虫洞(Wormhole)是宇宙当中可能存在的,用来连接两个不同时空的一种狭窄的隧道,又称爱因斯坦-罗森桥。它能扭曲空间,是连接时空隧道的捷径。
本页面主要目录有关于虫洞的:词源、历史沿革、类型、原理、相关理论、研究进展、作用、相关文化等介绍
虫洞(Wormhole)是宇宙当中可能存在的,用来连接两个不同时空的一种狭窄的隧道,又称爱因斯坦-罗森桥。它能扭曲空间,是连接时空隧道的捷径。
本页面主要目录有关于虫洞的:词源、历史沿革、类型、原理、相关理论、研究进展、作用、相关文化等介绍
虫洞
Wormhole
爱因斯坦-罗森桥
物理学
虫洞最早是起源于1916年爱因斯坦发表的广义相对论,当时在广义相对论发表后不久,德国物理学家卡尔·史瓦西(Karl Schwarzschild)就在爱因斯坦引力场方程里发现了一个解,也就是著名的史瓦西解。同年,奥地利物理学家路德维希·弗莱姆(Fudwig Flamm)对史瓦西的数学推导过程进行了重新诠释,揭示出了它的虫洞本质。1935年,爱因斯坦(Albert Einstein)和他的助手纳森·罗森(Nathan Rosen)在广义相对论的框架下研究黑洞,首次提出了“爱因斯坦-罗森桥”的概念。他们所描述的这个桥并非是一座普通的桥,而是连接了时空中两个不同区域的通道。到上世纪50年代时,美国物理学家惠勒(John Wheeler)最终将这座奇幻的桥命名为“虫洞”,但是虫洞是否真实存在,却一直没有获得可靠的理论支持。
1963年,数学家罗伊•克尔提出一个假说,他认为,如果恒星在死亡的时候保持一种旋转状态,那么就会形成一种动态黑洞。如果有物质突破黑洞中心,就会进入镜像宇宙,这一过程的实质其实就是一次时空穿越。克尔的假说让虫洞的存在重新获得部分理论上的支持。1988年,美国加州理工学院的索恩等人,对虫洞进行了更为深入的研究,认为虫洞不同于黑洞的只进不出,而是两端皆可出入,旅行者在洞内仅受到一般的加速度,不会受到巨大的拉力差影响。
科学家将虫洞分为两种类型,一 类是可通过的“洛伦兹虫洞”,另一类是可瞬时通过的“欧几里德虫洞”。研究表明,“洛伦兹虫洞”可能一直存在于黑洞中或其他地方,而“欧几里德虫洞”是瞬间存在的。虫洞在性质上有四种观点,第一种观点认为虫洞是空间隧道;第二种观点认为虫洞是链接黑洞和白洞的连接通道;第三种观点认为,虫洞是我们日常所说的时间隧道。第四种说法认为虫洞是由于固定方式受力而产生的空间搬运。与虫洞理论联系密切的相关理论有相对论、量子纠缠理论以及黑洞与白洞的理论。
尽管广义相对论允许虫洞的存在,但截至2023年10月,物理学家还从未在宇宙中观测到虫洞。而且,与科幻电影中看到的虫洞不同,根据广义相对论,虫洞是不可穿越的——这意味着物体不能通过虫洞。然而在理论上,具有负能量密度和负压的奇异物质可以打开虫洞,并使虫洞变得可穿越。近些年的物理研究认为,可能存在被现有物理所允许的人类能够进入的虫洞,中国科学家团队从膜宇宙的角度探讨构建构建“类虫洞”的可能性及方法,为可穿越虫洞的研究带来了新的进展。2022年美国科学家利用量子计算机首次模拟出全息虫洞。
“虫洞”一词是由美国物理学家约翰·惠勒在20世纪50年代创造的,用来形容连接时空中两个不同区域的通道。
