简介
维生素A剂型较多,主要为软胶囊、丸剂、滴剂等,其不良反应包括急性中毒和慢性中毒,急性中毒表现为异常激动或骚动、头晕、嗜睡、复视、严重头痛等,而慢性中毒表现为共济失调、脱发、高脂血症、肝毒性等;维生素A过多症时禁用。妊娠期对维生素A需要量略增多,但不宜大量摄入;此外,大剂量或长期服用维生素A可能引起齿龈出血,唇干裂。
维生素A已纳入医保,其中维生素A软胶囊、维生素A棕榈酸酯眼用凝胶、维生素AD滴剂和维生素AE胶丸为医保乙类。中华人民共和国国家卫生健康委员会提出,成年男性的维生素A的适宜摄入量为800μgRAE/d,成年女性为700μgRAE/d。
一般性质
维生素A(vitamin A)是由1分子β-白芷酮环和2分子异戊二烯构成的不饱和一元醇。一般所说的天然维生素A指A1(视黄醇,retinol),主要存在于哺乳类动物和咸水鱼肝中。维生素A2(3-脱氢视黄醇)则存在于淡水鱼肝中。
动物性食品,如肝、肉类、蛋黄、乳制品、鱼肝油等都是维生素 A 的丰富来源。食物中的维生素A主要以酯的形式存在,在小肠内受酯酶的作用而水解,生成视黄醇进入小肠黏膜上皮细胞后又重新被酯化,并掺入乳糜微粒,通过淋巴转运。乳糜微粒中的视黄醇酯可被肝细胞和其他组织摄取,在肝细胞中被水解为游离视黄醇。在血液中,视黄醇与视黄醇结合蛋白(retinol binding protein,RBP)相结合,后者再结合甲状腺素视黄质运载蛋白(transthyretin,TTR),形成视黄醇-RBP-TTR 复合体。在细胞内,视黄醇与细胞视黄醇结合蛋白(cellular retinal binding protein,CRBP)结合。肝细胞内过多的视黄醇则转移到肝内星状细胞,以视黄醇酯的形式储存。
植物中无维生素A,但含有被称为维生素 A 原(provitamin A)的多种胡萝卜素(carotene),其中以β-胡萝卜素(β-carotene)最为重要。胡萝卜、红辣椒、菠菜、甘薯、木瓜等均含有丰富的β-胡萝卜素。β-胡萝卜素可在小肠黏膜细胞或肝中被加双氧酶分解生成2分子全反式视黄醇。由于小肠黏膜对β-胡萝卜素的分解和吸收能力较低,每分解6分子β-胡萝卜素仅获得1分子视黄醇,即β-胡萝卜素转化为维生素A的转化当量仅为1/6。
生物学功能
在细胞内,一些依赖NADH的醇脱氢酶催化视黄醇和视黄醛(retinal)之间的可逆反应。视黄醛在视黄醛脱氢酶的催化下又不可逆的氧化生成视黄酸(retinoic acid)。视黄醇、视黄醛和视黄酸是维生素A的活性形式。
人视网膜的光受体细胞分为锥状细胞和杆状细胞。锥状细胞是感受亮光和产生色觉的细胞,杆状细胞是感受弱光或暗光的细胞。在人视网膜杆状细胞内,全反式视黄醇在异构酶的作用下生成11-顺视黄醇,并进而氧化为11-顺视黄醛。11-顺视黄作为光敏感视蛋白(opsin)的辅基与之结合生成视紫红质(hodopsin)。弱光可使视紫红质中11-顺视黄醛和视蛋白分别发生构型和构象改变,生成含全反式视黄醛的光视紫红质(photorhodopsin)。光视紫红质再经一系列构象变化,生成变视紫红质Ⅱ(metarhodopsin Ⅱ),后者引起视觉神经冲动并随之解离释放全反视黄醛和视蛋白。全反视黄醛经还原生成全反视黄醇,从而完成视循环(visual cycle)。可见视紫红质是暗视觉的基础,人视网膜杆状细胞合成视紫红质时需要维生素A参与,维生素A参与了视觉传导。
