量可达1720立方米/秒,最小时月平均流量为零。
水资源
颍河流域多年平均水资源量为94.51亿立方米。水资源较为贫乏,人均及单位土地面积水资源占有量约为中国平均水平的1/5,上游地区的嵩县、汝阳和方城3县负载指数在3—5之间,属于三级水平,其他县市的负载指数均大于10,属于一级水平,水资源开发的潜力很小,平顶山、郑州和漯河3市市区的水资源紧张状况最为严重,负载指数高达40以上,占流域面积的6.58%。

含沙量
颖河是淮河最大支流也是最大沙源,鲁台孜站位于颖河入淮河口的下游约3千米处,1951—1999年多年平均输沙量在275—169亿立方米范围内浮动,2000年—2007年平均输沙量为251亿立方米,水情年平均输沙量最低为1982年的296亿立方米,最高为1998年的319亿立方米。
水质
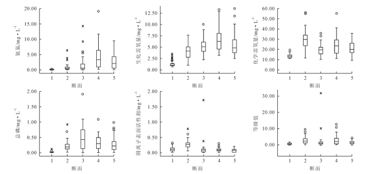
颍河流域白沙水库、沈丘纸店断面水质状况相对较好,西华址坊、周口康店断面水质状况近些年有明显好转的趋势,西华纸坊断面由2007年的2级水至2008年的4级水,至2009—2010年的1级水;周口康店断面从2007年的5级水至2010年1级水,逐年改善,氨氮的均值呈现2007—2009年逐渐下降、2010年变化不明显的现象;氨氮监测数据离散程度较大,其浓度波动较明显,氨氮水质逐渐改善;生化需氧量、化学需氧量、总磷浓度均值在2007—2008年呈现不断下降、2008—2010年不断上升的现象。