虫洞最早是起源于1916年爱因斯坦发表的广义相对论,由德国物理学家卡尔·史瓦西(Karl Schwarzschild)在爱因斯坦引力场方程里发现了史瓦西解。之后奥地利物理学家路德维希·弗莱姆(Fudwig Flamm)对史瓦西的数学推导过程进行了重新诠释,揭示出了它的虫洞本质。1935年,爱因斯坦(Albert Einstein)和他的助手纳森·罗森(Nathan Rosen)在广义相对论的框架下提出了“爱因斯坦-罗森桥”的概念,描述了连接时空中两个不同区域的通道。这一通道在上世纪50年代由美国物理学家惠勒(John Wheeler)命名为“虫洞”。上世纪60年代,罗伊·克尔、斯拉·纽曼、西奥多·昂蒂和路易斯·坦布雷诺又陆续发现了爱因斯坦方程的多个新解,为虫洞的研究起到了推动作用。
虫洞早在1916年爱因斯坦广义相对论发表后的几个月就被发现了,史瓦西在爱因斯坦引力场方程里发现了一个解——著名的史瓦西解,史瓦西解表明围绕黑洞有一个不归点,这个逃离黑洞的距离称为史瓦西半径,也称为视界(最远的可见点)。任何一个落入史瓦西半径以内的人都会在”时空的另一面”看到一个“镜像宇宙”。自从在史瓦西解中发现了虫洞,物理学家们就开始对虫洞的性质发生了兴趣。虫洞连接黑洞和白洞,在黑洞与白洞之间通过这个虫洞(即阿尔伯特·爱因斯坦—罗森桥)被传送到白洞并且被辐射出去。虫洞还可以在宇宙的正常时空中显现,成为一个突然出现的超时空。
1916年,爱因斯坦把广义相对论的物理定律公式化之后,路德维希.弗莱姆(Fudwig Flamm)发现,爱因斯坦广义相对论方程的一个解可以描述虫洞(那时还不把虫洞称为“虫洞”)。路德维希.弗莱姆通过数学推导过程进行重新诠释以后,揭示出它的虫洞本质——它事实上是描述了空的球形虫洞。因此弗莱姆首先提出了虫洞的设想,虫洞作为不同时空连接通道的假想为时空旅行提供了一种可能性。但是弗莱姆关于虫洞研究的论文发表以后并没有引起物理学家们的注意。1935年,爱因斯坦和同事内森 .罗森在不知道弗莱姆研究结论的情况下重新得到了弗莱姆的解,研究了弗莱姆虫洞的性质,并且探讨了此类虫洞在真实宇宙中的意义,开始把弗莱姆虫洞称为爱因斯坦-罗森桥。
1935年,爱因斯坦和他的学生内森·罗森把虫洞的理论带入物理学界,认为在黑洞的中心有一个类似长桥的东西,也被称为爱因斯坦罗森桥。爱因斯坦罗森桥可以把时间、空间连接到另一个宇宙,是两个宇宙之间的桥梁。其实也就是“虫洞”。很快,在引力场方程的其他解决中,如描述一个带电的赖斯纳-诺德斯特龙解,也找到了爱因斯坦-罗森桥。爱因斯坦认为任何进入桥中的火箭都将被压碎,因此两个宇宙之间的通讯绝无可能。但是新的计算表明,穿过这个桥或许会非常困难,但并非没有可能。
1957年惠勒提出“虫洞”一词,用来描述时空通道,质量和电荷都是虫洞的洞口。惠勒猜想,量子波动使海绵状结构空间产生空间尺度为10‾厘米的虫洞,虫洞的另一面是“超空间”,超空间里既无时间也无空间,一切过程的进行都不需要时间,开始与结束同时发生。惠勒猜想中的宇宙呈圆环形,圆环中央是超空间。以光速传播的一个信号,有可能被另一个穿过虫洞和超空间的信号所超过。所以惠勒认为:根据相对论,虫洞不仅可能存在,而且物体可以穿越。
1963年,新西兰数学家罗伊·克尔找到了爱因斯坦方程的另一个精确解。克尔假设,所有坍缩的恒星都会旋转。一个自旋转的正在坍缩的恒星,当它开始向内收缩时自旋速度将得到快速提升。因此描述黑洞的静态史瓦西解,并非爱因斯坦方程最实际的贴切解。根据克尔解一个大质量的旋转的恒星并不会坍缩成一个点,相反,这个旋转的恒星会逐渐变得扁平,最终被压缩成一个具有有趣性质的环。如果探测器从侧面发射到黑洞中,它就会碰到环并被彻底摧毁。因为从侧面接近这个环时,时空的曲率仍然是无限大。可以说,围绕黑洞中心仍有一个“死亡之环”。如果探测器从顶部或底部发射到环中,它会遇到一个很大但却有限的曲率,表明引力并非无穷大。这个结论意味着——空间探测器沿着旋转轴的方向(即环的垂直方向)通过一个旋转的黑洞在理论上是可能的。它可以在黑洞中心的巨大但却有限的引力场中存活下来,径直地通向镜像宇宙而不会被无限曲率摧毁。爱因斯坦-罗森桥形同一个联通两个时空域的隧道——虫洞。因此,克尔黑洞就是通往另一个宇宙的关口。