维生素A及其代谢中间产物具有广泛的生理学和药理学活性,在人体生长、发育和细胞分化尤其是精子生成、黄体酮前体形成、胚胎发育等过程中起着十分重要的调控作用。视黄醇的不可逆氧化产物全反式视黄酸(all-trans retinoic acid,ATRA)和9-顺视黄酸是执行这一重要功能的关键物质,它们与细胞内核受体结合,通过与DNA反应元件的作用,调节某些基因的表达,进而调控细胞的生长、发育和分化。所以,视黄酸对于维持上皮组织的正常形态与生长具有重要的作用。如ATRA可促进上皮细胞生长与分化,参与上皮组织的正常角化过程,可使银屑病角化过度的表皮正常化而用于银屑病的治疗。
维生素A和胡萝卜素是机体一种有效的捕获活性氧的抗氧化剂,具有清除活性氧和防止脂质过氧化的作用。
维生素A及其生物有延缓或阻止癌前病变,拮抗化学致癌剂的作用。维生素A及其衍生物ATRA具有诱导肿瘤细胞分化和凋亡、增加癌细胞对化疗药物的敏感性的作用。动物实验表明摄入维生素A及其衍生物ATRA可导肿瘤细胞的分化和减轻致癌物质的作用。
医学用途
适应证
维生素A为脂溶性维生素,由维生素A醋酸酯结晶与植物油配制成所需浓度的淡黄色油溶液。可用于:
维生素A缺乏的预防与治疗:如角膜软化、眼干燥症、夜盲症、麻疹、皮肤角化过度、皮肤过度增生、动脉粥样硬化等。
维生素A需要量增加时或摄入不足情况:①妊娠期、哺乳期妇女和婴儿;②持续紧张状态;③感染、长期发热;④吸收综合征伴有胰腺功能不良;⑤糖尿病和甲状腺功能亢进症、严重蛋白质营养不良、脂肪吸收不良时,β-胡萝卜素转化为维生素A减少;⑥严格控制或选择饮食,或长时间接受肠道外营养的患者,体重骤降而致营养不良患者、经济欠发达地区人群。
用法与用量
1、口服
(1)预防用量:男性青年及成人每日5000U(1500RE),女性青年及成人每日4000U(1200RE),妊娠期妇女4000U(1200RE),乳母每日6000U(1800RE)。
(2)治疗用量:成人维生素A缺乏,每日口服1万-2.5万U(3000-7500RE),服用1-2周;眼干燥症,每日口服2.5万-5万U(7500-15000RE),服用1-2周。
2、胃肠道外给药:患者如有呕吐、恶心或手术前后、吸收不良综合征、眼损害较严重时,可给维生素A肌内注射,成人每日6万-10万U(1.8万-3万RE),连用3日,继用每日5万U(1.5万RE),共2周。
3、儿科用法与用量
(1)维生素A缺乏:口服维生素A胶丸每日5000U/kg。
(2)伴有干眼病及消化道吸收不良时,可肌内注射维生素A注射剂,每日2.5万~5万U(7500-15000RE),至症状体征好转。
(3)WHO推荐用量:对营养不良等,6个月-1岁儿童口服维生素A10万U(单剂量);1岁以上儿童口服20万U(单剂量)。眼干燥症,6个月-1岁儿童首日口服10万,次日及4周后各服10万U;1岁以上儿童口服20万U,次日及第4周各服20万U。
剂型与规格
维生素A常用制剂主要包括维生素A软胶囊、维生素AD软胶囊和维生素AD滴剂等。具体如下:
表1 维生素A常用制剂与规格药品名称 | 制剂分类 | 剂型 | 规格 | 医保类型 |
维生素A软胶囊 | 单一成分制剂 | 口服常释剂型 | 5000单位 2.5万单位 | 乙类 |
维生素A棕榈酸酯眼用凝胶 | 单一成分制剂 | 眼用凝胶剂 | 5g:维生素A5000IU | 乙类 |
维生素A糖丸 | 单一成分制剂 | 口服常释剂型 | 2500单位 | - |
维生素AD滴剂 | 复方制剂 | 口服液体剂 | 每1g含维生素A5单位与维生素D5000单位 每1g含维生素A5000单位与维生素D500单位 每1g含维生素A9000单位与维生素D3000单位 每1g含维生素A5万单位与维生素D5000单位 每粒含维生素A1200单位与维生素D400单位 每粒含维生素A1500单位与维生素D500单位 每粒含维生素A1800单位与维生素D3600单位 每粒含维生素A2000单位与维生素D700单位 | 乙类 |
