概念阐释
定义
期权是买方向卖方支付一定数量的金额(权利金)后拥有的在未来一段时间内或未来某一特定日期以事先规定好的价格(执行价格)向卖方购买或出售一定数量的特定标的物的权利,且买方不负有必须买进或卖出的义务。因此,期权的本质是花钱买一种权利,如果买的是一种可以买入某个东西的权利,就称这种期权为看涨期权(认购期权),反之则为看跌期权(认沽期权)。
要素
标的物(标的资产):标的物是期权买方行权的指向对象,也称标的资产,它可以是某种商品资产,也可以是某种金融资产,例如,上证50ETF期权对应的标的物是上证50ETF(股票代码510050)。
选择权:选择权包括买权和卖权,买权指买入某标的资产的权利,买权则是卖出某标的资产的权利。选择权指购得权利者可以选择行使这种权利(买权或卖权),或者选择放弃这种权利。按照期权的定义,仅有期权的买方拥有行权或不行权的选择权利,期权的卖方没有这种权利,也就是说卖方仅有当买方要求行权时的配合义务。
期权价格:期权买方获得权利是以支付期权费为对价的,购买权利的价格即为期权价格,或者称为期权费、保险费、权利金。期权价格由内涵价值和时间价值构成,同时受执行价格、标的物市场价格、标的物市场价格波动率、剩余期限和利率等因素影响。
行权方向:行权方向是指当买方行使权利时,交易标的资产的操作方向,即买入标的资产或者卖出标的资产。
行权价(执行价格):又称执行价格、履约价格或敲定价格,和期货类似,即合同的订立执行价,到期日买方可以以该价格执行合同。
行权日(到期日):每一个期权合约都有一个对应的行权日(也称到期日或交割日),即合同履行日。投资者可以选择在到期日履行合同(行权交割),也可以在到期日之前将合同转让出去,在交易中一般称其为平仓。在实际交易中,等到到期日去履行合同的人较少,即实际持有期权合约到期的人很少。
发展历史
期权市场历史悠久,公元前的期权为古代期权,以圣经故事、橄榄压榨机故事为代表;17世纪前的期权为近代期权,以郁金香事件为代表;18世纪以后的期权为现代期权,以1973年芝加哥期权交易所成立为代表。
古代期权
第一项期权交易记录是在《圣经·创世纪》中的一个合同制的协议。大约公元前1700年,雅克布和拉班签订了一个契约,在同意为拉班工作七年的条件下,得到同其女儿瑞切尔结婚的许可。从期权的定义来看,雅克布以七年劳工为“权利金”,获得了同瑞切尔结婚的“权利而非义务”。除此之外,在亚里士多德的《政治学》一书中,也记载了古希腊哲学家、数学家泰利斯利用天文知识,预测来年春季的橄榄收成,然后以极低的价格取得西奥斯和米拉特斯地区橄榄压榨机的使用权的情形,而这种“使用权”已隐含了期权的概念。
近代期权
在17世纪的荷兰,郁金香是贵族社会身份的象征,许多批发商普遍出售远期交割的郁金香以获取利润,而为了减少风险,确保利润,许多批发商从郁金香的种植者那里购买期权,即在一个特定的时期内,按照一个预定的价格,从种植者那里购买郁金香,后来又逐渐形成了一个郁金香球茎期权的二级市场。
进入18世纪,在工业革命和运输贸易的刺激下,金融市场得到了进一步的发展,逐渐产生了期权的场外交易市场。在这种形式下,有一些期货经纪商为一份合约找到买方和卖方,帮助他们就合约里面的条款达成协议,买卖就成交了。
现代期权
1973年4月,芝加哥期权交易所(CBOE)正式成立,标志着期权交易进入了标准化、规范化的发展阶段,也标志着现代意义的期权市场(场内期权市场)的诞生。经过40多年的发展,期权在全球范围内随着金融市场和金融衍生品的完善逐步成长起来,交易规模不断增加,交易品种日渐丰富,交易所也取得了长足发展(见下表)。
时间 | 事件 |
1973年 | 美国芝加哥期权交易所(CBOE)成立,进行统一化和标准化的股票看涨期权合约买卖 |
1975年 | 美国股票交易所(AMEX)及费城股票交易所(PHLX)开始交易股票期权,场内期权市场规模扩大 |
1977年 | 芝加哥期权交易所(CBOE)开始了看跌期权的交易 |
1982年 | 芝加哥期货交易所(CBOT)推出了长期国债期货的期权交易 |
1983年 | 芝加哥商业交易所推出了S&P 500股票指数期权,随后各类股票指数期权合约纷纷在芝加哥期权交易所、美国股票交易所和纽约证券交易所(NYSE)上市交易 |
