尼古丁(Nicotine)又称烟碱或烟精,是一种吡啶类生物碱,呈无色油状,有焦灼味,分子式为C10H14N2,具有手性,所以有两个光学异构体,(S)-烟碱比(R)-烟碱的生理活性更强。主要存在于茄科植物(如土豆、番茄、绿胡椒以及烟草)中,在烟草植株里,烟叶内尼古丁含量可占2%~8%,根中含量次之,茎的含量最低。
本页面主要目录有关于尼古丁的:来源、发现历史、应用领域、药理作用、尼古丁依赖、药代动力学、毒性、理化性质、制备方法、安全事宜、相关法规等介绍
尼古丁(Nicotine)又称烟碱或烟精,是一种吡啶类生物碱,呈无色油状,有焦灼味,分子式为C10H14N2,具有手性,所以有两个光学异构体,(S)-烟碱比(R)-烟碱的生理活性更强。主要存在于茄科植物(如土豆、番茄、绿胡椒以及烟草)中,在烟草植株里,烟叶内尼古丁含量可占2%~8%,根中含量次之,茎的含量最低。
本页面主要目录有关于尼古丁的:来源、发现历史、应用领域、药理作用、尼古丁依赖、药代动力学、毒性、理化性质、制备方法、安全事宜、相关法规等介绍
尼古丁
Nicotine
烟碱、1-甲基-2-(3-吡啶基)吡咯烷
ní gǔ dīng
54-11-5
C10H14N2
尼古丁结构式
162.23g/mol
无色油状液态物质
焦灼味
1.01g/ml
-80℃
247℃
60℃以下与水混溶形成水合物,可溶于乙醇、三氯甲烷、乙醚和油类,能迅速溶于大多有机溶剂,也可溶于强碱溶液
5.65Pa(25℃)
4-1-0
0.75%~4.0%
烟草中主要的致依赖性成分和毒性成分就是尼古丁,成人致死量为50~70mg,能促进多巴胺的释放,长期吸食可成瘾,属N胆碱受体激动药,能激动N1和N2受体,作用于神经节、肾上腺髓质、骨骼肌以及中枢神经系统等,对神经节和骨骼肌具有小剂量激动,大剂量阻断的双相作用。
日常生活中,人们常用含尼古丁的烟草制品进行娱乐消遣,尼古丁能增加卷烟的香味和劲头,增强口感。同时,尼古丁在医学上可以用于戒烟,其能减轻尼古丁依赖性吸烟者的成瘾行为和戒断症状。另外,在农业方面,其因对害虫有触杀、胃毒、熏蒸和杀卵的作用,曾被用作广谱杀虫剂。

尼古丁主要来源于茄科植物,如土豆、番茄、绿胡椒以及烟草,也可人工合成。含尼古丁的烟草主要品种有烟草(Nicotine tabacum)和黄花烟草(Nicotina rustica),尼古丁是烟草体内的次生代谢产物 ,主要在烟草根部合成,合成最旺盛的部位是新生细根,能通过木质部运输到烟株的地上部分。烟叶中的尼古丁含量最高,占2%~8%,平均占4%,根中含量次之,茎的含量最低,烟梗中含量为5%~7%。尼古丁的生物合成和累积与遗传因子、发育因素和环境胁迫的调控有关系。
尼古丁在土豆的皮和肉中的含量分别为4.8ng/g和15ng/g,在菜花中含量为16ng/g或4ng/g,茄子中含量为100ng/g,未成熟西红柿中的尼古丁含量较成熟的高。
1492年哥伦布在圣萨尔瓦多登陆时,烟草就已经传播到整个美洲大陆和附近的岛屿,1558年葡萄牙水手高斯第一次把烟草种子从美洲带到葡萄牙,并种植在首都里斯本。1559年西班牙进行了引种,1560年法国驻葡萄牙大使尼科特(Jean·Nicot)将烟草种子带回法国巴黎,并宣传其是一种药用植物,后来还将烟草献给皇后卡萨琳,皇后称其为尼可特草。人们将烟草中特有的一种刺激物称为尼古丁(Nicotine),植物分类学家Linnatue在1753年将其作为烟草属的属名(Nicotiana)。此后葡萄牙人于1561年将烟草传入意大利,1565年传入英国,1600年传入德国、瑞士和荷兰,逐渐传遍欧洲。