克尔解代表了外层空间的黑洞的最现实的物理表述,如果火箭船穿过克尔黑洞的中心,假设它们在这个过程中并没有被粉碎,因果关系将会遭到破坏,从而证明时间旅行是可行的。
1963年,斯拉·纽曼、西奥多·昂蒂和路易斯·坦布雷诺发现了爱因斯坦方程的一个新解,称之为“NUT”宇宙(以三人的首字母命名)。这个解从表面上看像一个典型的黑洞,允许封闭类时曲线和时间旅行,而且在黑洞周围作360度旋转,不会转到你最初的位置,相反会被卷到另一片宇宙中。纽曼-昂蒂-坦布雷诺宇宙的拓扑结构,可以比作居室中螺旋形的楼梯,如果绕楼梯旋转360度,不会到达出发点,而是抵达了另一阶楼梯上。这样的宇宙空间称之为NUT宇宙。
起初,相对论者排斥NUT解,认为宇宙并非按照这样的形式在进行演化,因此,这些解由于缺乏实验验证而被武断地抛弃了。然而,几十年过去了,爱因斯坦方程的此类奇异解大量涌现而出,且它们允许时间旅行。后来物理学家发现,NUT奇点可以被插入黑洞或膨胀的宇宙中。爱因斯坦方程的每一个虫洞都可以被证明允许某些形式的时间旅行存在。
1985年夏天,卡尔·萨根曾向诺贝尔物理学奖得主基普·索恩询问是否有科学的方式规避光障,从而打破爱因斯坦狭义相对论关于光速的限制,以使星际旅行成为可能。索恩和他的同事们之后对这个问题开始进行反向处理,并很快发现了一个令人吃惊的简单的解,这个解满足所有的刚性约束,为区别于其他的宇宙飞船不能穿越的虫洞解,这个解被称之为“可穿越虫洞”。
1985年秋,加州理工学院进行的广义相对论课程的期终考试中,索恩将这个虫洞解给了学生们。大多数学生给出了这个解的详细的数学分析,实际上这个解是一个允许时间旅行的解,它能够推导出虫洞一些惊人的性能。穿越这个可穿越虫洞的旅行就如同飞机旅行那样舒适,旅行者所经受的最大引力不超过1个重力加速度,他们的表观重量不会超过他们在地球上的重量。此外,索恩的可穿越虫洞是永久开放的,旅行者旅行期间虫洞的入口不会关闭。穿越一个可穿越的虫洞的旅行不再需要花费100万年或者10亿地球年时间,旅行所需的时间大约200天或者更少。
索恩证明出可穿越的虫洞中的封闭类时曲线看起来完全能填充过去,而不是改变过去或者引起时间悖论。索恩认为爱因斯坦场方程的一个新解已经获得,它描述了在原则上可被人类穿越的虫洞。索恩计算中的最后一步,是推导可穿越虫洞所必须的物质和能量的确切性质。索恩和他的同事们发现,在虫洞的中心必须存在具有反常性质的奇异的物质形态。索恩认为这个奇异的物质形态虽然反常,但似乎并未违反任何已知的物理定律,一个非常先进的文明可以从简单的虫洞建造出逆时间旅行的机器。

洛伦兹虫洞可能存在于黑洞中或其他地方,就好像日常生活中的隧道,在同一宇宙空间有两个开口。在这样的宇宙中从A 点运动到 B点的飞船有两条路径可走,一条是穿过虫洞达到B点,另一条是不穿过虫洞到达B点。如果父子两人,各自驾驶一艘飞船,父 亲穿过虫洞达到B 点,而儿子不穿过虫洞到达 B点,他们父子经历的时间是不同的,所以他们到达B点相会时, 父亲的年龄比儿子要小很多很多。洛伦兹虫洞经过适当改造后,可以变成“时间机器”或 “时光隧道”,航天员通过它后,可以回到自己的童年,见到童年的自己。