地理特征
气候
颖河水系地处暖温带半干旱季风气候区,属暖温带半湿润季风气候,年平均气温14℃—16℃,最高月平均气温27.3℃—27.8℃,出现在7月份,最低月平均气温—0.3℃,出现在1月份,春暖秋凉,冬冷夏热,四季分明。流域内多年日照时数:西部(鲁山)山区为2068小时,西北部(登封)2300小时,北部(中牟)2109小时,东部、南部(周口、漯河)2269小时,中部(许昌)2359小时,一年当中以6月份的辐射量最大,12月份最小。流域内多年平均风速2—2.5米每秒,12月至次年4月风速较大,平均达3米每秒至4米每秒左右,9月前后平均风速为2米每秒至3米每秒。
颍河多年平均年降水量1024毫米,水系受气候和地形的影响,年降水量在地理分布上有着明显差别,西部山区多年平均降水量达1401.7毫米,东部平原区年降水量为700—900毫米,靠近黄河的北部平原区,年降水量只有600毫米左右,水系一般从6月份进入汛期,9月底汛期结束。颍河多年平均年蒸发量833毫米,水系的蒸发量山丘区多年平均水面蒸发量为1170毫米,平原区多年平均水面蒸发量为1128毫米。
地质
地质构造
颍河水系山区处于秦岭—昆仑纬向构造带东段。主要构造为:一是纬向构造,昆仑秦岭东西向构造中的宿县拗陷、蚌埠降起、淮南拗陷、霍邱肥东降起,都经过阜阳地区。主要断裂有位于涡阳、蒙城之间的板桥断层(此断层倾向北,落差大于1000米)、利辛五河断层及马店沫河口断层(此2新层皆倾向北两者平行排列,延展长度大于150千米)、阜阳舜耕山断层(走向为北西北西西,倾向南西,乐扭性断层);二是新华夏系构造,位于河南芒硕山、涡阳县龙山利辛县西部霍邱四十里长山一线。其主要断裂有丰涡断裂、阜阳断裂、夏邑太和断裂。
地层特征
颍河地层分属于秦岭地层区,豫西小区。区内出露的岩层有太古界的混合片麻岩,古生界熊耳群和西阳河群的火山喷发岩,古生界的碳酸盐和煤系地层,中生代的花岗岩,新生代的陆相火山喷发岩及现代泥沙质堆积物。
混合片麻岩区以黑云角闪斜长麻片岩为基底的混合片麻岩岩系,出露在沙河支流荡泽河两岸,分布面积约240平方千米;火山喷发岩分布于土门、焦山、国贝石一带,是古老的海底火山大熔岩,出露面积约312平方千米;陡沟、管山岭一带的绿色片岩,是西阳河群的变质安山岩系,出露面积约139平方千米;花岗岩区分布在沙河南岸二郎庙、四棵树、鸡冢至交口一带,出露面积约795平方千米,岩体属伏牛山花岗岩。岩体中节理发育,在石人山一带,岩石顺垂直节理裂开,时有孤峰突现,形成怪石林立的中高地形;石英岩、碳酸岩区分布面积较小,石英岩石致密坚硬,但节理发育,常形成陡壁悬崖。沙河河床发育在二种岩石胶结地带,鲁山东至沙河、北汝河汇合口为冲积平原;白龟山水库东北部有小面积的灰岩、石灰岩分布。
矿产资源
颍河河南腹地面积34877平方千米,安徽腹地面积8100平方千米,腹地内矿产资源丰富,是中国重要的煤炭及商品粮生产基地之一,腹地内已探明有煤、铁、铝、铜、盐、灰岩、石膏、萤石等50余种矿藏,尤其是煤炭储量十分丰富,已探明的煤炭储量河南省平顶山、禹州、新密、登封、宝丰等市(县)达170.3亿吨,安徽省颍上县谢桥、陈桥、江口、夏桥、江店、杨湖一带约30多亿吨。流域中部沙河、北汝河之间地下原煤储量103亿吨;叶县、舞阳等地盐储量2300亿吨,是中国第二大井盐产地。许昌市西部颍河上游原煤储量45亿吨,铝矾土储量4300万吨,铁矿石2.66亿吨,耐火粘土666万吨,石灰岩2亿吨,白垩土1646万吨,郑州市颍河、双洎河上游的登封、新密两市原煤储量达50亿吨,耐火粘土达1.08亿吨,铝矾土储量超1亿吨。
地形地貌
颍河流域地形主要以山地、丘陵、平原为主,西部山地地形复杂多样,地势起伏较大,平均海拔高度886.19米,平均坡度20.43°,属颍河流域的高海拔区;西部丘陵地区平均海拔363.13米,平均坡度8.53°,地形有所起伏,坡度较缓,属颍河流域的中低海拔区;东部平原地区平均海拔77.32米,平均坡度1.03°,地形单一,起伏不明显,为广阔的平原,属颍河流域的低海拔区。颍河岸距170—240米,岸高6—8米,坡降0.05‰左右。
颍河流域地貌主要为浅山丘陵区、平原区、低洼地区。浅山丘陵区:大部分布在京广铁路以西,多为中低山,山坡坡度一般在1/400—1/600,河谷多为“U”形;平原区:一部分分布于京广铁路以西及其两侧地带,另一部分为黄河南泛淤积的平原,分布于京广铁路以东贾鲁河、颍河下游的广大地区;低洼地区:多为历史上的湖泊洼地,经新中国成立后疏浚河道、洼地改造,现已多为良田。沙、澧河之间的泥河洼地已建成滞洪区。
土壤
颍河流域京广铁路以西,山丘地区有砂、石土,土层薄且砾石多,北部以黄垆土为主,其成土母质以冲积、风积黄土为主,疏松多孔;中部局部地区有古代湖泊沉积的砂姜黑土分布;南部有黄棕壤土的跨带分布,其母质为山前洪积冲积物经风化分解而成,土质黏重。
颍河流域京广铁路以东、沙河以北为平原潮土和盐碱土区,土壤为沙土、淤土、两合土和盐碱土等,一般呈碱性;沙河以南的豫东、南浅洼平原为砂姜黑土区,土壤为第四纪上更新统湖泊沉积的黑黏土,大部在残余沼泽草甸土类型上发育的砂姜黑土,土壤表层为暗灰色,土质黏重,底部有疏松的砂姜和砂姜结盘。
生物多样性
动物
颍河流域许昌市有野生动物127种,其中国家二级重点保护动物有貉、狼、鸿雁、云雀、鸳鸯、水獭、燕隼等;阜阳市有脊椎动物31目75科218种,其中国家一级重点保护野生动物有3种,主要有丹顶鹤、白头鹤、白鹳等,国家二级重点保护野生动物有19种,主要有大天鹅、白枕鹤、鸳鸯、环颈雉、雀鹰、猫头鹰、黑斑蛙等,安徽省省级重点保护野生动物38种;周口市有动物近80种,名贵品种有周口黄牛、槐山羊、淮阳驴、项城猪(灭绝)、鲈鱼、白龟。
鸟类
颍河流域主要以麻雀、燕子为主,其它主要有啄木鸟、喜鹊、鹌鹑、斑鸠、蜂鸟、黄鹂、鸽子、杜鹃(布谷)、乌鸦、鸬鹚、赤麻鸭、鸳鸯、土鸳鸯等。
鱼类
颍河流域主要鲤鱼、鲫鱼、鲢鱼为主,其它主要有白鲦、鲇鱼(鲶鱼)、鳜鱼、鳝鱼、鳖鱼、泥鳅、草鱼、武昌鱼、黄金条鱼、银鱼、红少鱼、白鳝鱼。
浮游动物
颍河流域共有浮游动物36属78种,其中轮虫20属60种、枝角类10属12种、桡足类6属6种。浮游动物优势种主要为长肢多肢轮虫、裂痕龟纹轮虫、角突臂尾轮虫、萼花臂尾轮虫、曲腿龟甲轮虫和象鼻溞。
植物
颍河流域许昌市境内经普查有维管束植物124科、411属、719种,其中:野生植物448种,栽培植物271种;阜阳市有维管植物84科226属335种,分布的珍稀濒危植物有野大豆、野菱、莲、银杏、水杉和樟树等6种;周口市有各种植物170余种,主要有白花泡桐、高口樱桃、陈老将梨、黄花菜、逍遥大葱、房坟韭菜、芦笋等。
自然保护区
太和沙颍河国家湿地公园
太和县沙颍河国家湿地公园位于太和县城西部,全长13.5千米,总面积714公顷,分为湿地生态保育区、沙颍河休闲体验区、湿地生态功能展示区和服务管理区等四大功能区,是典型的河流湿地,园内有国家级保护鸟类10种、省级保护鸟类25种,国家一级保护鸟类有黑鸛、金雕等,国家二级保护鸟类灰鹤、苍鹰、大天鹅等。
颍州西湖湿地保护区
颍州西湖湿地保护区位于阜阳城西北一千米新泉河两岸,总面积110.00平方千米。其中核心区27.50平方千米,缓冲区3080平方千米,实验区51.70平方千米,颍州西湖湿地保护区现有鸟类33科86种。其中,国家一级保护动物有东方白鹳、白头鹤、大鸨3种;国家二级保护动物有小天鹅、鸳鸯、鸢、赤腹鹰、普通鵟、红隼、燕隼、灰鹤、短耳鸮、长耳鸮10种。
八里河自然保护区
八里河自然保护区位于颍上县南部,地处颍河与淮河交汇处,自然保护区面积14600公顷,区内动物资源非常丰富,有24科130种鸟类,常见的有白鹳、白头鹤、白额雁、黄嘴白鹭、小天鹅、鸳鸯、白尾鹞、普通鸬鹚、豆雁、鸿雁、绿头鸭、赤麻鸭、针尾鸭、夜鹭、大白鹭、苍鹭等。