维生素AE胶丸 | 复方制剂 | 口服常释剂型 | 维生素A5000单位与维生素E20mg | 乙类 |
维生素AD软胶囊 | 复方制剂 | 口服常释剂型 | 维生素A1单位与维生素D1000单位 维生素A1500单位与维生素D500单位 维生素A2000单位与维生素D700单位 维生素A3000单位与维生素D300单位 维生素A1万单位与维生素D1000单位 | - |
维生素AD糖丸 | 复方制剂 | 口服常释剂型 | 维生素A1800单位与维生素D600单位 维生素A2000单位与维生素D200单位 | - |
资料来源
给药说明
无肠道吸收障碍时均采取口服给药。
脂肪吸收不良或胆酸缺乏时,起初阶段可用肠外途径给药。
胆酸减少时维生素A用量适当增加。
水溶性维生素A注射液不得用于静脉注射,误用有发生过敏性休克的危险,严重时可致死。
维生素A广泛存在于黄色及绿色果蔬中,肝、黄油、蛋黄中含量较丰富,菜蔬中维生素A烹饪中不会被破坏,成人长期每日服用维生素A过量,凡血中维生素A浓度超过100μg/100ml时,可考虑为中毒应立即停用。
药理机制
维生素A是一种较复杂的不饱和一元醇,包括维生素A1(视黄醇)和A2(3-脱氧视黄醇)。主要存在于动物肝、脂肪、乳汁、蛋黄内。食物中的维生素A含量用视黄醇当量(RE)表示,1单位(U)的维生素A=0.3μg维生素A=0.3RE,凡能转化为视黄醇的类胡萝卜素(存在于有色蔬菜及黄色水果中,主要为β-胡萝卜素),都称为维生素A原,人体约能吸收食物中摄入维生素A原的1/3。1μg胡萝卜素=0.167RE。维生素A具有促进生长、繁殖、维持正常骨骼上皮组织视力和黏液分泌等生理功能。视黄醇在体内可转化为视黄酸和视黄醛。视黄醛与视蛋白合成视紫红质,视紫红质是感光的物质。视网膜中的视紫红质在感光过程中不断分解与再生,维生素A缺乏时视紫红质合成减少,暗适应视觉减低,严重时产生夜盲。
药代动力学
维生素A口服易吸收,胆汁酸、胰脂酶、中性脂肪、维生素E及蛋白质均促进维生素A的吸收,吸收部位主要在十二指肠和空肠。正常情况下,体内维生素A<5%与血浆脂蛋白结合,大量摄入维生素A时,肝内贮存已达饱和,蛋白结合率可达65%。高脂蛋白血症时维生素A与脂蛋白结合量增高。维生素A主要贮存于肝内(约含成人2年需要量),少量贮于肾、肺。肝内维生素A动员需锌参与。维生素A自肝释出后与视黄醇结合蛋白结合进入血循环。维生素A在肝内代谢,随粪便、尿液排出。哺乳期妇女有部分维生素A分泌于乳汁中。
风险与禁忌
不良反应
摄入过量维生素A,可致严重中毒甚至死亡;可以分为急性中毒和慢性中毒,故处方前应评估饮食、保健品与合并用药中维生素A的影响。
急性中毒:可发生于口服单剂量摄入维生素A(成人100万-150万U,小儿超过7.5万-30万U)6小时后,患者出现异常激动或骚动、头晕、嗜睡、复视、严重头痛、呕吐、腹泻、脱皮(特别是唇和掌),婴儿头部可出现凸起肿块,并有骚动、惊厥、呕吐等颅内压增高、脑积水、假性脑瘤表现。
慢性中毒:可发生于长期服用剂量大于10倍推荐剂量人群。可表现为共济失调、脱发、高脂血症、肝毒性、骨头和肌肉疼痛、视觉障碍、肿胀、皮肤瘙痒、口唇干裂、疲劳、软弱、全身不适、发热、头痛、呕吐、颅内压增高、视乳头水肿、皮肤对阳光敏感性增高及其他非典型症状。停药后中毒症状多在1周内缓解,亦可持续数周,肝脏发生纤维化则不可逆。