1985年 | 外汇期权开始在芝加哥及费城交易 |
1984—1986年 | 芝加哥期货交易所先后推出了大豆、玉米和小麦等品种的期货期权 |
期权在中国的发展
期权交易在中国发展起步较晚,最开始进入中国的是类似期权的权证。权证,是上市公司跟普通投资者之间的约定(期权约定的双方一般是普通的投资者)。2008年,多家股份有限公司将权证上市(如南航认沽权证),丰富了中国的金融市场。 2013年,中国各证券期货交易所加快了期权筹备工作的步伐,其中包括合约、交易规则的设计以及交易系统的建立和完善。2015年,证监会发布《股票期权交易试点管理办法》及配套规则,对股票期权交易的要点和参与各方的权利义务做了明确规定,为股票期权交易提供上位法依据。2015年2月9日,上证50ETF期权合约品种上市,中国期权市场开始走向成熟。
交易形式
期权的基本交易形式有四个:买入看涨期权(long call)、卖出看涨期权(short call)、买入看跌期权(long put)和卖出看跌期权(short put)。为表述方便,下表公式中C代表看涨期权价格/权利金,P代表看跌期权价格/权利金,X代表期权合约的执行价格,S代表期权合约标的资产市场价格。
期权基本交易形式交易形式 | 概念 | 特征 | 利润函数 | 盈亏分析 |
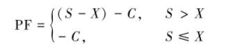
买入看涨期权 (买入买权) | 投资者支付权利金,获得在未来特定时间以执行价格购买标的资产的权利 | 损失有限,最大损失为支付的权利金;不需要缴纳保证金 | 
| 看涨期权多头的盈利源于标的资产市场价格S和执行价格X的价差(S-X) 当S > X,买方行权盈利为 (S-X)-C,这个值可能为负值或正值,或者为0; 当S = X,买方盈亏平衡,不管是行权还是不行权,损失都是C; 当S < X,买方亏损,如果行权,则损失(S-X)-C,如果不行权,则损失为权利金C |
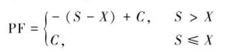
卖出看涨期权(卖出买权) | 投资者收取权利金,承担未来特定时间以执行价格卖出标的资产的义务 | 盈利有限,最大盈利为收取的权利金;需要缴纳保证金 | 
| S ≤ X:卖方有盈利,盈利为收取的权利金C; S > X:空头的收益为C-(S-X),如果价差大于期权费,空头有净损失,如果价差小于期权费,空头还有净盈利 |
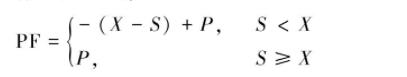
买入看跌期权(买入卖权) | 投资者支付权利金,获得在未来特定时间以执行价格卖出标的资产的权利 | 损失有限,最大损失为支付的权利金;不需要缴纳保证金 | 
| 当S≥X时,看跌期权买方通常会选择不行权以减少损失,不行权时损失仅为P 当X-P<S<X时,虽然行权收益为负,但相对于不行权的损失P,行权损失较小 当S=X-P时,标的物的价差收益正好抵消之前支付的期权费 当S<X-P时,行权的价差收益不仅完全抵消了期权费,还有盈余,因此,看跌期权买方行权会带来正的净收益 |
卖出看跌期权(卖出卖权) | 投资者收取权利金,承担未来特定时间以执行价格买入标的资产的义务 | 盈利有限,最大盈利为收取的权利金;需要缴纳保证金 | 
| 当S≥X时,看跌期权多头放弃行权,空头获得期权费收入P; 当S>X时,看跌期权多头行权,相应地,空头收益会减少,甚至当S<X-P时,有净亏损 |
参考文献: |
交易机制
交易方
期权交易由买方和卖方构成,买卖双方在期权交易中的地位是不对等的。买方通过购买期权获得买权或卖权,无需承担任何义务。买方可以选择买入看涨期权或买入看跌期权。期权卖方在出售期权后失去权利,需承担相关义务。卖方可以选择卖出看涨期权或卖出看跌期权。
权利金
期权权利金是购买或卖出期权合约的价格,别称“期权价格”“权价”,主要由内涵价值和时间价值组成。期权权利金是期权买方支付给卖方的费用,同时也是期权卖方从买方处收到的报酬。权利金也叫“保险金”,因为它是买方在极端情况下所需承担的最大损失。权利金的金额取决于期权合约的各种因素,如到期月份和敲定价格,最终的权利金由买卖双方的经纪人在期货交易所通过竞价确定。