早在1690年,欧洲就提到可以用烟草的萃取液喷洒植物,可用来防治梨网蝽,到了18世纪就使用烟草水萃取液或烟草粉作杀虫剂。1763年,法国用烟草和石灰粉防治蚜虫,这是世界上首次报道的杀虫剂。1814年美国纽约州的耶茨(Yates)推荐将烟草作为杀虫剂使用。
1828年,德国医生波塞尔特(Wilhelm Heinrich Posselt)和化学家赖曼(Karl Ludwig Reimann)首次从烟草中分离得到起杀虫作用的尼古丁。1843年,Melsens提出了尼古丁的化学式。1893年,德国科学家平纳(Adolf Pinner)和沃尔芬斯坦(Richard Wolffenstein)确定了尼古丁的结构。1904年德国学者彼特(Pictet A.)和罗奇(Rotschy A.)首次人工合成了尼古丁,该路线以去甲基二烯烟碱(Nornicotyrine)为原料,通过热解后经重排等步骤得到尼古丁。第二次世界大战期间,人工合成的有机农药开始应用于农业生产,而在此期间全世界用于杀虫剂的尼古丁消耗量已超过2500吨。
烟草中的尼古丁是致依赖的物质,2003年5月21日,世界卫生大会批准了第一部国际公共卫生条约—《世界卫生组织烟草控制框架公约》(World Health Organization Framework Convention on Tobacco Control (WHO FCTC)),中国于11月10日正式签署,2005年经全国人民代表大会批准,2006年1月在中国正式生效。该合约生效以来,越来越多的国家开始控烟行动,2007-2017年全球15岁以上人群吸烟率已经降至19.2%。
戒烟失败的主要原因就是会产生尼古丁戒断症状,2008年5月,美国公共卫生署颁布了有关烟草使用和依赖治疗的临床实践指南。其中一线临床戒烟用药中包括尼古丁咀嚼胶、尼古丁吸入剂、尼古丁口含片、尼古丁鼻喷剂、尼古丁贴剂、酒石酸伐尼克兰片和盐酸安非他酮,后两种为非尼古丁戒烟药,其他为尼古丁替代疗法(NRT)的戒烟药,尼古丁替代疗法类药物通过向人体释放尼古丁,代替或部分代替吸烟者通过吸烟获得的尼古丁,从而减轻或消除戒断症状。中国已被批准使用的非处方戒烟药物有尼古丁贴片、尼古丁咀嚼胶,处方药有酒石酸伐尼克兰片及盐酸安非他酮。
2019年5月,中国疾病预防控制中心发布了2018年度的中国成人烟草调查结果,结果显示2018年中国15岁及以上人群吸烟率为26.6%,其中男性为50.5%,女性为2.1%,农村为28.9%,城市为25.1%。中国吸烟人数已经超过3亿,每年有100多万人因烟草失去生命,预计到2030年将增至每年200万人,到2050年增至每年300万人。
根据尼古丁自身的生理活性 ,可合成含有尼古丁结构单元的医药制品,其制成的药物可治疗皮肤病、心血管病、蛇虫咬伤等。主要医疗用途是治疗尼古丁依赖,用来辅助戒烟疗程不宜超过3个月,可减轻尼古丁依赖性吸烟者的成瘾行为和戒断症状,戒烟成功率显著增加,远期疗效则取决于患者的毅力和是否接受了心理支持治疗,尼古丁咀嚼胶、尼古丁吸入剂、尼古丁口含片、尼古丁鼻喷剂和尼古丁贴剂是常用的临床戒烟用药。