欧几里德虫洞也叫磁虫洞,是一种可瞬间通过的虫洞,经过这种虫洞前往其他宇宙的人不需要时间,即瞬间位移,眨眼间消失并处在另一个宇宙之中。一个经历此虫洞的人会在瞬间从A地消失,突然出现在B地。 欧几里德虫洞甚至可以联通过去和未来。一个现代人通过虫洞消失之后,有可能突然穿越到古代去。
虫洞理论源于爱因斯坦的相对论,广义相对论是关于引力场的理论。牛顿的万有引力规律揭示了宇宙中每个角落都充斥着引力,但是没有解释引力的根源是什么。爱因斯坦广义相对论解决了这个问题,证明了引力是由质量对时空的扰动产生。这个理论认为,任何具有质量的物体,都会对周边的时空造成扰动,就像在水中丢下一颗石子,不管石子的大小都会对水产生扰动,只不过是质量越大的物体产生的扰动越大而已。这种扰动的表现就是物体在自己周边形成时空扭曲,形成时空漩涡或者陷阱,质量越大的物体时空漩涡或者陷阱就越大,这样两个物体的时空漩涡会相互影响,相互掉到对方的陷阱,就表现出相互吸引的现象,而小天体经过大天体附近时,会掉进大天体的时空陷阱中,就表现出小天体被大天体吸引的现象,这就是万有引力的本质。宇宙中存在着无数大大小小的天体,因此在宇宙中就存在着各种各样的时空漩涡和陷阱。当一些极大引力场出现时,比如星系、黑洞、类星体等等,会在自己周边形成巨大的时空漩涡,这些时空漩涡相互碰撞很可能形成一些奇异的空洞,这种空洞就是虫洞。
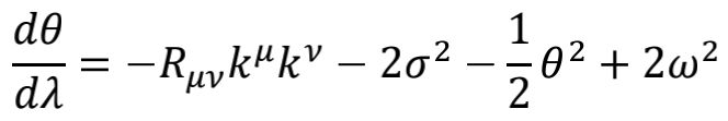
⼴义相对论研究中,是先有一个物质分布,再研究这个物质分布会给出的时空形状。为了研究虫洞,物理学家进行了反向研究,先给出关于时空结构的限制,然后再通过爱因斯坦场⽅程进⾏物质分布的求解。要想满⾜特定的⾍洞时空结构,需要需要引⼊奇异的负能物质。在⼴义相对论中,为了探究时空性质的方程通常叫作Ray-Chaudhuri⽅程,方程如下:

选择满⾜旋转和剪切都为0的线汇,σ=ω=0,根据通过⾍洞的线汇的特征,可知在⾍洞的喉部⼀定存在 dθ/dλ=0 的位置,这暗⽰了如下的⽅程:

再根据⼴义相对论可知:

⾍洞的存在⼀定需要在它的喉部引⼊负能量的奇异物质,这让⾍洞的构造变得⾮常困难。同时还需要考虑⾍洞作用于⼈体所产生的潮汐⼒效应,在⼈体可以忍受的潮汐⼒的条件之下,巨⼤的虫洞空间都存在奇异物质⽀撑尤为困难。或许未来⽆限发达的⽂明可以在物理定律允许的条件下,不受技术壁垒的限制使建造⾍洞称为可能。
虫洞与量子纠缠最早出现于爱因斯坦和他的同事们合作的论文中。1935年爱因斯坦和罗森除了提出虫洞的论文之外,还与波多尔斯基(Boris Podolsky)合作发表了一篇论文,三位作者指出,两个相距遥远的粒子(即使是位于宇宙的两端)之间存在着某种关联:对其中一个粒子的状态进行测量,就能立即知道另一个粒子的状态。这种“鬼魅般的超距作用”被称为量子纠缠。此后虫洞和量子纠缠就被视为是完全独立的两个概念。但在2013年,马尔达西那(Juan Maldacena)和萨斯坎德(Leonard Susskind)提出了一个对偶性:ER=EPR,即虫洞(即“ER”)与纠缠(即“EPR”)实际上是等价的,这一想法在引力和量子物理学之间建立了一种新的理论联系。根据ER=EPR的思想,这个过程相当于引⼒版本的量⼦隐形传态,在量⼦隐形传态中,似乎量⼦⽐特是通过量⼦纠缠在另⼀个地⽅被重新构造出来的;⽽在引⼒的图像下,它是通过连接两个地⽅的⾍洞穿越⽽来的。