交易指令
每个期货交易所都有对期权交易指令的规定。《大连商品交易所期权交易管理办法》规定:交易所对期权合约提供限价指令和限价止损(盈)等指令;限价指令可以附加立即全部成交否则自动撤销和立即成交剩余指令自动撤销两种指令属性。
了结方式
期权合约了结方式包括平仓、行权和放弃三种。平仓是指买人或者卖出与所持期权合约的数量、标的物、月份、到期日、类型和行权价格相同但交易方向相反的期权合约,了结期权合约的方式;行权是指期权买方按照规定行使权利,以行权价格买人或者卖出标的期货合约,了结期权合约的方式;放弃是指期权合约到期,买方不行使权利以了结期权合约的方式。
保证金制度
保证金制度,指的是在金融衍生品交易时,交易者需缴纳一定比例的履约担保资金,以作为履行合约义务的保证。保证金是动态计算的,随着市场及标的资产变动情况而变化,交易者需视该变动情况来确定是否追加相应的保证金。作为金融衍生品市场风险控制的重要一环,保证金制度提供了履约担保,防范了交易者的违约风险。
期权交易也实行保证金制度,只是交纳保证金的是期权卖方。按照《大连商品交易所期权交易管理办法》规定,期权交易的买方支付权利金,不交纳交易保证金;期权交易的卖方收取权利金,交纳交易保证金。
限仓制度
期权限仓是指交易所规定非期货公司会员或者客户可以持有的,按单边计算的某月份期权合约投机持仓的最大数量。期权合约与期货合约不合并限仓。期权合约在其交易过程中的不同时间段,分别适用不同的持仓限额。按照规定,交易所也可以实行限额制度。
风险指标
期权的价格受标的资产市场价格、标的资产的波动率、期权的有效期、期权的执行价格、无风险利率和标的资产的收益率因素的影响,量化各类风险对期权风险管理和投资决策有重要意义,由Black-Scholes模型衍生出的希腊字母体系正是这样一套风险管理工具,期权交易者可以将期权交易过程转化为对希腊字母的管理。
常用的期权希腊字母有4个,分别是Delta、Gamma、Theta、Vega,其中Delta衡量期权合约与标的资产的联动比例,对应的风险因素是标的资产价格变化,Gamma衡量期权Delta变化的速度,对应的风险因素同样是标的资产价格变化,Theta衡量期权权利金时间价值流失的速度,对应的风险因素是期权到期时间变化,Vega则衡量标的资产变动幅度对期权权利金影响的程度,对应的风险因素是标的资产价格的波动率变化。
特点
双向交易
在期权交易中,投资者既可以预测某个资产价格上涨,通过买入看涨期权和卖出看跌期权来投资,也可以预测价格下跌,通过买入看跌期权或卖出看涨期权来投资,这种预测价格下跌并进行交易的行为被称为做空,通常出现在市场行情不佳的情况下。
投资者除了能够买入看涨期权和卖出看跌期权,去对预期价格上涨的标的物进行投资,也能通过买入看跌期权或卖出看涨期权去锚定预期价格下降的标的物进行交易,从而获得收益,这种预测价格下跌而进行交易的行为俗称为做空,流行于行情较差的市场中。
杠杆效应
在期权交易中,投资者通常需要支付一定数额的现金(称为权利金)来购买期权,这笔现金要远远小于购买实物资产所需的资金,这是因为期权交易允许投资者利用所谓的"杠杆"(leverage)来放大自己的投资回报,而杠杆效应是指期权价格波动的百分比相对于标的资产价格变动的百分比具有放大作用,具体来说,这意味着当标的资产价格发生变动时,期权价格的变动幅度会相对更大,换句话说,投资者通过支付较小的权利金购买期权,可以在不直接购买实物资产的情况下,获得较大的潜在收益。
权利与义务不对等
在期权交易中,权利与义务的不对等是指期权合约的买方和卖方在交易过程中所承担的责任和所享有的权益存在差异,这主要表现在以下几个方面:
1.期权合约的卖方在交易中获得权利金(期权合约的价格,是买方支付给卖方的费用),而当卖方在收到权利金后,就有义务在买方要求执行期权时,向买方出售或购买标的资产。
2.期权合约的买方在交易中拥有选择权,他们可以选择在合约到期时执行期权,也可以选择放弃行权,或者在合约到期之前将期权卖掉,这意味着买方在交易过程中有更大的灵活性。
3.为了避免到期时履约的义务,期权卖方可以选择在合约到期之前进行对冲操作(通过购买或出售另一种相关的金融工具来抵消原有头寸的风险),例如,卖出看涨期权的卖方可以在到期前买入与原先出售的期权相同或类似的期权合约,从而抵消原先的义务。