尼古丁有神经元保护作用,可改善动物的学习和记忆能力,对阿尔茨海默病有一定的作用,还可改善帕金森病震颤、僵直及运动迟缓的症状,对溃疡性结肠炎,口疮溃疡、图雷特综合征、注意力缺失、抑郁、焦虑障碍和精神病等也有一定作用。
尼古丁对植物组织有渗透作用,无内吸性且速效,因其易挥发所以效期短,在空气和光照下易分解,所以基本无残留问题,对作物较安全,可用来防治害虫,对人畜为中等毒性。属高毒杀虫剂,对害虫主要起触杀作用,并有胃毒作用和熏蒸作用,以及一定的杀卵作用。
尼古丁制剂是典型的神经毒剂,杀虫机制是通过作用于神经系统的乙酰胆碱受体来麻痹神经。其蒸气可从虫体任何部位侵入体内而发挥毒杀作用,杀虫谱广,对鳞翅目、半翅目、缨翅目、双翅目等多种害虫有效,对蚜虫有特效,还可防治黄条跳甲、稻螟、稻飞虱、蝽象、蓟马和稻田蚂蝗等。除其本身能作农药外,与硫酸反应得到硫酸烟碱也是一种广泛使用的杀虫剂,在尼古丁结构基础上衍生而来的烟碱类杀虫剂吡虫啉,具有高效低毒的作用。还可做除草剂和作物生长调节剂的复配组分。
烟草制品常被用作日常的娱乐消遣而广泛使用,包括卷烟(香烟)、雪茄、水烟、电子烟、鼻烟、烟斗与烟斗丝等产品。人们通过吸烟改变情绪减少焦虑,但其中含有尼古丁所以极易上瘾,尼古丁还可作为烟用香精增加卷烟的香味和劲头,增强口感,提高香烟等级,添加在烟草组合配方中能减少上等烟叶的用量,在降低卷烟成本的情况下对品质无影响。
尼古丁是烟酸及其衍生物如烟酰胺、烟肌酸、烟酸己可碱、烟酸生育酚等化工产品的主要原料。
尼古丁作用于脑神经细胞的N-乙酰胆碱受体,使阳离子内流进入细胞并诱导神经细胞兴奋性增加,对中枢神经系统的作用是先兴奋后抑制,少量时有兴奋作用,使人血压升高,呼吸增强,大量时则起抑制作用,使人呼吸停止,心脏停搏,出现恶心、头痛、呕吐等症状,严重时可使心搏骤停以致死亡。通过直接诱导多巴胺(DA)的释放或间接刺激乙酰胆碱受体、谷氨酸受体,抑制γ-氨基丁酸(GABA)能神经元使人产生愉悦感,但随着尼古丁含量的降低欣快感也会降低;尼古丁同样作用于中脑边缘系统,产生正性强化效应,从而导致精神成瘾;在外周,尼古丁受体分布在肌肉和自主神经末稍上,作用于交感和副交感神经系统,使血压升高,心率加快;小剂量兴奋肾上腺髓质,使肾上腺素释放增多,进而刺激颈动脉体及主动脉的化学感受器,反射性引起呼吸兴奋、血压升高,大剂量则使自主神经节细胞先兴奋后抑制。还可促进胃肠蠕动、消化液分泌并使骨骼肌松弛。
尼古丁作用于中枢神经系统,促使兴奋性神经递质多巴胺的释放,使机体产生放松感和幸福感,并形成依赖成瘾,尼古丁依赖已经作为一种疾病被列入国际疾病分类,依赖程度可根据吸烟量、戒断症状严重程度和临床评定量表得分进行评定。临床表现为躯体依赖和身体依赖两个方面,躯体依赖表现为耐受性增加和戒断症状,即随着烟龄的增加其吸烟量会逐渐增多,戒断症状为停药后会出现烦躁不安、易怒、焦虑、情绪低落、注意力不集中、失眠、心率降低、食欲增加等症状,这些症状在停用烟草后的前14天内最强烈,约1个月后减弱,最长持续1年以上。精神依赖表现为对药物的强烈渴求,用药后可满足心理需求,有欣快感和松弛宁静感,停药后则感觉到痛苦和折磨,只能继续服药,甚至强迫性地、连续或定期使用该药物。