药物相互作用
制酸药:氢氧化铝可使小肠上段胆酸减少,影响维生素A的吸收。
抗凝药:大量维生素A(25000IU/d,30日以上)与华法林或肝素合用,可能增加出血风险。
避孕药:口服避孕药可提高血浆维生素A浓度。
降胆固醇树脂如考来烯胺(colestyramine)、矿物油、新霉素、硫糖铝能干扰维生素A吸收。
维生素E:与维生素E合用时,可促进维生素A吸收,增加肝内贮存量,加速利用和降低毒性,但大量维生素E服用可耗尽维生素A在体内的贮存。
米诺环素:维生素A与米诺环素合用时可能导致假性脑瘤及相关不良反应。
特殊人群用药
儿童用药:婴幼儿对大量或超量维生素A较敏感,故婴幼儿慎用。
妊娠期妇女:妊娠期对维生素A需要量略增多,但每日不宜超过6000单位。
哺乳期妇女:维生素A能从乳汁分泌,哺乳期妇女摄入增加时,应注意婴儿自母乳中摄取的维生素A量。
老年人用药:老年人长期服用维生素A,可能因视黄基醛廓清延迟而致维生素A过量。
肝脏功能不全、肾衰竭、酗酒或者使用某些药物如米诺环素等四环素类药物的患者慎用维生素A。
禁忌
维生素A过多症时禁用。
注意事项
妊娠期对维生素A需要量略增多,但不宜大量摄入。妊娠期妇女摄入大量维生素A时有报道可能致胎儿畸形,如小头畸形、心脏畸形、泌尿道畸形、生长迟缓、早期骨骺愈合等。维生素A能从乳汁分泌,哺乳期妇女摄入增加时,应注意婴儿自母乳中摄取的维生素A量。妊娠动物服过量维生素A可能致胎仔中枢神经系统、脊柱、肋骨、心脏、眼及泌尿道畸形。维生素A过量摄入期间应避孕。妊娠期妇女如有维生素A摄入过量中毒,应进行有无胎儿致畸风险的咨询。
大剂量或长期服用维生素A可能引起齿龈出血,唇干裂。
对诊断的干扰:慢性中毒时,血糖、尿素氮、血钙、血胆固醇和甘油三酯浓度增高。大剂量应用时红细胞和白细胞计数可下降;血沉增快,凝血酶原时间缩短。
监测:维生素A主要贮存在肝脏中,血浆中的水平可能无法反映其真实浓度。
随访监测暗适应试验,眼震颤电动图,血浆胡萝卜素及维生素A含量测定。
历史
中国是记载维生素A治疗眼症最早的国家。很久以前就有中国人食用糙米治疗夜盲症的记载,唐朝名医孙思邈在《千金要方》中记载动物肝脏可治疗夜盲症《内经》曰:“瞳子黑眼法于阴,白睛赤脉法于阳,阴阳合转而晴明。今阴弱而不能配阳,复兼气化不利,久则使双目渐失肝血肾精之充养而失明。故法拟补肝肾,益精血,通气化为主,佐以明目养肝清肝之品,且郁多憔悴,故宜辅以舒肝解郁之药。”足见古方配伍之法记载维生素A治疗眼疾的历史。被人们称为医药之父的古希腊人希波克拉底(Hippocrates)认为,各种动物肝脏是维生素A的最良好来源,可治疗夜盲症。但直到20世纪实验证明维生素A是一种单独的营养物质。
1913年,美国威士康星大学的E.V.麦科勒姆(E.V.McCollum)和戴维斯(Davis)与康涅狄格试验站的奥斯本(Osborne)和门德尔(Mendel)分别发现维生素A。研究小组各自的研究表明维生素A是脂肪食品中的膳食要素,他们还发现乳脂、蛋黄和鱼肝油含维生素A。研究人员认为这种物质对辅助纯食物摄入很必要,称之为脂溶性A。他们经典的症状叙述:“在不合理饲养的动物中以传染性眼病表现出的营养缺乏症”。1915年,他们提出缺乏脂溶性维生素A可导致夜盲症。
1919年,美国威士康星大学的斯廷博克(Steenbock)及其同事注意到存在于甘薯、胡萝卜和玉米中一种能维持正常生长和繁殖的未知物质,后来证明是胡萝卜素。1920年,英国科学家德拉蒙德(Drummond)建议把这种物质称为维生素A原。