展开人类活动
历史沿革
颍河上游也是中华文明的重要发源地之一,流域也是中原地区行洪、排涝、航运、灌溉的重要水道。8万—10万前,“许昌人”就在颍河岸边生息。8000年前,河南舞阳贾湖先民就开始在颍河岸边种稻、糟酒、奏响七音骨笛,刻画契文。6500年前,人文始祖太昊伏羲氏在颍河岸边淮阳定都。5000年前,人文始祖黄帝出生于颍水上游支流双洎河畔,后来又定都于新郑轩辕丘。
公元前361年魏惠王开鸿为就开始行黄河水经开封、沈丘,通过沙颖河人淮河,成为沟通黄河与淮河的水运要道,隋炀帝大业三年(公元607年)在颍、汝水流域设立襄城郡、汝南郡、淮安郡、汝阴郡、淮阳郡,县城的数目为45个,颍河流域为解决国家用粮之困,曾在许昌募置运米丁。曹魏时期曾在颍河右岸引水灌田,唐代曾设“淮颍水运使”,负责南粮北运,后因黄泛,颍河旧有漕运及灌溉系统悉被破坏。
唐时,颍汝水流域所在的州县几乎都生产丝织品,其中颍州、汝州、陈州是重要的贡丝绸品之地,蔡州的特殊贡品—玉在唐代得以开采,其质量、色彩均属上乘,瓷器作为手工业产品在唐朝时的颍汝水流域已开始发展,元和十一年十二月设置淮颍水运杨子等诸院米,宪宗元和八年(公元813年)扩大开发淮颍水运道。宋时结束战乱后,宋政府实施移民垦田的方针“太宗迁晋、云、朔之民于京、洛、郑、汝之地。垦田颇广,民多致富。”北宋时期手工业再度迎来发展,颍州是帛丝、绢、紬、絁等重要的丝绸品产地。
元、明、清直到民国时期,沙颖河对历代的政治、经济、军事和文化交流都发挥过重要作用,但在新中国成立前前历代封建统治者,不理河事,堤防失修,连年洪水四溢,汇聚成涝。自明太祖洪武八年(公元1375年)至明万历三十三年(公元1605年),黄河迁涉的200余年中,颖河流域屡遭黄水泛滥。民国27年(公元1938年)国民党炸开花园口黄河大堤,导致黄水南泛9年,使颖河连年遭受泥沙淤积和洪水冲击,形成河道弯曲淤浅,河床宽窄不一。
经济
颍河流域新中国成立后经济相对落后,要从事农业生产,农作物品种有小麦、玉米、棉花等,工业基础十分薄弱,仅有小型手工生产方式对本地农副产品进行加工,主要有西部山区的养蚕缫丝、卷烟、土造纸等,新中国成立初期该区农业生产总值约为4.81亿元。
新中国成立后流域内工业经过多年的发展,形成了包括冶金、煤炭、建材、纺织、电力、食品、卷烟等较为完善的工业体系,其中河南省郑州市形成以煤炭、汽车、铝产品、食品加工和装备制造业为支柱的工业体系;许昌市形成了以电力装备、金刚石制品、发制品、能源、纺织、建材等为支柱的工业体系;平顶山市形成以能源和原材料工业为主体的新兴工业体系;漯河市着力发展食品工业;安徽省阜阳市形成粮食、畜牧、果蔬、纺织等为主的9大农产品加工产业体系。至2022年,河南省地区生产总值61345.05亿元,第二产业增加值25465.04亿元,增长4.1%,第一、第二、第三产业结构为9.5∶41.5∶49.0。安徽省生产总值45045亿元,第二产业增加值18588亿元,增长5.1%,第一、第二、第三产业结构为7.8:41.3:50.9。
交通运输
颍河自古就是中原地区军事活动、漕粮运输、商品流通的水上通道。颍河航运出现轮船运输,开辟了蚌埠—正阳关—颍州的航线,颍河航运虽有一定的发展,但存在着新式轮船和木帆船新旧并存的局面。新中国成立初期,颍河航运有较快发展。但当时政府对水资源综合利用认识不足,在颍河上修建闸坝等水利工程时,极少配套通航设施,致使颍河航运断航。
颍河从交通布局上看,向西可连接京广和河南地方铁路,东通淮河达华东地区;从运输上看,可与公路、铁路联运,将豫西南等地煤炭运往华东,将华东地区工业产品运往华中地区,20世纪50年代末年货运量曾高达221万吨,进入20世纪80年代,颍河复航工程启动。经过30多年的努力,实现周口以下颍河全年通航,1996年—2000年,颍河运量年均在100万吨左右,最高达170余万吨,随后呈下降趋势,年均约100万吨,主要为煤炭出口和矿建材料。
科考研究
科学研究
2021年—2022年,河南省文物考古研究院和许昌市文物考古研究管理所联合在许昌境内开展颍河流域先秦时期的文物调查工作,许昌颍河流域是河南龙山文化、夏文化、汉魏文化考古的重要研究区域,摸清该区域的古文化遗迹情况,将为河南考古甚至中国考古提供重要资料,初步发现龙山时期壕沟1条,东周时期遗址4处,汉代遗址5处。在遗址内发现有大量陶片、泥质灰陶、夹砂红陶、粗绳纹、细绳纹、兽骨等遗物。
考古发掘
贾湖遗址
1979年秋,河南省舞阳县北舞渡公社贾湖村小学教师贾新中国成立前在带领学生开荒种地时,挖出一些石铲、陶壶,从而发现“中国二十世纪一百项重大考古发现”之一的贾湖遗址,贾湖遗址属于裴李岗文化的重要遗址。据测定,贾湖文化存在的年代为距今9000年—7800年,该遗址发掘面积2300多平方米,发现房基40多座穴300多座陶窑近10座,基葬300多座陶石骨等各种遗物数千件。该遗址对于研究中国新石器文化起源,以及黄河长江流域新石器文化的关系有着重要意义。