尼古丁可通过皮肤和黏膜迅速吸收后广泛分布在机体组织内,分布容积接近180L,能透过血-脑屏障和胎盘,也可分泌至乳汁中,血浆蛋白结合率低于5%,血浆总清除率为0.92~2.43L/min。主要通过肝脏代谢为无药理活性的可替宁和可替宁-1'-N-氧化物,半衰期(t1/2)约为2h,血浆清除率为0.92~2.43L/min。少量(5%~10%)尼古丁以原型经肾脏排出,排出量呈pH依赖性,碱性条件下则忽略不计,蓄积作用非常轻微。
动物毒性
尼古丁对水生生物有极高毒性,对鱼类为中等毒性,对家蚕高毒。大鼠经口的半数致死量(LD50)为50~60mg/kg,经皮LD50为140mg/kg,小鼠经口LD50为24mg/kg,狗经口LD50为9.2mg/kg,家兔经皮LD50为50mg/kg;对眼睛和皮肤有刺激作用,高剂量具有致畸作用,如腹膜内注射硫酸烟碱1.67mg/(kg·d)会影响鼠和鸡的骨骼形成,使小鼠生长迟缓,增高上腭裂的发病率;受孕大鼠皮下注射尼古丁,随着剂量的增大生殖能力下降,母鼠死亡率提高,活胎仔数量减少,胎仔体重和母鼠增重下降,分娩时间也会明显推迟;致突变试验显示,细菌回复突变试验阴性,染色体畸变数和姐妹染色单体交换频率增高,DNA合成受到抑制,未见致癌性。
人体毒性
尼古丁会刺激眼睛和皮肤,对心血管系统和中枢神经系统也有影响,可导致惊厥和呼吸衰竭,接触超过职业接触限值时可能导致死亡,长期或反复接触可能有生殖毒性。患绿色烟碱病,烟碱贴片戒毒失当、烟碱制品自杀、食用受烟碱污染的食品等可引起急性中毒。
尼古丁与乙酰胆碱的结构相似,两个氮离子距离很近,可与中枢神经系统、周围自主神经节和骨骼肌的神经突触后膜的乙酰胆碱受体相结合,使乙酰胆碱蓄积产生过度的刺激,起初会引起兴奋,随后导致抑制和麻醉作用,产生中毒反应,几分钟到1小时内会因肌肉麻痹而死亡,还有促进肾上腺的作用。
轻症时表现为头痛、眩晕、恶心、流诞;较重时出现呕吐、腹泻、频脉、血压上升、出冷汗等症状;中毒更重时会发生呼吸困难,不整脉、口腔、咽、胃部等灼热感、意识模糊、肌肉挛缩、间歇性强直性痉挛,瞳孔缩小,陷于虚脱状态,呼吸麻痹,于5分钟至2小时内死亡,较特殊的表现是面色苍白、虚弱、行走困难、怕冷及心前区疼痛。
口服中毒者可采取鞣酸溶液或过氧化氢洗胃,硫酸镁导泻的方法进行急救;皮肤接触中毒的患者应及时清洗皮肤;呼吸道吸入导致中毒的患者要立即远离接触环境,到通风处呼吸新鲜空气或氧气。中毒发展到麻痹期会导致呼吸衰竭,需要立刻使用人工呼吸机械做人工呼吸通气,不宜给呼吸兴奋剂。可用阿托品皮下注射,必要时增加1~2次,并给予保护心肌的药物,心绞痛者可用常规剂量的硝酸酯类药物,心脏骤停者立刻进行心肺复苏。可输液促进毒物从肾排出。注意监测水、电解质和酸碱平衡,增加支持治疗。