1930年,英格兰的穆尔(Moore)证明前维生素就是β-胡萝卜素,胡萝卜素是维生素A的前体。
1931年,瑞士研究员P.卡勒(P.Karrer)从鱼肝油中分离活性物质并测量了维生素A的化学式,首先建立了维生素A的化学结构。与当年核黄素的研究工作一起他获得了诺贝尔化学奖。然而,1937年以前P.卡勒还不能把从鱼肝油得到的维生素A制成晶体形式,直到1947年以前还不能合成。
1938年,奥地利籍的德国化学家理查德·库恩(Richard.Kuhn)从事类胡萝卜素以及维生素类的研究获得诺贝尔化学奖。
1967年,哈佛大学的乔治格瓦尔德( Geovge Wald ) 博士从事维生素A的视觉作用研究项目获得诺贝尔医学奖。
使用情况
据中国食品报报道,中国是少数可以生产全部维生素种类的国家之一,已成为世界维生素生产中心,在多个维生素细分市场显示出国际竞争优势。中商产业研究院日前发布的《2022年中国维生素行业市场前景及投资研究报告》显示,中国维生素市场规模由2017年的34亿美元增长至2020年的37亿美元,复合年均增长率为2.9%,预计2022年中国维生素市场规模将达38.6亿美元;而在维生素行业各细分品种中,维生素B族、维生素E、维生素C和维生素A市场份额最大,分别为33%、30%、21%和13%,其他维生素市场份额较小,总占比仅3%。
维生素A在中国食品行业需求占比7%。维生素A饲料需求结构中,猪饲料占比最大,为40%,因而维生素A市场运行情况与养殖业关联紧密。
维生素B各品类产能集中度高,前三位企业产能占比均超过了整体市场的一半,其中最高的是维生素B7,产能集中度达90%。维生素C产能集中度最低,前三位企业产能仅占43%,远低于其他同类产品。在行业寡头垄断生产格局下,供应方对市场有极大的话语权,主要生产企业形成定价默契,尤其是市场低迷时行业内“价格同盟”强势有效。
动物用途:中华人民共和国农业农村部发布的《2021年饲料质量安全监管工作方案》报道,允许添加剂预混合饲料含有维生素A、维生素D3、维生素E、维生素B1、维生素B2、维生素B6等物质供动物食用。
其他相关研究
抑制胰腺癌扩散:胰腺癌是一种诊断和治疗都很困难的消化道恶性肿瘤,2016年10月,英国、德国与美国的研究人员发现,通过引发维生素A的代谢转化过程,其产生的全反式维甲酸能够有效阻止星状细胞“改造”肿瘤周围环境,减少了结缔组织形成,从而起到抑制胰腺癌扩散的效果。
膳食摄入
根据中华人民共和国国家卫生健康委员会发布的《中国居民膳食营养素参考摄入量 第4部分:脂溶性维生素》,中国居民膳食维生素A参考摄入值如下表所示:
中国居民膳食脂溶性维生素参考摄入量年龄(岁) /生理状况 | 维生素 A μg RAE/d |
EAR | RNI | UL |
男性 | 女性 | 男性 | 女性 |
0岁~ | - | 300 | 600 |
0.5岁~ | - | 350 | 600 |
1岁~ | 220 | 310 | 700 |
4岁~ | 260 | 360 | 900 |
7岁~ | 360 | 500 | 1500 |
11岁~ | 480 | 450 | 670 | 630 | 2100 |
14岁~ | 590 | 450 | 820 | 630 | 2700 |
18岁~ | 560 | 480 | 800 | 700 | 3000 |
50~ | 560 | 480 | 800 | 700 | 3000 |
80~ | 560 | 480 | 800 | 700 | 3000 |
孕妇(1周~12周) | | 480 | | 700 | 3000 |