黑洞
黑洞是物质压缩到极限产生的一种奇异现象,理论上任何物质都有可能压缩到极限,从一个原子,到一个星球,只要压力足够大,都有可能成为一个黑洞。物质被压缩的极限是通过史瓦西半径公式进行计算的,表述为:R=2GM/C^2。R表示史瓦西半径,G为引力常量,M为物体质量,C为光速。这个公式是1916年天体物理学家卡尔·史瓦西,根据爱因斯坦刚发表不久的广义相对论中引力场方程推导出来的。它的意义在于任何物质只要被压缩到自身质量的史瓦西半径以内,就会发生奇异变化:所有物质会无法避免地坠落到核心的奇点上,并以史瓦西半径为界形成一个具有无限曲率的球状空间。
理论上黑洞体积无限小,密度无限大,曲率无限大,热量无限高。由于黑洞史瓦西半径内引力无限大,任何靠近黑洞的物质都会被黑洞吞进去且有去无回,黑洞也因此变得越来越大。宇宙中发现最大的黑洞,名为SDSS J073739.96+384413.2,质量是太阳的1040亿倍。
白洞
白洞是与黑洞相反的理论猜想,是物理学家们根据爱因斯坦场方程假设的数学模型,体现为黑洞不断吞入宇宙物质,白洞则不断向宇宙中喷射出物质。理论上黑洞和白洞都是宇宙中的极端天体,黑洞的引力无限大,白洞的排斥力无限大,它们都有一个封闭的边界,进入黑洞视界的物质是有去无回,连光也不例外;而白洞的视界不允许任何物质进入,只出不进,同样连光也不例外。迄今为止,白洞还没有被观测证实。

虫洞旅行是太空科幻作品的常见情节,假想中的太空飞船通过穿越虫洞实现超光速旅行,瞬间到达遥远的空间上,由于广义相对论认为宇宙中不存在比光速还快的速度,所以虫洞旅行在广义相对论下是不存在的。但是近些年的物理研究认为,这种虫洞或许存在于以量子物理为主的微观层面上。
普林斯顿高级研究院的理论物理教授 Juan Maldacena 和普林斯顿大学的 Alexey Milekhin 发表了名为《人类可穿越的虫洞》的论文,阐述了一种 “被现有物理所允许存在的”、大小足够人类进入的虫洞存在的可能。他们在论文中提出,通过一种名为Randall-Sundrum II 的模型(五维扭曲几何理论)构建的稳定虫洞,其外貌类似于中等大小的带电黑洞,会产生能扰乱航天器行进轨迹的引力 “潮汐力”,航天器配有极强的推力装置才能够成功进入这种虫洞。
这项研究的意义在于探寻广义相对论与量子物理学之间的相互作用是否会允许稳定虫洞的存在,尽管这种虫洞是否真的在宇宙中存在无从知晓,也没有能借这种虫洞进行长距离太空旅行的技术,但至少在当前看来,科幻小说中“借虫洞旅行” 的情景在物理学上并非完全不可能。
1948年,荷兰物理学家卡西米尔发现真空中两个平行金属板之间的虚粒子态,比真空具有更少的能量,并导致两块金属板之间产生了微弱的相互作用。该发现被称为卡西米尔效应,其中比真空具有“更少”的能量,即意味着两个金属板之间出现了负的能量密度。负能量的发现与证实,让物理学家们开始想象“使用负能量延长虫洞开启”的可能。而在1988年,美国加州理工学院的物理学家基普·索恩则是提出,卡西米尔效应所产生的负能量,可以延长虫洞的开启状态。
