简介
单糖是结晶性的,可溶于水,有甜味。其分子中含有邻双醇结构,可与羰基化合物形成缩酮或缩醛,亦可发生酸化反应,在碱存在下可发生差向异构化等,具有与醛或酮类似的一些性质。单糖最主要的生理功能是提供能量,是细胞的重要组成成分和其他物质的合成原料,另外它还能应用于食品、医药和工业生产等行业中。
研究历史
糖是在1812年由俄国化学家基尔霍夫最早从葡萄中发现的。1819年,法国科学家布拉孔诺又从木屑、亚麻中得到了糖,并提出了C6H12O6实验式,以及Cx(H2O)y的结构简式,称之为“碳的水合物”。1838年杜马斯将其定义为葡萄糖。1860年法国化学家贝罗特推断葡萄糖是一种多元醇。1869年俄国化学家柯里证明葡萄糖分子中含有5个羟基。德国化学家费林和杜伦先后证明了葡萄糖具有还原性。德国化学家克里安尼确定葡萄糖是一种五羟基醛,推算出葡萄糖和果糖的结构简式。
19世纪80年代,德国化学家费歇尔开始进行糖化学研究,以葡萄糖的立体结构为目标,在19世纪90年代阐明了16种己醛糖的相对构型,并且合成了它们,从而奠定了近代糖化学结构研究基础,并以此获得诺贝尔化学奖,成为“糖化学之父”。
英国化学家柏第于1903年和哈沃斯于1915年最早用化学方法确定了糖环大小。哈沃斯在费歇尔基础上提出:糖类分子是以环状存在的,并确定了多种单糖环式结构,由此获得诺贝尔化学奖。
单糖种类
单糖是最简单的糖类分子,可按分子内所含碳原子的数目分为丙糖、丁糖、戊糖、己糖等。根据所含羰基的差异,单糖又可分为醛糖和酮糖两类。最简单的醛糖是甘油醛,最简单的酮糖是二羟基丙酮,又称为丙酮糖。自然界存在的碳数最多的单糖是含9个碳的壬酮糖。自然界中分布广、作用大的是戊糖和己糖,如核糖(ribose)、脱氧核糖(deoxyribose)属戊糖,葡萄糖(glucose)、半乳糖(galactose)、果糖(fructose)属己糖。
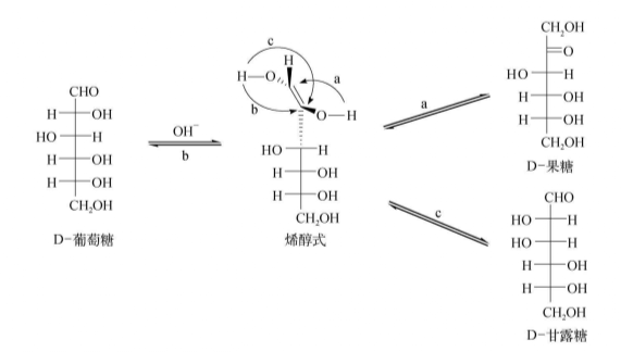
碳原子数相同的单糖之间互为立体异构体(stereoisomers)。异构体数量为2(n为不对称碳原子数)。如链状己醛糖有4个不对称碳原子,就会有16种可能的立体异构体。互为镜像结构的两个分子称为一对对映体(enantiomers),如L-葡萄糖和D-葡萄糖互为对映体。分子质量、分子结构式相同、仅有一个手性碳原子构型相反的两个分子称为差向异构体(epimers),如D-葡萄糖和D-甘露糖互为差向异构体。
单糖分布
葡萄糖是自然界分布最广的单糖,主要分布在植物的器官与组织各部分,凡是有甜味的水果都含有葡萄糖,动物的血液、淋巴、脑脊液也含有葡萄糖。葡萄糖是双糖和一些重要的多糖,如淀粉、纤维素的组成成分,因此具有重要的意义。果糖是自然界中重要的单糖,因最早是从水果中分离出来而得名。果糖几乎总是和葡萄糖共存于植物中,尤其以菊科植物中含量最多。自然界中无游离的半乳糖存在,多数半乳糖与葡萄糖结合生成乳糖,存在于动物的乳汁中,在植物中,它是棉子糖和阿拉伯胶等的组成成分,存在于棉子、树胶、海藻及苔藓类植物中。甘露糖在自然界无游离型,在植物中主要以缩合物甘露聚糖的形式存在于坚果、柑橘外皮、椰枣核、谷物、豆类及针叶树的树干中。山梨糖在自然界很少有游离型,仅发现于花椒中。核糖主要存在于细胞核内,是核酸的主要成分。木糖存在于植物界中,把麸皮、藁杆、木材、棉子壳、玉米轴等水解可得到D-木糖。自然界中的L-阿拉伯糖是植物分泌的胶黏质及半纤维等多糖的组成成分,通常是将树胶或提取糖之后剩下的糖渣加酸水解制取。
单糖结构
单糖的开链结构
除丙酮糖外,所有单糖都含有手性碳原子,且大部分单糖都有多个手性碳原子,例如:葡萄糖有四个手性碳原子,故单糖都具有一定的构型和旋光异构现象。单糖的构型常用D/L标记法来表示,标记时,距羰基最远的手性碳原子的构型,与D-甘油醛构型相同,即为D构型,反之,属于L型。天然的单糖基本上都是D构型。
单糖结构一般采用费歇尔投影式表示,为了简便起见,在构型式中略去了手性碳上的氢原子,将费歇尔投影式写成不同简化程度的简写式。例如D-葡萄糖的费歇尔投影式可用下面四种形式的任意一种来表示:

单糖的环状结构
经现代物理和化学方法研究证明,结晶状态的单糖并不是像前面结构式中表示的链状多羟基醛酮,而是以环状半缩醛或半缩酮结构存在。例如:葡萄糖结晶分子内的醛基和羟基是呈环状半缩醛结构的,当其溶于水时,其环状半缩醛结构发生开环,形成链状结构,并最终形成环状结构和链状结构共存的一个动态平衡体系。单糖环状结构的表示方法包括费歇尔投影式、哈沃斯投影式和构象式。
费歇尔投影式
在水溶液中,单糖由链状结构转变为环状半缩醛结构时,形成六元环的半缩醛称为吡喃环,五元环的半缩醛称为呋喃环,其分子构型分为α-型和β-型。以葡萄糖为例,如果手性碳C1上新形成的半缩醛羟基与决定葡萄糖构型的碳原子(C5)上的羟基处于同侧的称为β-葡萄糖,反之称为α-葡萄糖。其费歇尔投影式分别表示为:

哈沃斯投影式
哈沃斯投影式是将单糖的直立环式改写成平面环式,以D-葡萄糖为例,书写时,通常把环上的氧原子写在右上角,碳原子按编号顺时针排列。α构型的半缩醛羟基位于环的上方,β型的羟基位于环的下方。环式结构中能形成六元环的单糖称为吡喃糖,形成五元环的称为呋喃糖。D-葡萄糖的哈沃斯投影式表示为:

构象式
研究表明:吡喃糖分子中成环的碳原子和氧原子并不在同一平面内,而是有各种构象的。糖的六元环有船式构象和椅式构象,主要以稳定的椅式构象存在,其中最稳定的椅式构象有较多的羟基位于平伏键上。其中D-葡萄糖的构象式表示为:

重要的单糖
D-葡萄糖
D-葡萄糖分子式为C6H12O6,相对分子质量是180,无色晶体,易溶于水,有甜味,以游离态存在于植物果实、蜂蜜、动物血液中。D-葡萄糖苷广泛存在于自然界,如燕糖、麦芽糖、淀粉、纤维素等。天然葡萄糖水溶液旋光向右,故属于“右旋糖”。工业上可由淀粉或纤维素水解得到D-葡萄糖,工艺有酸法、酸酶法、双酶法等。
大多数生物具有分解D-葡萄糖以取得能量的能力。在活细胞中,例如哺乳动物的肌肉细胞或单细胞的酵母细胞中,葡萄糖先后经过不需氧的糖酵解途径、需氧的三羧酸循环以及生物氧化过程生成二氧化碳和水,释放出较多的能量,以ATP的形式储存起来,供生长、运动等生命活动之需。在无氧的情况下,葡萄糖仅仅被分解生成乳酸或乙醇,释放出少量能量。
葡萄糖在生物体内代谢是最重要的生化反应,是运动所需能量的重要来源。人体通过饮食获取的葡萄糖存在于血液中,也称为血糖。长期低血糖会导致头昏、恶心及营养不良等症状,而高血糖及糖代谢功能减退可导致糖尿病的发生。
D-核糖和D-脱氧核糖
D-核糖和D-脱氧核糖是重要的戊醛糖,常与一些杂环化合物及磷酸结合存在于核蛋白中。核糖的分子式C5H10O5,以糖苷的形式存在于酵母和细胞中,是核糖核酸(RNA)以及某些酶和维生素的组成成分;脱氧核糖的分子式为C5H10O4,是脱氧核糖核酸(DNA)的重要组成部分。RNA参与蛋白质和酶的生物合成过程,DNA是染色体的主要化学成分,同时也是组成基因的材料,在人类生命活动中起着重要作用。D-核糖为白色结晶性粉末,熔点为95℃,比旋光度为-21.5°;D-脱氧核糖的比旋光度为-60°。它们的分子结构分别为:

D-果糖
D-果糖分子式C6H12O6,是己酮糖中重要代表物。无色晶体,熔点为104℃,易溶于水和吡啶,可溶于乙醇。天然的果糖比旋光度为-92°。D-果糖是自然界最丰富的己酮糖,其主要以游离态存在于水果和蜂蜜中,是最甜的一种糖,也常与D-葡萄糖结合成蔗糖。在动物的前列腺和精液中也有相当量的果糖。果糖的衍生物6-磷酸果糖、1,6-二磷酸果糖不仅是体内代谢的重要中间产物,而且是高能营养性药物,可作为心肌梗死急救的辅助药物。工业上可利用蔗糖在稀盐酸或转化酶作用下大规模生产果糖,或者以淀粉为原料,淀粉水解后经固定化葡萄糖异构酶转化为转化糖,其中含有42%的果糖和58%的葡萄糖,这种商品称为果葡糖浆或高果糖浆。
D-半乳糖
D-半乳糖是己醛糖,为无色晶体,能溶于水和乙醇,比旋光度为+83.8°,在酶催化下,体内半乳糖经C4差向异构化可转化为葡萄糖。D-半乳糖与葡萄糖以糖苷键结合成乳糖,存在于哺乳动物的乳汁中,脑髓中有一些结构复杂的脑磷脂也含有半乳糖。黄豆、豌豆等种子中都含有半乳糖组成的多糖。其结构式为:

糖代谢
糖酵解
糖酵解(glycolysis)是指动物体内组织在无氧条件下,细胞液中葡萄糖降解为乳酸并伴随着少量ATP生成的一系列反应。糖酵解全过程的揭示,沁透着许多科学家的心血,尤以生物化学家G.Embden、O.Meyerhof、J.K.Parnas等贡献最大,故糖酵解途径又称Embden-Meyerhof-Parnas途径,简称EMP途径。
糖酵解是在细胞液中进行的一系列酶促反应。从葡萄糖开始直到生成乳酸,全过程共有11步,分为两个阶段。1分子葡萄糖经第一阶段共5步反应,消耗2分子ATP,为耗能过程,葡萄糖或糖原通过磷酸化作用为其分解代谢做好准备,然后再裂解为三碳糖,即3-磷酸甘油醛。第二阶段6步反应生成4分子ATP,为释能过程。具体步骤为:
糖酵解反应过程总结步骤 | 反应过程 | 反应类型 | 酶 |
1 | 葡萄糖+ATP→葡糖-6-磷酸+ADP | 磷酸化反应 | 己糖激酶 |
2 | 葡糖-6-磷酸↔果糖-6-磷酸 | 异构反应 | 磷酸己糖异构酶 |
3 | 果糖-6-磷酸+ATP→果糖-1,6-二磷酸+ADP | 磷酸化反应 | 磷酸果糖激酶-1 |
4 | 果糖-1,6-二磷酸↔磷酸二羟丙酮+3-磷酸甘油醛 | 裂解反应 | 醛缩酶 |
5 | 磷酸二羟丙酮↔3-磷酸甘油醛 | 异构反应 | 磷酸丙糖异构酶 |
6 | 3-磷酸甘油醛+NAD+Pi+↔1,3-二磷酸甘油酸+NADH+H | 氧化反应 | 3-磷酸甘油醛脱氢酶 |
7 | 1,3-二磷酸甘油酸+ADP↔3-磷酸甘油酸+ATP | 底物水平磷酸化 | 磷酸甘油酸激酶 |
8 | 3-磷酸甘油酸↔2-磷酸甘油酸 | 异构反应 | 磷酸甘油酸变位酶 |
9 | 2-磷酸甘油酸↔磷酸烯醇式丙酮酸+H2O | 脱水反应 | 烯醇化酶 |
10 | 磷酸烯醇式丙酮酸+ADP→丙酮酸+ATP | 底物水平磷酸化 | 丙酮酸激酶 |
11 | 丙酮酸+NADH+H→乳酸+NAD | 还原反应 | 乳酸脱氢酶 |
糖的有氧氧化
葡萄糖在有氧条件下彻底氧化分解生成二氧化碳和水的过程称为糖的有氧氧化(aerobic oxidation)。糖的有氧氧化可分为三个阶段:第一阶段是由葡萄糖生成丙酮酸的过程,即在细胞质中经酵解生成丙酮酸;第二阶段是丙酮酸进入线粒体后氧化脱羧生成乙酰CoA;第三阶段为乙酰CoA进入三羧酸循环和氧化磷酸化的过程。具体反应过程为:
糖有氧氧化的供能 | 有氧氧化反应 | 辅酶 | ATP |
第一阶段 | 葡萄糖→葡糖-6-磷酸 | | -1 |
果糖-6-磷酸→果糖-1,6-二磷酸 | | -1 |
2x(3-磷酸甘油醛→1,3-二磷酸甘油酸) | 2NADH(胞质) | 3或5 |
2x(1,3-二磷酸甘油酸→3-磷酸甘油酸) | | 2 |
2x(磷酸烯醇式丙酮酸→丙酮酸) | | 2 |
第二阶段 | 2x(丙酮酸→乙酰CoA) | 2NADH(线粒体基质) | 5 |
第三阶段 | 2x(异柠檬酸→α-酮戊二酸) | 2NADH(线粒体基质) | 5 |
2x(α-酮戊二酸→琥珀酰CoA) | 2NADH | 5 |
2x(琥珀酰CoA→琥珀酸) | | 2 |
2x(琥珀酸→延胡索酸) | 2FADH2 | 3 |
2x(苹果酸→草酰乙酸) | 2NADH | 5 |
净生成 | | 30ATP或32ATP |
糖异生
糖异生(gluconeogencsis)是指由非糖物质转变成葡萄糖或糖原的过程。它是动物细胞自身合成葡萄糖的唯一途径,主要发生在肝和肾中。糖异生途径基本上是糖酵解的逆反应过程。酵解途径与糖异生途径的多数反应是共有的,是可逆的,但酵解途径中有3个不可逆反应,在糖异生途径中须由另外的反应和酶代替,分别为:
糖酵解中不可逆反应 | 糖异生中所需要的酶 |
葡糖-6-磷酸→葡萄糖 | 葡糖-6-磷酸酶 |
果糖-1,6-二磷酸→果糖-6-磷酸 | 果糖二磷酸酶-1 |
丙酮酸→草酸乙酰→磷酸烯醇式丙酮酸 | 丙酮酸羧化酶、磷酸烯醇式丙酮酸羧激酶 |
物理性质
单糖都是无色晶体,大多数有甜味,在水中的溶解度很大,常能形成过饱和溶液-糖浆。单糖还可溶于乙醇和吡啶,但难溶于乙醚、丙酮、苯等极性小的有机溶剂。除二羟基丙酮外,所有单糖都有旋光性,天然的单糖大都是D构型的,能形成环状结构的单糖都存在变旋现象。
化学性质
差向异构化反应
在弱碱性条件下,单糖分子中与羰基相邻的不对称碳原子的构型发生变化,通过烯醇式中间体,部分转化成酮糖,另一部分成为一对差向异构体称为差向异构化反应。其中D-葡萄糖差向异构化反应式如下:

氧化和还原反应
碱性条件氧化
在碱性条件下,单糖无论是醛糖或酮糖,都能被弱氧化剂如托伦试剂、班氏试剂氧化。凡是能与这些弱氧化剂发生氧化反应的糖称为还原糖,反之则为非还原糖。
单糖与托伦试剂反应,有单质银析出,故该反应也称为银镜反应。单糖与斐林试剂及班氏试剂反应,生成砖红色的氧化亚铜沉淀。该反应在临床上常用来检验糖尿病患者的尿液中是否含有葡萄糖的试验,并根据产生氧化亚铜沉淀的颜色深浅以及量的多少来判断葡萄糖的含量。
酸性条件氧化
单糖与溴水的反应,可根据溴水的棕红色是否褪去来区分醛糖和酮糖,醛糖能氧化为糖酸,酮糖不被氧化。其反应式如下:

稀硝酸能将醛糖氧化生成糖二酸, 也能将酮糖氧化生成较小分子的二元酸。反应方程式为:


生物体内氧化
在酶的作用下,生物体内某些醛糖羟甲基可被氧化成羧基,而醛基保持不变,生成相应的糖醛酸。如葡萄糖氧化成葡萄糖醛酸,半乳糖氧化成半乳糖醛酸。反应式为:

单糖还能发生还原反应。工业上常以镍、钯、铂为催化剂进行催化加氢,或在实验室中在金属氢化物NaBH4的作用下,单糖中的羰基被还原成羟基,生成相应的糖醇。
成脎和成苷反应
单糖的羰基与苯肼反应生成苯腙。在过量的苯肼存在下,苯腙能继续与苯肼反应生成糖脎。糖脎都是不溶于水的黄色结晶,不同的糖脎有特异的晶型和熔点,据此,可以定性鉴定糖的种类。D-葡萄糖成脎反应方程式为:

单糖环状结构中,半缩醛基可以与其他含羟基的化合物如醇等脱水形成环状缩醛结构,这种结构的糖衍生物叫做糖苷。

成酯和成醚反应
单糖分子中的羟基既能与酸反应生成酯,又能在碱性介质中与甲基化试剂生成醚。
在生物体内,α-D-葡萄糖在酶的催化下与磷酸发生酯化反应,生成1-磷酸-α-D-葡萄糖和1,6-二磷酸-α-D-葡萄糖。单糖的磷酸酯是生物体糖代谢过程中的重要中间产物。若作物缺磷,磷酸酯的合成便出现障碍,影响作物的光合作用和呼吸作用。