收益和风险不对等
在期权交易中。期权买方为了获得在未来某一时间购买或出售标的资产的权利,支付给卖方一定数量的权利金(即期权价格),在购买期权合约后,买方拥有在未来行权(执行购买或出售权利)的选择权,这意味着,买方可以根据市场情况决定是否执行购买或出售标的资产。由于买方支付了权利金,他们的最大损失就是已支付的权利金,然而,买方的潜在收益是巨大的,因为当标的资产价格向有利于买方的方向变动时,买方可能会获得超过权利金的收益。
期权卖方收到了买方支付的权利金,但承担了在未来可能需要向买方出售或购买标的资产的义务,这意味着当买方决定行权时,卖方必须履行其合约义务。相比买方,卖方的最大收益仅限于收到的权利金,而潜在损失可能是巨大的,当标的资产价格向有利于买方的方向变动时,卖方需要向买方履行合约义务,可能会遭受巨大损失。
非线性盈亏状态
期权交易具有非线性盈亏的特点,也就是说,投资者的损益并不随标的资产(如股票、债券、期货等)的价格变化而呈线性变化,而这主要源于权利金的非线性变动、内在价值与时间价值的组合以及期权的杠杆效应等因素。
首先,随着标的资产价格的变化,权利金的价值也会有所变动,然而,这种变动并不是线性的,当标的资产价格变动在一定范围内时,权利金的变动可能较小,而当价格变动超过这个范围时,权利金的变动可能会加大,这就导致了期权交易者的损益呈现出非线性特征。
其次,期权价格由内在价值(标的资产当前价格与期权行权价格之间的差额)和时间价值(反映了期权剩余到期时间对期权价值的影响)组成,内在价值随标的资产价格的变化而变化,而时间价值则会随着期权合约接近到期而逐渐减小,这种内在价值与时间价值的组合使得期权价格的变动呈现出非线性特征。
最后,期权交易具有杠杆效应,即期权价格的百分比变动相对于标的资产价格的百分比变动具有放大作用,这种杠杆效应也使得期权交易者的损益呈现出非线性特征,当标的资产价格变动较大时,期权价格的变动可能会更加显著,从而导致期权交易者的盈亏变动加大。
正因为期权具有非线性盈亏状态,它在风险管理和组合投资方面具有明显优势。通过将不同期权与其他投资工具(如股票、债券、期货等)组合,投资者可以构建具有不同风险收益特征的投资组合,从而实现更加有效的风险管理和收益优化。
分类
期权种类分类标准 | 种类名称 | 说明 |
合约类型 | 认购期权 | 期权购买者在有效期内按执行价格买入标的物的权利 |
认沽期权 | 期权购买者在有效期内按执行价格卖出标的物的权利 |
标的资产类别 | 股票期权 | 以公司股票为标的物的期权 |
股指期权 | 以股票指数为标的物的期权 |
利率期权 | 以利率工具为标的物的期权 |
外汇期权 | 以外汇资产为标的物的期权 |
商品期权 | 以实物为标的物的期权 |
行权方式 | 美式期权 | 期权到期日前任何交易日都可行权 |
欧式期权 | 期权只能在到期日行权 |
百慕大期权 | 期权可在一系列特定日期行权 |
标的资产价格与行权价格 | 实值期权 | 标的资产价格大于行权价格的认购期权,或标的资产价格小于行权价格的认沽期权 |
平值期权 | 标的资产价格等于行权价格的认购期权和认沽期权 |
虚值期权 | 标的资产价格小于行权价格的认购期权,或标的资产价格大于行权价格的认沽期权 |
交易场所 | 场内期权 | 在交易所内进行交易的期权 |
场外期权 | 在交易所外进行交易的期权 |
参考文献: |
影响
正面
价格发现
期权交易能够帮助投资者发现资产的合理价格,这是因为期权市场中有许多潜在的买家和卖家进行自由竞价(市场上的买卖双方根据自己的需求和预期来确定价格),在这个过程中,双方根据自己对资产未来价值的预期来出价,当买家和卖家达成一致时,最终形成一个均衡价格,这个均衡价格反映了当时市场上投资者对现货(实际可交割的商品或金融产品)在将来某一天价值的预期,这个过程不断重复,使得期权市场的价格能够不断调整,以反映市场上投资者的真实预期,因此,期权交易被认为是一种非常有效的价格发现机制。
风险管理和转移