瓦店遗址
瓦店遗址地处颍河流域中游,是河南省文物研究所于1979年在颍河两岸考古调查时发现,遗址现存总面积100万平方米,出土的器物,有列觚、成套的陶器、酒器、盛器等,是探索夏文化的一处非常重要的遗址。

王城岗遗址
1959年考古学家徐旭生发现了王城岗遗址,遗址先后发现东西两座龙山晚期小城和一座面积34.8万平方米的龙山晚期大城,三座城的建造和使用期都是龙山时代晚期,遗址发现有城墙、大型夯土建筑基址、青铜礼器、文字性材料、奠基坑、祭祀坑等,此外在遗址陶器上发现了一些文字资料,它们刻画在碗、钵、豆、瓮等陶器的底部或肩部。
杨单庄古墓群
杨单庄古墓群位于河南省周口市商水县张庄乡于2017年被发现,发掘面积共4530平方米,该墓群与遗址发掘有汉代、宋代和清代墓葬群以及汉、清代遗址,发掘的墓葬有120余座,出土陶器、铜器、铁器、骨器、鎏金器、银器、石器等各类文物标本500余件。
水利工程
新中国成立前
隋朝时的颍河流域为解决国家用粮之困,曾在许昌募置运米丁,在颍州下蔡县“西北百二十里有大崇陂、八十里鸡陂、六十里黄陂、东北八十里湄陂”等修筑水利灌溉工程。
唐高宗永徽年间,刺史柳保积在颍州汝阴县主修凿椒陂塘,引润水灌溉田地二百顷,颍州下蔡县先前修的大崇陂、鸡陂、黄陂、湄陂四项水利工程,神龙年间陈州西华县县令张余庆复开邓门废陂,“引颍水溉田”,增加了土地垦殖的数量,蔡州新息县县令薛务在开元年间,扩大对玉梁渠水利工程的修缮“增濬,溉三千余顷”。
宋时,苏轼在颍州做官时修治颍州城西南的清河,引汝水补给水源,筑陂塘蓄水,沿岸60里的农田同获灌溉之利。北宋政府还修建了沟通汝、颍水与蔡河中游的运河,自河流镇引汝水支流商水北入颍水,复东流经西化县长平镇注蔡河,此运河成为惠民河系统,惠民河是维系京师与西南地区的重要运河,岁输陈、颍、蔡、许、光、寿诸州漕粮六十万石,兼钱帛盐茶杂物及京师薪炭燃料。
新中国成立后
白沙水库
白沙水库坝址以上流域面积985平方千米,位于沙颖河流域颖河干流的上游,属淮河水系,该库于1953年建成,为均质土坝,以防洪为主,兼有灌溉、水产养殖等功能,库区长度为13.94千米,水库输水洞位于拦洪坝右坝头,为无压隧洞,洞口断面为标准马蹄形,洞径为4.06米,设有四扇平板高压闸门,分为上下两层,上层底部高程204.8米,下层底部高程为195.92米。