2019年,扬州大学引力与宇宙学研究中心戴德昌团队在国际知名杂志《物理评论D辑》上发表文章,研究发现虫洞所连接的宇宙可以和地球宇宙里面的物质产生交互作用。这项研究成果首次跳出传统虫洞研究方法,从膜宇宙的角度探讨构建构建“类虫洞”的可能性及方法。科学家认为膜宇宙是地球宇宙在更高维时空中的一片膜。物质在膜上的距离可能很远,但是在高维空间中却很近。物质和物质间的引力作用可以抵抗膜的张力并造成膜变形,最后两个物质吸附在一起并把膜连结在一起。如果膜没有反弹回去,就会形成一个新的拓扑结构,物质通过这个结构直接来到远处。这样的效应很像虫洞,因此被称为类虫洞结构。团队通过大量理论计算发现如果两个大质量物体是中子星或者其他不存在视界的物体,则理论上这个虫洞是可以通过的。
戴德昌团队首次从物理学角度证明了宏观领域穿越虫洞的可能性。此外,团队还采用膜的张力来替代负能量,设想不需要额外的负能量来制造虫洞,这为构建虫洞提供了一个全新的思路。但目前还不能保证这种‘类虫洞’结构的稳定性,仍需要对稳定性进行全面分析。戴德昌团队的研究为可穿越虫洞带来了新的转机和方向。

2022年美国加州理工学院玛丽亚 斯皮罗普鲁(Maria Spiropulu)和同事与合作者设计了一个简单系统,用来模拟一个全息虫洞,该量子模拟利用一台量子计算机进行,有一个9量子比特的电路。量子比特在这台处理器上传输时的动力学特征与量子比特穿过可穿越虫洞时所该有的动力学特征相同。该项研究成果发表在国际著名学术期刊《自然》杂志,演示使用的是谷歌(Google)的悬铃木(Sycamore)处理器,这是量子计算机首次模拟全息虫洞。

虫洞的作用存在争议,有观点认为虫洞没有实际意义;也有观点认为人类可以通过虫洞实现时间旅行。
第一,爱因斯坦自己也意识到黑洞中心的引力时巨大的,通过黑洞的任何飞船将被撕裂。虽然,虫洞在数学上是可能的,但他们在实践中却是无用的。
第二,虫洞可能是不稳定的。现在已能证明,虫洞中的小扰动会导致爱因斯坦-罗森桥的坍塌,因此,宇宙飞船在黑洞内出现会引起扰动,会导致虫洞入口的关闭。
第三,宇宙飞船的速度必须大大地超过光速,才能穿透到虫洞的另一边。
第四,量子效应是如此之大以至于虫洞可能会自行关闭。例如黑洞入口发出的强烈辐射不仅会杀死任何试图进入黑洞的人,而且可能会导致入口的关闭。
第五,在虫洞中时间会逐渐慢下来,在中心区域趋向于完全停止空间旅行者的速度慢下来,并在黑洞的的中心变成彻底静止。空间旅行者看起来就像被时间冻结了。换句话说,空间旅行者需要无限长的时间才能穿越虫洞。假设能够成功穿越虫洞的中心并返回地球,但受限于巨大的时间扭曲,回到地球上的时间可能已经过去了数百万年,甚至数十亿年。因为这些原因,虫洞从未被严肃采纳过。
霍金认为虫洞是实现时间旅行的方式之一,通过虫洞,可以将平行宇宙和婴儿宇宙相互连接起来,从而实现时间旅行的可能。时间旅行依靠第四维的前进或者后退来实现的,关于第四维的解释,霍金举例说:人们驾驶一辆汽车在陆地上行驶,汽车向前进和向后退属于第一维;向左转弯或者向右转弯属于第二维;如果遇到了山坡,向上爬行或者下坡属于第三维;而剩下的时间,则是第四维。虫洞是穿越第四维的通道。时间当中存在着许许多多的裂缝和孔隙,它们非常小。把这些比分子、原子还要小的时间孔隙就是物理学上的量子泡沫,虫洞存在于这些“量子泡沫”当中。随着科技的发展和进步,以及人们对宇宙的不断认知,通过科技手段将虫洞放大到能够让宇宙飞船从中穿越而过,人类就会实现时间旅行。
中国古籍中类似于虫洞的记载出自于南朝梁代任昉的《述异记》。传说在西晋时有个叫王质的青年农民,上山打柴迷了路(可能就是虫洞的入口)。转来转去看见两个小孩在一颗大松树下面下围棋,王质被两位小孩精湛的棋艺吸引住了。两位小孩好像未发现有人到来似的,边下棋边吃一种疑似大枣的东西,有时也顺手递给王质吃,他吞下了那东西以后,竟然不觉得饥饿了。看完一局棋后,小孩对王质说:“你也该回家了。”王质俯身去拾斧子,木头做的斧柯(斧柄)已经腐烂,只剩下锈迹斑斑的铁斧。他回到村里的时候发现一个人也不认识,询问村里的人,才知道他们已经死去一百多年了。这座山后人称之为“烂柯山”(今浙江衢州烂柯山)。