孕妇(13周~27周) | | 530 | | 770 | 3000 |
孕妇(≥28周) | | 530 | | 770 | 3000 |
乳母 | | 880 | | 1300 | 3000 |
注:
1.“—”表示未制定;AI 值。
2.平均需要量(estimated average requirement,EAR):群体中各个体营养素需要量的平均值。
3.推荐摄入量(recommended nutrient intake,RNI):可以满足某一特定性别、年龄及生理状况群体中绝大多数个体需要的营养素摄入水平。
4.适宜摄入量 (adequate intake,AI):营养素的一个安全摄入水平。是通过观察或实验获得的健康人群某种营养素的摄入量。
5.可耐受最高摄入量(tolerable upper intake level,UL):平均每日可以摄入营养素的最高量。此量对一般人群中的几乎所有个体都不至于造成损害。
化学信息
2-[(2,6-二氯苯基)氨基]-苯乙酸钠

分子式:C14H10Cl2NNaO2
分子量:318.13
性状:白色或类白色结晶性粉末,有刺鼻感与引湿性;在乙醇中易溶,在水中略溶,在三氯甲烷中不溶。
化学性质:分子中含有多个共轭多烯醇侧链,化学性质不稳定,易被空气中的氧或氧化剂氧化,遇光易变质,易被紫外光裂解。在加热或有金属离子存在时更易被氧化变质,生成无活性的环氧化物,如维生素A醛、维生素A酸等。在三氯甲烷中能与三氯化锑试剂发生化学反应,和三氯化锑中存在的亲电试剂氯化高锑(V)作用形成不稳定的蓝色碳正离子,显蓝色后渐变为红色。在环己烷或乙醇溶液中,最大的吸收峰在325-328m。其无水乙醇溶液在盐酸催化下加热,可发生脱水反应生成脱水维生素A,脱水维生素A在348、367和389nm波长处有最大吸收。
制备方法
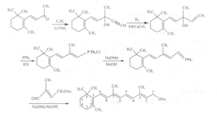
BASF工艺
BASF公司于1971年开始工业化生产维生素A。以β-紫罗兰酮为起始原料和乙炔进行格氏(Grignard)反应生成乙炔-β-紫罗兰醇,选择性加氢得到乙烯-B紫罗兰醇,经Witting反应,在醇钠催化下,与C5醛缩合生成维生素A醋酸酯。

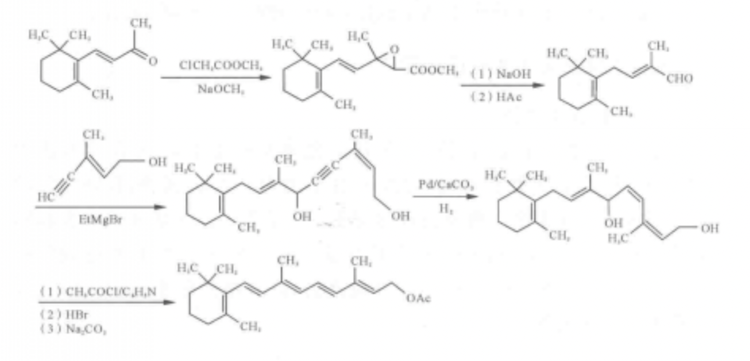
Roche工艺
Roche合成工艺以β-紫罗兰酮为起始原料,格氏反应为特征,经Darzens反应、格氏反应,选择性加氢、羟基溴化、脱溴化氢完成了维生素A醋酸酯的合成。
Roche合成工艺的技术较为成熟,收率稳定,各反应中间体的立体构型比较清晰,且原料较易获得,但使用的原辅材料数量较大。该技术路线是世界上维生素A厂商采用的主要合成方法。

相关人物
王成发教授(1906-1994)是中国著名的生化学家和营养学家;在上世纪50年代初期,王成发教授率领以顾景范教授为代表的军队营养工作者深入部队,开展了维生素营养状况评价和需要量的研究,并创建了中国军队的营养供给量标准,为军队的现代化建设作出了重要贡献;此外,王成发教授为军队培养了许多营养工作者,后来成为各军、兵种、军医大学营养学科的带头人。
王成发教授先后建立了几种主要维生素营养状况的评价指标和标准,如用血浆维生素A、维生素A耐量实验和生理盲点面积评价维生素A营养状况,用24小时全日尿、空腹2小时尿、负荷4小时尿评价维生素B1、B2和C营养状况,都建立了评价标准。在研究中发现维生素B2摄入量从每日0.5mg到2.5mg之间在1.2mg处存在扭转点,即为需要量;王德凯、赵法伋在不同部队重复实验均得以证实。