昭平台水库
昭平台水库位于河南省鲁山县境内淮河流域沙颖河水系的沙河干流上,控制流域面积1430平方千米,总库容7.27亿立方米,是一座以防洪、灌溉为主,结合发电、养鱼及供水等综合利用的大型水利枢纽工程。该枢纽附有梯级电站两座,即一级站和二级站。一级站位于水库大坝右岸,装机4台,总装机容量6160千瓦。二级站距一级站渠线总长17.8千米,位于沙河支流大浪河右岸,通过北干渠引水,利用自然落差13.08米修建而成,装机2台,总装机容量1300千瓦。

白龟山水库
白龟山水库是淮河流域沙颖河水系沙河上游的一座大型半平原水库,位于平顶山市西南郊,与上游51千米的昭平台水库形成梯级水库。水域控制流域面积1310平方千米,多年年均径流量4103亿立方米,总库容9122亿立方米。白龟山水库作为主要水源地,兼具工农业用水、防洪等多种功能。

孤石滩水库
孤石滩水库位于淮河流域沙河支流澧河上游,坝址位于河南省平顶山市叶县西南常村乡的小呼沱村上游约600米处,水库控制流域面积约286平方千米,全系山区。水库现状总库容1.85亿立方米,是一座以防洪灌溉为主,结合发电兼养殖的大型水利枢纽,枢纽主要建筑物有大坝、溢洪道、输水洞和电站,其中溢洪道闸室控制段共三孔,闸门尺寸为10米宽、8.4米高。

滞洪区工程
颍河流域现有泥河洼滞洪区,位于漯河以西30千米的沙、澧河之间的低洼易涝地区,设计蓄水位68.0米,设计滞蓄水量2.36亿立方米。泥河洼自建成以来,共进洪43次,对有效控制漯河以上沙河干流、北汝河、澧河洪水起了很大作用。
河道堤防工程
颍河漯河以下河道全长393千米,河槽宽度100—200米,深8—12米,河道过洪能力从上到下均约3000立方米/秒,整个堤防的综合防洪能力约10年一遇。受黄泛影响,颍河两岸滩地淤高,滩地一般高出堤内地面1—2米。
民俗
花鼓灯
颍上花鼓灯艺术是最早一批入选国家级非物质文化遗产的舞蹈类目,是一种集舞蹈、灯歌和锣鼓音乐、情节性的双(三)人舞和情绪性集体舞完美结合于一体的民间舞种,花鼓灯最迟源于宋代,它是淮河流域一些艺术品种的根脉,主要流行于淮河沿岸的颍上、凤台等地。

渔鼓
又称道简子或坠子嘴,行话为“溜兰条儿”,源于明代叙事性道情。最初为道人化斋传道时所唱之“道情”,因其用渔鼓伴奏,简板击节,故道情亦称渔鼓或渔鼓道情。后来,道情开始走出道观,进入民间,演唱主体逐渐变为城乡坊间艺人。渔鼓在准河流域主要分布在界首、太和、颖上、临泉、阜阳、毫州、涡阳、利辛、蒙城等地。界首渔鼓以演唱为主,夹白为辅,因界首地形南北狭长,又分为南称“高音渔鼓”北称“低音渔鼓”。所持乐器为打击器,即渔鼓简子和简板,所演唱曲目多为传统书目,唱腔高亢嘹亮,委婉动听,被誉为颖河流域的“活化石”,具有重要的文化艺术研究价值。

