简介
月桂醇聚醚硫酸酯钠生产成本低,并具有较高的乳化性能和发泡性能,因此广泛应用于肥皂、沐浴露、洗面奶和洗发水等日化产品的生产中。月桂醇聚醚硫酸酯钠还具有良好的抗菌性能,可用于生产消毒剂或抗菌剂等,也可在食品工业领域中用于防治微生物污染。其还可在医学中用于制备脱细胞支架,在材料领域中用于金属材料的改性等。
月桂醇聚醚硫酸酯钠对皮肤和眼睛具有刺激性。其本身无毒,但它是一种亚硝化剂,分解或发生其他反应时可能会释放出致癌物质亚硝胺和1,4-二噁烷。月桂醇聚醚硫酸酯钠对水生生物有严重影响,对陆生植物具有低毒性。
发现历史
公元前2500年~公元前1850年,用羊油和草木灰制造肥皂,这种肥皂可看成是最早的表面活性剂。19世纪中叶,出现了化学合成的表面活性剂,第一次世界大战期间,出现了油脂。由于煤化工业的发展,出现了短链烷基、萘磺酸盐类表面活性剂,1920年~1930年人们发现脂肪醇硫酸化会生成烷基硫酸盐,1930年月桂醇聚醚硫酸酯钠由德国试制成功。
理化性质
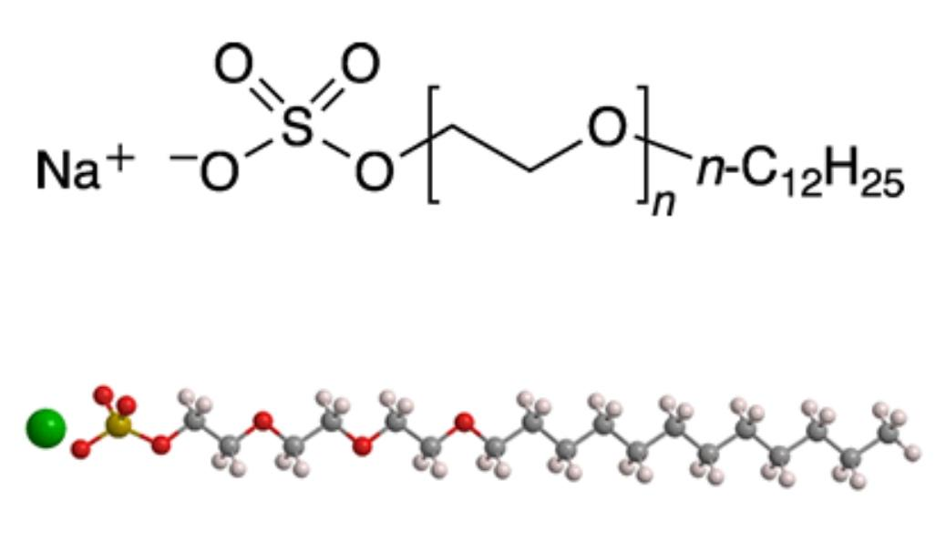
月桂醇聚醚硫酸酯钠外观呈黄色透明液体,有特殊气味,具有黏性,可溶于水和乙醇。熔点为126-136 ℃,10%水溶液的pH值为7.5-9.0,黏度最大为2500 cps。月桂醇聚醚硫酸酯钠是一种低聚物,由直碳链组成,不含有苯环因而结构简单。月桂醇聚醚硫酸酯钠中有带负电荷的极性基团,在水溶液中具有强电解质的性质。
月桂醇聚醚硫酸酯钠作为一种阴离子表面活性剂可与阳离子表面活性剂发生缔合反应,如与N-烷基-1,3-丙二胺在水溶液中反应。月桂醇聚醚硫酸酯钠首先水解脱去钠离子,如图1所示。N-烷基-1,3-丙二胺与一个氢离子加合,如图2所示。两者再通过N-O缔合形成新的分子,如图3所示。



月桂醇聚醚硫酸酯钠分子式为(C₂H₄O)nC₁₂H₂₅NaO₄S,由于其分子中连有聚乙二醇链,所以溶解性和起泡性均较好。月桂醇聚醚硫酸酯钠性能较温和,抗电解质和耐硬水性更好,具有良好的增溶性。
月桂醇聚醚硫酸酯钠具有阴离子亲水基和非极性疏水基,它们与蛋白质作用可形成吸附复合物。表面活性剂的带负电荷亲水基与蛋白质分子带正电荷基团之间相互作用,这是在它们两者之间产生疏水缔合的前提。
应用领域
月桂醇聚醚硫酸酯钠生产成本低,并具有较高的乳化性能和发泡性能,因此广泛应用于肥皂、沐浴露、洗面奶和洗发水等日化产品的生产中。月桂醇聚醚硫酸酯钠还具有良好的抗菌性能,可用于生产消毒剂或抗菌剂等,也可在食品工业领域中用于防治微生物污染。月桂醇聚醚硫酸酯钠还可在医学中用于制备脱细胞支架,在材料领域中用于金属材料的改性等。
日化领域
