二项式定理(binomial theorem),又称牛顿二项式定理,其表达式是:

本页面主要目录有关于二项式定理的:定义、展开式性质、简史、证明、矩阵形式的二项式定理、推广、相关概念、应用等介绍

外文名

binomial theorem

相关人物

贾宪、杨辉、阿尔·卡拉吉、帕斯卡、牛顿等

相关著作

《释锁算书》、《详解九章算法》、《算术之钥》等

应用领域

数学、遗传学、概率问题

所属学科

数学、代数学

证明

数学归纳法、组合法

简介

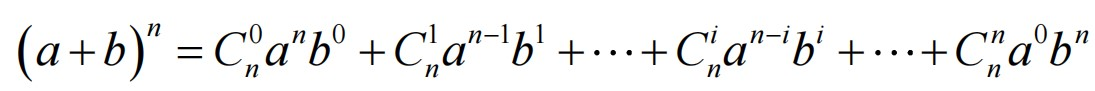
\left( a+b \right)^{n}=C_{n}^{0}a^{n}b^{0}+C_{n}^{1}a^{n-1}b^{1}+...+C_{n}^{n}a^{0}b^{n}

。该定理给出两个数之和的整数次幂展开为类似项之和的恒等式。二项式定理可以推广到任意实数次幂,即广义二项式定理。其可以用数学归纳法和组合法来证明。

二项式定理最初用于开高次方,在阿拉伯,10世纪时阿尔·卡拉吉(Al-Karaji)  已经知道二项式系数表的构造方法。11世纪中叶,贾宪在《释锁算书》中给出了“开方作法本源图”,即为直到六次幂的二项式系数表。13世纪,杨辉在《详解九章算法》中引用了此图。1654年,法国的帕斯卡(B.Pascal)最早建立了正整数次幂的二项式定理。英国的牛顿(I.Newton)在1665年将二项式定理推广到有理指数的情形。

二项式定理通常用于解决数学问题(整除性问题、共轭根式的乘方、数列极限问题、不等式证明、自然数幂求和的证明、组合恒等式的证明)、遗传学的统计问题、概率问题。

定义

组合数

组合数公式的定义为:从n个不同元素中任意去m(m≤n)个元素拼成一组,叫做从n个不同元素中取m个元素的一个组合,记作

二项式定理

二项式定理

其他国家,在阿拉伯,10世纪时阿尔·卡拉吉(Al-Karaji)  已经知道二项式系数表的构造方法: 每一列中的任一数等于上一列中同一行的数加上该数上面一数。11至12世纪期间,奥 马·海牙姆(Omar Khayyam)将印度人的开平方、开立方运算推广到任意高次,因而研究了高次二项展开式。12世纪,波斯人卡拉吉(Al-Karaji) 描述了二项式系数的三角形模式,并使用早期形式的数学归纳法提供了二项式定理和帕斯卡三角形的数学证明。

13世纪,纳绥尔丁(Nasir Eddin)在《算板与沙盘算法集成》中给出了高次开方的近似公式,并用到了二项式系数表。15世纪,阿尔·卡西(Al-Kashi)在《算术之钥》中介绍了任意高次开方法,并给出了直到九次幂的二项式系数表,还给出了二项式系数表的两种构造方法。 在欧洲,13世纪时德国的约丹努斯(N.de Jordanus)在一本未出版的算术书中给出了一张二项式系数表,其形状与贾宪三角一样。16世纪,许多数学家的书中都载有二项式系数表。1654年,法国的帕斯卡(B.Pascal)最早建立了正整数次幂的二项式定理,因此算术三角形在西方至今仍以他的名字命名。1665年,英国的牛顿(I.Newton)将二项式定理推广到有理指数的情形。18世纪,瑞士的欧拉和意大利的卡斯蒂隆(G.F.Castillon)分别采用待定系数法和“先异后同”的方法证明了实指数情形的二项式定理。

二项式定理

证明

数学归纳法

用数学归纳法证明n为任何正整数时以下等式成立。

二项式定理

二项式定理

泰勒公式

泰勒定理:如果函数

二项式定理

概率论

概率论的定义为:随机事件A发生的可能性大小的度量(数值)叫做随机事件A发生的概率,记作P(A)。

概率加法法则:设将某一事件A表示为若干互斥方案(

二项式定理