环境问题及保护
环境问题
水污染
颍河流域浅层地下水NO3离子平均含量(以N计)从20世纪60—80年代的1.53毫克/升增加到2015年的19.02毫克/升,31.4%的地下水NO3离子浓度(以N计)大于10毫克/升,农业面源污染是造成颍河流域浅层地下水硝酸盐污染的主要原因。此外,颍河流域重金属污染更为严重,颍河流域40个样点的水样和表层底泥的样品检测结果表面,颍河流域水体中Hg和Mn两种重金属超标率分别为17.5%和5.0%,Hg和Cd的超标率高达90%和97%,污染源主要为金属矿山冶炼、塑料电池、电子工业等行业的废水排放。
洪水
颖河、贾鲁河是历史上的黄泛故道,淤塞严重,泄水不畅;沙河洪水来量大,河道多险工,故沙额河流城是河南省中部最大的水灾多发区。
保护措施
水治理
2011年后,颍河流域阜阳市堤防加固259.7千米;穿堤涵闸66座(新建7座,重建31座,维修加固28座);新建泵站12座;新建耿楼枢纽,维修加固阜阳枢纽和颍上枢纽;拆迁房屋47.6万平方米,划分颍河西区、颍河东区和泉河北区三个保护区,截至2022年实施沟塘清淤822处、生态护坡36.31万平方米、配套桥涵工程1487座,建设安全防护网和安全防护栏62.7千米、一体三格式沉淀池25093处等。
洪水治理
1949年后,河南省对沙颖河进行了分期、分段的持续治理,山丘区大搞水土保持,兴建水库;中游开辟滞洪区;对河道中、下游进行疏浚、培堤,扩大排水能力,并修建了许多大、中型拦河枢纽,蓄水灌溉。1951年—1955年,颍河上游禹州市境内兴建白沙水库,总库容1.88亿立方米,之后在1958年,于沙河上游鲁山县、平顶山市境内兴建昭平台、白龟山水库,1958一1960年,于叶县与方城交界处兴建孤石滩水库,此外,沙河段也于1966一1995年修建了马湾、周2座大型拦河闸和源河橡胶坝;颗河在1974—1991年相继修建了禹州橡胶坝和化行、颖河、黄桥、逍遥、槐店5座大型水库,1975年修建北汝河大陈闸和贾鲁河周口闸。
风景名胜
颖河两岸旅游资源和古文化遗产丰富。主要有佛教圣地少林寺、法王寺、嵩岳寺,中岳庙,嵩阳书院,观星台、灞陵桥、禹州大鸿寨、云梦山、明清苑等名胜风景区。
人文景观
少林寺
少林寺位于登封市区西12千米处,中国首批AAAAA级旅游景区,世界文化遗产,是禅宗祖庭和少林功夫发源地。少林寺至今已有1500多年的历史,有“禅宗祖庭,功夫圣地”“天下第一名刹”之称。少林寺建于北魏太和十九年(公元495年),是北魏孝文帝为印度僧人跋陀而建,因寺院建于少室山密林深处,遂命名为“少林寺”。1983年,国务院确定少林寺为全国重点佛教寺院。寺内主要有锤谱堂、天王殿、钟鼓楼、李世民碑、六祖堂、藏经阁、千佛殿、观音殿等建筑。

法王寺
法王寺位于登封市区北3千米处,有“嵩山第一胜地”之美誉。寺院建于东汉明帝永平十四年(公元71年),是中国最早的佛教寺院。寺院藏经阁供奉的释迦牟尼卧佛玉雕,长11米,重18吨,为1996年缅甸弟子捐赠。寺院后的隋朝舍利塔、唐塔及元朝的月庵海公塔,造型别致,风格独特,在学术研究和建筑艺术上都有很高的价值,全国重点文物保护单位。

嵩岳寺
嵩岳寺位于登封市区西北6千米嵩山南麓嵩岳寺院内,为北魏时期佛塔。该塔始建于北魏宣武帝永平二年(公元509年),为15层的密檐式砖塔,平面呈十二边形,通高37.045米,由基台、塔身、15层叠涩砖檐和塔刹组成。塔身分上、下两部分。嵩岳寺塔是中国现存最早的砖塔,反映了中外建筑文化交流融合创新的历程,在结构、造型等方面具有很大价值,对后世砖塔建筑有着巨大影响,是中国第一批全国重点文物保护单位,世界文化遗产。

中岳庙
中岳庙位于登封市区东太室山南麓,南距太室阙600米。中岳庙中轴线长650米,共有7进11层建筑,依山势而建,自南向北,渐次升高,前后高差37米。庙中有殿、宫、楼、阁、亭、廊等建筑39座近400间,庙内有古代碑刻73品,汉代至金代古柏330多棵。中岳庙始建于秦,北魏太室祠祠址迁移后,定名为中岳庙,中岳庙是五岳中现存最大的历史建筑群,更是清代官式建筑的代表,有“道教第六小洞天”之称。