显色反应
单糖与浓酸作用,发生分子内脱水生成糠醛或它的衍生物,常用来鉴定糖类。重要的显色反应如下:
莫力许(Molisch)反应:糖在浓硫酸的作用下和α-萘酚反应,生成紫色物质,是鉴别糖类常用的方法。
西里瓦诺夫(Seliwanoff)反应:酮糖与间苯二酚的浓盐酸溶液反应,生成红色物质,醛糖在同样条件下不显色或显微红色,用来区别醛糖和酮糖。
蒽酮反应:糖与蒽酮的浓硫酸溶液作用生成绿色物质,用来定量测定糖类。
皮阿耳(Bial)反应:戊糖与5-甲基-1,3-苯二酚的浓盐酸溶液作用,生成绿色物质,用来鉴别戊糖和己糖。
狄斯克(Diseke)反应:脱氧核糖与二苯胺的乙酸和浓硫酸的混合液共热,生成蓝色物质,用来鉴别脱氧核糖。
美拉德和焦糖化反应
在食品化学中,含有羰基的糖类分子中的羰基,能与氨基酸、蛋白质、胺等含氨基的化合物分子中的氨基反应,产生具有特殊气味的棕褐色产物,即形成褐色色素,称之为羰氨反应。羰氨反应是由法国著名科学家美拉德(Maillard)发现的,所以也称美拉德反应。它是食品在加热或长期储存后发生褐变的主要原因,羰氨反应的产物随反应物的种类而变,不同的原料发生羰氨反应后产生的香气不同,主要是原料中所含的成分不同而造成的。
糖类在没有氨基化合物存在的情况下,加热到熔点以上,也会发生褐变现象,这种作用称为非酶褐变,也称焦糖化反应。
功能与应用
生理功能
氧化供能提供能量是糖最主要的生理功能,人体所需的能量50%-70%来自于糖的分解,I mol葡萄糖彻底氧化分解可以释放出2840 kJ的能量。这些能量一部分用来维持体温,另一部分用于完成机体的各种生理活动,比如腺体分泌、肌肉收缩、神经传导等;
储能糖在体内可以糖原的形式进行储存,这是机体储存能源的重要方式。当机体需要时,糖原分解并释放入血,可有效地维持正常血糖的浓度,保证重要生命器官的能量供给;
作为人体组织结构的组成成分。糖是细胞的重要组成成分,如糖脂和糖蛋白是细胞膜的组成成分;
提供其他物质的合成原料。糖在分解代谢过程中产生的一些中间代谢物可以作为其他物质的合成原料;
糖还能用于细胞间的相互识别。
应用领域
葡萄糖是人体新陈代谢不可缺少的重要营养物质,在食品中可作为营养剂、甜味剂,常以葡萄糖浆的形式用于点心、糖果的加工中。在医药上作为营养剂,并具有强心、利尿、解毒等功效,用于病重、病危人的静脉注射。此外,葡萄糖还是葡萄糖酸钙(锌)、维生素C、山梨糖醇的生产原料,在印染、制革、镀银工业中常用做还原剂。果糖主要用于甜味剂和营养添加剂,在食品加工中,常将葡萄糖浆通过一种转化酶的催化作用,发生互变异构,使部分葡萄糖转化为果糖,提高糖浆甜度,这种转化的糖浆称为果-葡糖浆。
食品生产中单糖的美拉德反应应用较广泛。如面包金黄色的外表及风味的形成,烤肉啤酒、茶叶制作,可可豆、咖啡的焙烤,太妃糖的风味生成、点心棕红色泽的形成,酱油、豆酱的颜色形成等。单糖的焦糖化反应在烹饪和食品行业中也广泛存在。
安全事宜
血液中的葡萄糖,称为血糖(blood sugar)。体内血糖浓度是反映机体内糖代谢状况的一项重要指标。人进食后血糖浓度略有升高、饥饿时血糖浓度略有降低,但正常人安静空腹时血糖浓度是相对恒定的。血糖浓度的维持,对于机体各组织器官特别是脑组织的正常机能活动极为重要,脑组织主要依靠糖有氧氧化供能,所以脑组织在血糖低于正常值的1/3~1/2时,可引起功能障碍,严重将导致动物体死亡。
喜欢甜味食品是许多人的嗜好。长期过量食用糖类会引起肥胖、糖尿病和心血管疾病等慢性疾病。糖的燃烧和转化需要胰岛素,过量的糖可导致胰岛素抵抗症、高胰岛素血症,会使胰脏因过度疲劳而失灵,从而引发糖尿病;食糖过量可导致高胰岛素血症,并导致“三高”,诱发“三病”;糖的消耗能带走维生素B族类,影响胆碱对大脑记忆作用的发挥;食糖过多会使人厌食,尤其是儿童,厌食会影响儿童发育成长;体内过量的糖会转化为甘油三酯储存起来,从而导致肥胖;过量糖类还会导致损坏牙齿、损害皮肤、降低精力等危害。