尼古丁的化学名为(S)-3-(1-甲基吡咯-2-基)-吡啶或者(S)-N-甲基-2[β]-吡啶基四氢吡咯,分子式为C10H14N2,分子量162.23,密度1.01g/ml,沸点247℃;尼古丁是无色油状液态物质,有焦灼味,熔点-80℃,蒸气压5.65Pa(25℃),60℃以下与水混溶形成水合物,可溶于乙醇、三氯甲烷、乙醚和油类,能迅速溶于大多有机溶剂,也可溶于强碱溶液,具挥发性和吸湿性。游离态的尼古丁燃点低于准点,空气中低蒸气压时,其气体达35℃(即308K或95°F)就会燃烧。自燃点243.89℃,爆炸极限0.75%~4.0%。尼古丁具有手性,有(S)-烟碱和(R)-烟碱两个光学异构体,天然的烟碱为(S)-烟碱,比(R)-烟碱生理活性更强。
碱性及成盐作用
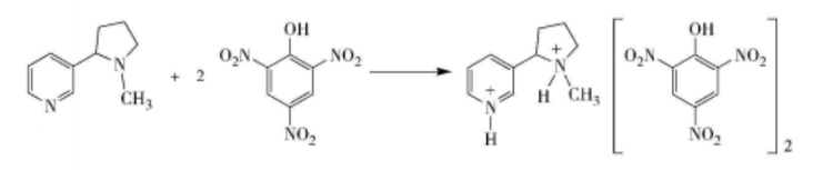
尼古丁在结构上属于叔胺类有机物,吡啶环和氢化吡咯环均呈碱性,环中的氮原子可被质子化,能与多种无机酸和有机酸反应成盐生成结合态尼古丁,易溶于水和有机溶剂,碱性条件下会再次分解为游离态,游离态的碱性大于结合态且易挥发。与生物碱沉淀剂如苦味酸、碘液、碘化汞钾溶液等可发生沉淀反应,有成盐反应,也可能生成分子复合物。

氧化反应
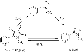
尼古丁在光和空气中颜色会很快变深和发黏,因其遇空气或紫外光会氧化成烟酸、氧化烟碱、烟碱烯、甲胺等,变成暗褐色并发出恶臭。在浓硝酸、高锰酸钾等强氧化剂作用下则转变为烟酸,反应式如下:

缓和条件下,烟碱可变成二烯烟碱,制成碘化物后氢化又可生成烟碱,反应式如下:

尼古丁的吡啶环是由甘油糖和天冬氨酸合成的烟酸生成的,吡咯烷环是由鸟氨酸脱羧成为腐胺,甲基化后成为N-甲基腐胺,再脱除氨基,以N-甲基-吡咯啉阳离子的形式取代烟酸中的羰基与吡啶环结合生成的。

对映选择性合成
Chavdarian于1982年首次报道了光学活性尼古丁的合成。以L-脯氨酸为原料,转化为氨基醇,用氯化亚砜处理得到氯化物,进一步得到氰化物,然后同二异丙基氨基锂(LDA)和3-乙氧基丙烯醛反应,生成的产物与HBr/HOAc的混合物发生成环反应,加氢后得到尼古丁,但对映体过量值(ee)仅有24%,反应式如下。

烟草生物碱的对映选择性合成
3-吡啶甲醛与B-烯丙基二异松莰酮苯基硼烷发生烯丙基化反应,生成高光学纯度的高烯丙醇,经一步立体化学转化得到手性叠氮化物,经分子内硼氢化-环加成反应形成吡咯环,生成的(R)-降烟通过中间产物N-乙基氨基甲酸酯的生成和还原反应发生甲基化生成(R)-烟碱,反应式如下。

(R)-和(S)-烟碱的对映选择性合成
通过不对称Ir催化丙烯基氨基化和关环转换反应合成烟碱对映体的合成方法。即采用催化加氢,去氢烟碱的二亚胺还原,LAH(氢化铝锂)还原得到对映异构纯的(S)-烟碱,避免了外消旋作用,也可通过改变手性配体来制备(R)-烟碱,反应式如下。

|
|
GHS | 危险说明 | 危险等级 |
H300 | 吞咽致命 | 急性毒性,口服 |
H301 | 吞咽有毒 | 急性毒性,口服 |
H310 | 与皮肤接触致死 | 急性毒性,皮肤 |
H330 | 吸入致命 | 急性毒性,吸入 |
爆炸:尼古丁的温度高于95℃会形成爆炸性的蒸气或空气混合物,所以当温度高于95℃时应使用密闭系统,并注意通风。
皮 肤:尼古丁可经皮肤吸收,有发红和灼烧感,需要佩戴防护手套和防护服,不小心接触后需要脱去污染的衣服,并用水和肥皂冲洗皮肤然后给予医疗护理。
接触:避免产生烟云减少接触,孕妇不可接触,误触后及时咨询并就医。