嵩阳书院
嵩阳书院位于河南省登封市,始建于北魏孝文帝太和八年(公元484年),距今已有1500多年的历史,书院因地处中岳嵩山之阳而得名,嵩阳书院占地面积9984平方米,为中轴建筑,共分五进院落,由南向北,依次为大门,先圣殿,讲堂,道统祠和藏书楼,中轴线两侧配房相连,保存清代建筑26座108间。嵩阳书院是中国古代高等学府,宋代程朱理学的发源地之一。嵩阳书院与江西庐山白鹿洞书院、湖南长沙岳麓书院、河南商丘应天府书院并称中国古代四大书院。

观星台
观星台位于登封市东南12千米,为元代天文学家郭守敬创建,是中国现存最古老的天文台,也是世界上著名的天文科学建筑物之一,全国重点文物保护单位,国家AAAA级级旅游景区,世界文化遗产。主要景观有:周公测影台、观星台、周公庙、阳城遗址陈列馆等。

灞陵桥
灞陵桥景区位于河南省许昌市,又名关公辞曹处,国家AAAA级旅游景区,景区由三国胜迹灞陵桥(又名八里桥)、国保单位关帝庙及古典园林建筑组成,占地162亩,景区环境优美,文化底蕴丰厚,是《中国文物古迹游》三国战略旅游线上的著名景区。

禹州钧官窑址博物馆
中国禹州钧官窑址博物馆是在国家级重点文物保护单位—宋钧官窑遗址保护区内,以北宋钧官窑遗址为核心创建的遗址类钧瓷专题博物馆。北宋钧官窑,是北宋徽宗时期(公元1101—1125年)专门为皇家烧造宫廷用品的官办窑场,是钧瓷艺术鼎盛时期的瑰丽宝库,已有九百多年的历史。钧官窑遗址于1964年被发现,1974年对该遗址进行了发掘保护,1988年被国务院公布为国家级重点文物保护单位。1991年,在宋钧官窑遗址保护区内成立“中国禹州钧官窑址博物馆”。2008年,扩建禹州钧官窑址博物馆,扩建后的博物馆总面积达47000平方米,由主体展馆、宋钧官窑遗址展示馆和钧瓷工程技术研发中心三部分组成,是中国唯—座钧瓷专题博物馆,国家AAAA级旅游景区。

明清苑
明清苑位于安徽省颍上县城东滨河公园旁,是一座明清古建筑群。占地38亩,总面积为13000平方米,是皖北地区形制完整、规模最大的古建筑群,国家AAAA级旅游景区,明清苑四进院落布局,总共十三院落、八大外院、五大内院,“五宅一庙一戏台”七个单体建筑,房间一百二十余间。

自然景观
禹州大鸿寨
大鸿寨风景区位于禹州市西北边陲鸠山乡境内,景区面积36平方千米,以涌泉河流为界,自然分成南北两大区域。主峰大鸿寨高1156米,号称“许昌屋脊”,景区内有奇特的大溶洞,长1200米。洞内(百米内)可见石钟乳、石笋、石幔、石帘等典型的岩溶景观,被誉为“江北第一洞”。景区内有摘星楼、水帘洞、闯王峡、过风口、一线天、坷垃垛、卧佛山、蜘蛛山、梨辕山、兰花山、玛瑙山、白龙潭、黑龙潭、千年银杏树、鸠山大学遗址、大弘法寺、樊梨华台等60余处景点。是国家AAAA级旅游景区,全国十佳生态文明景区。

云梦山
河南鹤壁淇县云梦山,又名青岩山,在淇县西南15千米。属太行山脉,主峰海拔577米,战国时期纵横家鼻祖鬼谷子曾在云梦山水隐居聚众讲学,云梦山由主景区战国古军庠、上圣古庙及云梦五里鬼谷大峡谷游览区、云梦大草原游览区三部分组成,面积约26平方公千米,主要景观有纪念性建筑鬼谷祠、舍身台、映瑞门、水帘洞、仙牛洞、孙膑洞、庞涓洞等100余处。

相关文化
典故
大禹治水
相传,大禹的父亲鲧治水九年,劳而无功。大禹继任后,改“堵”为“疏”开始治理河水。相传,蛟龙藏于颍河,大禹率领人马围困蛟龙,想以大火将其制服。然而就在准备点火时,大禹的外甥庚辰一不小心放跑了蛟龙,大禹顺着颍河一路追到禹州。狡猾的蛟龙化身为孤儿,被一对老夫妇收养。大禹识破其变化后,用面条变成的百丈绳索将蛟龙套住,并投放到了钧台井里。眼看蛟龙被困,小蛟龙为父寻仇,再次在颍河兴风作浪,大禹再次出手打败了小蛟龙。小蛟龙仓皇向东逃命,禹母娘娘抛下一口铁锅将其罩住。追上来的大禹将小蛟龙困于枯井内,并用大铁锅盖住井口,使其再也无法出来祸害人间。禹王锁蛟的传说故事至今人们口口相传。
颍河漕运
颍河漕运相传有一个有关清廉为官的故事,清朝光绪二十八年(公元1902年),侵略者妄图掠夺禹州三峰山煤炭,时任禹州知州的曹广权不惧洋人,向清政府备案“三峰山矿禹人已先开矣”,一举挫败洋人阴谋。随后,为了煤炭外运,他亲自主持创办开采机构,令颍河沿岸居民疏浚河道、加深河槽、筑堤固滩,并改建颍河桥梁,开办水上航运,使沿河得以行船载运煤炭和各种商货。此外,曹广权兴办教育,不拘一格招收社会各阶层学生,改四书五经为天算、格致。他还重修张良洞,并改建成颍滨经舍,聚集了大量禹州名流贤达,名震一时。
文化
龙山文化
河南龙山文化是黄河中游地区的新石器时代晚期文化,包括分布在河南省境内的多处龙山文化遗存,年代为公元前2600年—前2000年,大致与古文献中的尧、舜、禹时期相对应。龙山文化以精美的黑陶为主要特征,曾被称为“黑陶文化”,龙山文化时开始使用铜器,极大推动了古代社会生产力的发展,同时龙山文化时期发明了水井开凿技术,为人们远离河流谷地向内陆地区发展提供了可能。