在期权交易中,价格风险(即资产价格波动带来的风险)可以从那些不愿承担风险的人转移到愿意为了获得潜在回报而承担风险的人手中,这是因为期权交易允许投资者选择性地承担风险,例如,对于一家企业,如果它担心原材料价格的波动会导致生产成本的不确定性,它可以通过购买期权合约来锁定未来原材料的购买价格,从而降低生产和经营商的风险。
此外,基金经理可以利用期权交易来规避股票下跌的风险,例如,如果基金经理持有一支股票并担心其价格可能会下跌,他可以选择购买看跌期权,如果股票价格真的下跌,基金经理可以通过执行看跌期权来抵消股票市值下降带来的损失,这样一来,基金经理可以在股票价格下跌时规避损失,而在股票价格上涨时仍然享有收益。
交易效能
相对其所代表的现货市场,衍生产品市场可提供较低交易成本,取得指定的风险及回报组合仓位。同时,衍生产品市场提供了一种有效的方法,通过结算公司处理对手风险,由于买卖均收取保证金,因此持有期权长仓和短仓的农民和投资者,所需要履行的财务责任都会得到保证。如果期权合约不存在,大部分套期保值需求将会在场外市场完成,但是场外市场都存在对手违约的风险,因此会引出信贷风险的问题。
负面
价格风险
在期权交易中,买方和卖方都会面临标的价格的变化所带来的风险,对于买方来说,最担心的是期权价格下跌,对于卖方来说,最担心的是期权价格上涨。卖方收益是有限的、风险是无限的,风险与收益不对等,如果期权价格大幅上涨,那么卖方所承受的亏损大于其所收取的权利金,这样就会得不偿失,虽然买方最大的风险是亏损所有的权利金,但如果买入期权的资金很多,那么这个亏损也会比较惊人。
流动性风险
在期权交易中,深度实值期权(Deep In-the-Money Options,即标的资产价格与执行价格相差很大,但对买方有利的期权)和深度虚值期权(Deep Out-of-the-Money Options,即标的资产价格与执行价格相差很大,但对买方不利的期权)有时会面临流动性风险。流动性是指资产能够在市场中迅速地买入或卖出而不影响价格的能力,当流动性不足时,投资者可能难以在短时间内找到合适的交易对手,从而导致无法及时平仓(即关闭头寸,实现盈利或止损)的问题。流动性不足可能会影响投资者的交易决策,增加交易成本和风险。
深度实值期权和深度虚值期权的流动性不足问题尤其容易出现在远月合约(即距离到期日较远的期权合约)上。因为远月合约的剩余时间较长,市场对其价格走势的不确定性较高,导致买卖双方对这类期权的需求较低,同时,投资者对远期市场的预期可能存在较大分歧,进一步降低了这些期权的流动性。
到期风险
所有的期权合约都有到期日,一旦合约到达到期日,就必须进行平仓或行权结算。
平值期权(标的资产价格与执行价格相等)和虚值期权(期权不具备执行价值)这两类期权在到期时价格都会归零,因为它们没有实际价值,投资者通常不会选择行权,因为这将导致额外的成本或损失。
实值期权(期权具有执行价值)在到期时具有价值,因为标的资产价格与执行价格相比有利可图,在这种情况下,期权买方需要具备足够的资金或股票(例如,ETF)来支付期权的执行成本,如果期权买方没有进行主动行权(即在到期日前通知卖方执行期权),那么他们的期权合约将失去价值,即使账户上有再多的未实现收益(浮盈)也会消失。
期权和期货的对比
期权与期货都是金融衍生品,双方在双向交易、杠杆效应等方面有相似之处,但也有很多区别,具体区别见下表。
名称 | 期权 | 期货 |
权利和义务 | 买方享有权利,无义务;卖方只承担履约的义务 | 买卖双方权利与义务对等 |
权利金 | 买方支付给卖方 | 无 |
保证金制度 | 卖方需要缴纳保证金,买方无需缴纳保证金 | 双方都需缴纳 |
风险特征 | 买卖双方风险不对等 | 买卖双方风险对等 |
套期保值 | 期权也能套期保值,对买方来说,即使放弃履约,也只损失保险费,对其购买资金保了值;对卖方来说,要么按原价出售标的,要么得到保险费也同样保了值 | 期货的套期保值不是对期货,而是对期货合约的标的物进行保值,由于期货和现货价格的运动方向会最终趋同,故套期保值能实现锁定价格的效果 |
盈亏特点 | 非线性盈亏状态,买方的收益随市场价格的波动而波动,其最大亏损只限于购买期权的权利金;卖方的亏损随着市场价格的波动而波动,最大收益是权利金 | 线性盈亏状态,交易双方则都面临着无限的赢利和亏损 |
参考资料: |