吸入:注意排气通风和呼吸防护 ,误吸后需要立刻呼吸新鲜空气,适当休息并给予医疗护理。
眼睛:眼睛接触后会疼痛并发红,所以需要佩戴护目镜,面罩或对眼睛和呼吸进行结合防护,眼睛接触后应用大量水冲洗(需要摘除隐形眼镜)并及时就医。
食入:工作时不得进食、饮水或吸烟,进食前要洗手,误食后用水冲服活性炭浆并给予医疗护理。
液体泄露时应立即疏散泄漏污染区的人员至安全区,禁止无关人员进入,应急处理人员佩戴自给正压式呼吸器,穿化学防护服,不可直接接触泄漏物,确保安全情况下进行堵漏,大量泄漏时可利用围堤收容。不能直接冲入下水道,可收集在密闭容器中。也可喷雾状水减少蒸发,用沙土或其他不燃性吸附剂混合吸收后收集运至废物处理场所处置。经大量水冲洗稀释后的洗水需放入废水系统。
消防人员须佩戴过滤式防毒面具(全面罩)或隔离式呼吸器、穿全身防火防毒服在上风向处灭火,灭火剂可采用雾状水、泡沫、抗溶性泡沫、二氧化碳、干粉和沙土。尽量将着火容器移至空旷处并不断喷水使容器冷却直至灭火结束。如火场中的容器已变色或安全泄压装置有声音产生,必须立刻撤离。
尼古丁要放置在阴凉、通风和干燥的库房,远离火种和热源,与食品、饲料和强氧化剂分开存放,并配备相应品种和数量的消防器材,还应备有泄漏应急处理设备和合适的收容材料。灭火后产生的废水要进行收集和处理,严格执行极毒物品“五双”管理制度。
2014年1月1日,美国环境保护署开始禁止尼古丁杀虫剂进行商业销售。
2019年12月10日,美国联邦规定吸烟的最低年龄为21岁,禁止向21岁以下的任何人销售任何烟草产品,包括卷烟、无烟烟草、水烟烟草、雪茄、烟丝、电子尼古丁输送系统(包括电子烟和电子液体)。
美国职业安全与健康管理局(OSHA) 制定的工作场所内尼古丁允许暴露限值(PEL)是每天8小时工作日内皮肤暴露量为0.5mg/m美国国家职业安全与健康研究所(NIOSH) 设定的尼古丁建议暴露限值(REL)为8小时工作日内皮肤暴露为0.5mg/m。当环境浓度达到5mg/m时,尼古丁就会危害生命和健康。
在欧盟,电子烟归于2014/40/EU“烟草产品指令”的管辖范围,但从2016年起,电子烟及相关产品将接受烟草产品指令Tobacco Product Directive(TPD)中的第20章(article 20)的规定。其中对尼古丁的相关要求有:1.含有尼古丁的烟油中,尼古丁含量不得超过20mg/mL;2. 在正常使用条件下,电子烟的尼古丁释放量应维持在稳定水平。3.含有尼古丁的烟油仅在专业的填充器内投放市场,且填充容器的体积不超过10mL,在一次性电子烟或单次使用的烟弹中,烟弹或贮液器的体积不得超过2mL。
2023年7月26日,欧盟官方公报发布(EU)2023/1536号条例,对部分食品中尼古丁(nicotine)的最大残留限量进行修订,其中茶叶中最大残留限量由0.6mg/kg修改为0.5mg/kg;籽类和果实类香料中最大残留限量由*0.05mg/kg修改为*0.02mg/kg;肉桂中最大残留限量由0.2mg/kg修改为0.07mg/kg。
自事口草又名鹿蹄草、小回回蒜、假芹菜、千里光,自灸草、野芹菜、点草。其为毛茛科植物禺毛茛的全草。禺毛茛多年生草本。须根多数,白色。茎直立,高0.3~1米,分枝圆柱形,中空。