管仲文化
安徽省阜阳市颍上县文化积淀丰厚,春秋时期的管仲、鲍叔牙,战国时期的甘茂、甘罗,当代著名学者常任侠,作家戴厚英,两院院士陈国良、郑守仁等都是颍上的杰出代表,管子的治国思想历经数千年,仍被后人世代沿袭。
文学作品
影视
1993年,都晓执导的电视剧《颍河故事》开始播出,该剧讲述了颖水边上画匠王村人离乡的苦难和还乡的艰辛与喜悦的故事,该剧由杨静、刘冠军、红花等主演。2020年,电影《抗日佐罗》、电视剧《我的士兵兄弟》在颍州西湖影视拍摄基地开拍。
诗词
张必达的《撷芳亭》中写道:“撷芳亭上启南窗,照眼芙蓉似锦江;漫赋罗裙裁五色,颍河不唱采莲腔。”
马建华的《秋色横空—颍畔秋吟》中写道:“登阁依棂。看渔舟唱晚,鹭掠烟汀。疏篱菊绽香盈岸,炊烟袅袅升腾。明亭秀,曲水清。柳影乱、舟船津渡横。毓秀钟灵福地,美醉阳城。
闲步翠堤唤朋。恰枫林霜染,旅雁南征。颍河碧透鱼翔跃,津畔柿熟红盈。枝头耀,鹊鸟鸣。展望眼、残阳铺水层。揽胜发幽思,拈韵抒情。”
重要事件
花园口掘堤
1938年6月1日,兰封会战结束,日军进占兰封与开封。若日军继续前进拿下郑州并沿平汉路南下则国民革命军将无险可守,日军只需7到12天就能拿下武汉,国民政府军事委员会不得不执行陈果夫与白崇禧提出的黄河决堤。
1938年6月6日,国民党新八师在河南郑县花园口开始掘堤,至9日凌晨用炸药炸开,次日上午9时决口过水,口门迅速冲大,黄泛水一般沿贾鲁河经中牟、开封、尉氏、扶沟、淮阳、周口入颍河,至安徽阜阳由正阳关入淮;另一股自中牟顺涡河经通许、太康至安徽亳县由淮远入淮。
河南、安徽、江苏三省44县市受灾。在八年泛滥中,因黄灾出外逃亡的390万人,死亡89万人。这次人为大水灾,河南首当其冲,有20个县受灾,675万亩耕地被淹,逃亡117万人,死亡32万余人。决堤后日军预期的进攻路线被打破,形成黄泛区这一巨大地障让武汉战役被向后推迟了大约三个月,因此为国民政府赢得了更长的战争准备时间。
颍河阻击战
1948年11月,国民党第十二兵团黄维兵团接到命令,增援被解放军围困在邳州碾庄的黄百韬兵团。14日下午,黄维兵团的先头部队抵达阜阳,在三里湾组织抢渡,大战一触即发。
1948年11月14日傍晚,解放军到达魏沟口,开始修整,15日上午9点钟,黄维兵团的先期部队到达颍河南岸,一边向河北岸炮火掩护,一边用抢来的船只、门板、树木等搭建浮桥。坚守在魏沟口的12名战士不畏强敌,奋勇阻击,连续作战10个多小时,5次摧毁了敌人搭建的浮桥,拖延了敌人北上的时间,15日下午,黄维兵团主力部队赶到,张绍民、马思营等12名战士猝不及防、壮烈牺牲。
颍河阻击战是淮海战役的重要组成部分,这一战成功拖延了敌方兵团,为淮海战役的胜利赢得了宝贵时间,在中国共产党的历史上留下了不可或缺的一页。
注释
[a]水资源负载指数是反映水资源利用程度与开发潜力的常用指标在水资源合理开发、生态环境质量评 价、水资源可持续性评价、水资源开发利用潜力评价等方面得到广泛应用