天文学家萨根的科幻小说《接触》,叙述了一个女主角落入地球附近的一个黑洞,那个黑洞内部连着穿越空间的时空隧道,一个小时后,女主角到达隧道的另一个出口,该出口位于织女星附近, 距离我们地球 26 光年。萨根把有关内容告诉了他的好友, 著名的相对论专家索恩,索恩认为黑洞内部不稳定,即使存在时空隧道,稍有扰动也会立即封闭,所以飞船不可能通过,因而黑洞不能作为星际航行的时空通道。索恩被小说的情节打动,他和他的学生莫里斯开始研究是否有可穿越的时空隧道。经过研究表明, 在一定条件下有可能存在“时空隧道”, 这种隧道就是洛伦兹虫洞。
《接触》于1985年出版,位列美国当年畅销书榜中的第七位,获得1986年轨迹奖的最佳长篇处女作奖。由朱迪。福斯特主演的同名电影于1997年上映。从1997年7月27日道9月21日,小说《接触》一直位列纽约时报畅销书排行榜。
片名 | 内容简介 | 图片 |
超时空猎杀 (2020) | 影片讲述了2020年,在香港首次发现稳定虫洞,人们可以通过稳定虫洞回到历史上的时间节点,为了防止有人通过虫洞回到历史并破坏历史,时空管理局应运而生。 时空管理局担负着校正历史、让历史按着既定轨道运行的使命。然而时空守卫队队长左石(张晶饰),却突然率领五名部下,携带着超出时代进程的枪支武器,闯入虫洞,回到了历史中的秦阳城,意图以颠覆历史要挟时管局在48小时内关闭虫洞。 为了挽救历史,女探员景彤(郝艾莉 饰)临危受命与前守卫队队长秦朗(苗韵桐 饰),带领新组建的守卫队,配备青铜武器回到历史之中,阻止左石一行。一场守护历史的热血行动正式拉开 |
|
星际穿越 Interstellar (2014) | 未来出现粮食危机,人类面临着灭绝的风险。前NASA宇航员库珀(马修·麦康纳 Matthew McConaughey 饰)与同伴一起背负上了“拯救人类”的使命,驾驶宇宙飞船,通过土星附近出现的神秘虫洞,去寻找最适宜人类居住的星球。 在地球的这一边,NASA的老教授致力于解开“重力异常”的难题,给人类争取时间。库珀掉入黑洞,发现这里通过特殊的方式“连接”着女儿墨菲(麦肯吉·弗依 Mackenzie Foy 饰)的房间,他通过改变重力的方式给女儿传递信息,最终,库珀的女儿解开了老教授遗留的难题,拯救了人类。再次见面时,库珀依然年轻,而女儿已经变成一百多岁的老人。 《星际穿越》的科学顾问基普·斯蒂芬·索恩(Kip Stephen Thorne,1940—),是2017年的诺贝尔物理学奖得主,他是美国理论物理学家,在引力物理学和天体物理学等领域都很有建树 |
|
反物质危机 Anti Matter (2016) | 英国惊悚科幻片,博士生安娜在一场实验中,陷入理性难解的疯狂之中。反物质理论本是爱丽丝梦游仙境的科幻奇想,然而,安娜在虫洞旅行实验之后,发现自己竟然无法建立新记忆。影片围绕这背后的故事展开 |
|