月桂醇聚醚硫酸酯钠是一种阴离子表面活性剂,因其生产成本低,并具有较高的乳化性能和发泡性能,因此可作为清洁剂、乳化剂、稳定剂和增稠剂广泛应用于肥皂、沐浴露、洗发水、洗面奶、化妆品和护肤品等日化产品的生产中。月桂醇聚醚硫酸酯钠对皮肤具有一定的刺激性,所以在护肤品、沐浴露等与皮肤直接接触的个护产品的生产中可加入海洋胶原蛋白、月桂醇聚醚羧酸钠和月桂基葡糖苷等物质以增强月桂醇聚醚硫酸酯钠的温和性,降低其对皮肤的刺激并提高其使用性能。含有月桂醇聚醚硫酸酯钠洗发水可达到深层清洁的目的,但有可能导致头发粗糙。月桂醇聚醚硫酸酯钠与非离子表面活性剂如烷基聚葡萄糖苷(APG)的混合物的性能与单独的月桂醇聚醚硫酸酯钠相比,具有更低的表面张力和更好的洗涤性能、发泡性能及稳定性,且对高碳氢化合物具有良好的溶解性,所以可用于生产洗碗机洗涤剂等。
生物领域
月桂醇聚醚硫酸酯钠具有良好的抗菌性能,作为一种表面活性剂,其疏水的一面可以溶解病毒和细菌的外壳,而亲水的一面可以溶解在水中。因此月桂醇聚醚硫酸酯钠可用于生产消毒剂或抗菌剂等。月桂醇聚醚硫酸酯钠和等离子体活化水(PAW)联用可灭活酿酒酵母菌,因此可在食品工业中用于防治微生物污染。
医学领域
月桂醇聚醚硫酸酯钠在医学中可用于制备脱细胞支架。其能显著降低移脱细胞心脏和肾脏的炎症和血栓形成性,更好地保存了蛋白聚糖、细胞因子和ECM(细胞外基质)微结构,包括ECM层流阵列和血管周围的基底膜。由月桂醇聚醚硫酸酯钠处理的脱细胞支架可作为干细胞分化的生态位。如经月桂醇聚醚硫酸酯钠制备的卵巢脱细胞支架可用于治疗卵巢功能衰竭等疾病。
农业领域
在农药助剂中,阴离子型表面活性剂是仅次于非离子的类型,品种多、应用广、用量大,可用作分散剂、乳化剂、润湿剂、渗透剂、喷雾助剂、悬浮剂助剂和化学稳定剂等。表面活性剂的加入,大大降低了溶液的表面张力,减少了接触角,增加了在植物体表或害虫体表的润湿、展布以及附着能力,同时又有对药液有吸附、渗透和输导作用,从而提高了药效。
材料领域
月桂醇聚醚硫酸酯钠可与PbO₂等物质制成表面活性剂-氧化物复合电化学涂层,改善金属表面并提高其强度特性,还可以提高涂层的耐腐蚀性,改善其电催化活性和电导率等。
建筑领域
月桂醇聚醚硫酸酯钠在建筑领域中可用作TBM-EPB(双模式盾构机)机械化隧道掘进的润滑剂。
制备方法
月桂醇聚醚硫酸酯钠可以由十二醇(工业上从棕榈油和椰子油提取)与环氧乙烷为原料制得。将十二醇与环氧乙烷在KOH和催化剂作用下发生乙氧基化反应,再经三氧化硫或氯磺酸磺化后,与碱中和即形成月桂醇聚醚硫酸酯钠,反应过程如下:

环境危害
月桂醇聚醚硫酸酯钠对水生生物有严重影响。但其在土壤中很容易被天然微生物群生物降解,所以对陆生植物具有低毒性,能对陆生植物的光合作用和生长造成微弱的影响。
治理措施
化妆品等工厂排放的工业废水中通常含有较高浓度的月桂醇聚醚硫酸酯钠,可采用好氧菌如布氏柠檬酸杆菌、乙酸钙不动杆菌、产酸克雷伯氏菌和气味沙雷菌或厌氧菌如单胞菌、假单胞菌等对其进行微生物降解,其降解过程如下图所示。月桂醇聚醚硫酸酯钠作为假单胞菌、不动杆菌、窄食单胞菌和假黄单胞菌的唯一的碳源,在几小时内就可以被降解。