重返中世纪 Timeline (2003) | 爱德华·乔斯顿(比利·康诺利 Billy Connolly 饰)是一名致力于中世纪考古的历史学家,他的毕生心愿是发掘14世纪遗留下的拉洛克城堡。一家国际科技公司的总裁罗伯特(大卫•休里斯 David Thewlis 饰)愿意投资该项目,乔斯特与儿子克里斯(保罗·沃克 Paul Walker 饰)一起组建了考古小组前往法国,探寻当年的古战场。 在一次挖掘中,考古小组发现了一张1357年的求救纸条,署名竟然是乔斯顿教授,附近还发现了教授的眼镜,但距今已600多年。百思不得其解的组员们找到投资人罗伯特,方知罗伯特秘密发明了一架时光机器,能穿越虫洞将人送回到1357年。面对着这个可怕而神奇的工具,克里斯决定带领成员一同重返中世纪,拯救父亲。 影片改编自美国作家迈克尔·克莱顿(Michael Crichton)的同名小说 |
|
星际迷航 Star Trek (2009) | 故事发生在二十三世纪,人类的科技发展使星际旅行称为现实。 2230年出生于瓦肯星的男孩史波克(扎克瑞·昆图 Zachary Quinto 饰)的母亲阿曼达·格雷森(薇诺娜·赖德 Winona Ryder 饰)是人类,父亲萨瑞克(本·克劳斯 Ben Cross 饰)是一名外交官,史波克从小就不断地在严肃的瓦肯逻辑教育和他的人类情感之间挣扎。 长大后的史波克遇到了柯克(克里斯·派恩 Chris Pine 饰),两人之间经常发生矛盾冲突,但是通过种种任务考验逐渐开始互相理解。 剧中企业号的老舰长是克里斯托弗·派克(布鲁斯·格林伍德 Bruce Greenwood 饰),舰员则包括医疗官“老骨头”麦考伊(卡尔·厄本 Karl Urban 饰)、总工程师史考特(西蒙·佩吉 Simon Pegg 饰)、通讯官乌瑚拉(佐伊·桑塔纳 Zoe Saldana 饰)、舵手苏鲁(约翰·周 John Cho 饰),以及17岁的领航员——天才少年契柯夫(安东·尤金 Anton Yelchin 饰)。而来自未来的老年史波克(伦纳德·尼莫伊 Leonard Nimoy 饰)因穿越时空,告诉了柯克未来罗慕伦帝国的残余势力尼诺(艾瑞克·巴纳 Eric Bana 饰)也已经回到现在,并率领大队人马进行复仇,尼诺摧毁了史波克的家乡瓦肯星,下一个目标便是地球。 影片荣获第82届奥斯卡最佳化妆奖 |
|
超时空接触 Contact (1997) | 天文学家艾莉·爱罗维(茱迪·福斯特饰)自幼就对无线电通讯情有独钟,她的研究项目内容为接收外太空信号,她希望能借此找到宇宙其他文明的存在。一次偶然的机会,艾莉收到了来自织女星的频率信号,似乎证明了艾莉一直以来的工作是正确的。但艾莉随之深陷政治、社会、宗教、国家各个角度的矛盾与讨论的暴风中心,更要面对与神职人士帕尔默·乔丝(马修·麦康纳饰)的感情纠葛。个人与世界,真相与现实,艾莉面临的挑战远远超越学术范围 |
|
新亚洲娱乐(英文名:ASIA ENTERTAINMENT GROUP LIMITED,全称:新亚洲娱乐联盟集团有限公司)是一家以从事戏剧制作人及杂项戏剧服务为主的企业,成立于1999年,位于香港特别行政区。旗下分公司包括虎威艺能创作有限公司(TGS HK)、稻草人娱乐创作社(Scarecrow Entertainment)、虎威王朝音乐创作股份有限公司(TGS Music)、虎威活力娱乐传播有限公司(TGS Taiwan)、AK Entertainment(Korea)以及AEG Korea等。
印度孟买SENSEX30指数(又称孟买敏感指数)为印度最被广泛使用的指数,为投资印度的重要参考指标,是由孟买证券交易所发行。由于各类媒体提到的“印度股市”,实际上都是孟买股票交易所,因此,该交易所的SENSEX-30指数几乎成了印度股市的代名词。







