相关历史
苯酚是由德国化学家隆格(F. Runge )于1834年从煤焦油中首先发现的。苯酚来自煤焦油。苯酚发现后的30年一直未能发挥作用,最早把苯酚用于外科手术的是英国著名医生约瑟夫·利斯特(JosePh Lister)。利斯特选用石炭酸作消毒剂进行临床试验,使手术后创口感染致死的病例大大下降,开创了消毒杀菌在外科临床实践中的先河,并把新的消毒法在英国医院进行推广。由于在外科消毒史上的杰出贡献,利斯特被誉为外科消毒之父。1853年,蒙彼利埃大学的法国化学家C·热拉尔(Charles Gerhardt)第一次用水杨酸钠和乙酰氯合成了阿司匹林。1859年,马尔堡大学的德国化学家H·科尔贝(HermannKolbe)发展了一种合成水杨酸的方法,该方法只需在高压下将苯酚和二氧化碳接触即可。这个反应在有机化学书里被称作科尔贝反应。
第一次世界大战以前苯酚全部来自煤焦油,称为天然苯酚。合成苯酚最早由苯胺盐酸盐和亚硝酸银反应制得。第一次世界大战期间,发现三硝基苯酚(苦味酸)是一种爆炸性很强的炸药,具有很大的军事价值,需求量剧增,于是加紧苯酚合成方法的开发。此间,以苯为原料的磺化-碱熔法发展成为比较经济的工业合成方法。1923年,美国Monsanto公司按此法建成世界上第一座合成苯酚工厂。在磺化-碱熔法之后,还发展了许多合成苯酚的方法。1924年,美国的Dow Chemical公司采用氯苯碱性水解法建成工业生产装置。1940年,德国的拉西-虎克法(氯苯酸性水解)实现工业化。到第二次世界大战结束时,合成苯酚发展到占苯酚总产的90%。1961年,Dow Chemical Canada公司甲苯氧化法建厂。到1965年,合成苯酚占苯酚总产量的96%。
应用领域
化工原料
苯酚是一种重要的有机合成原料,可用于生产或制造炸药、肥料、焦炭、灯黑、涂料、除涂剂、橡胶、石棉品、木材防腐剂、合成树脂(酚醛树脂,用作绝缘材料,制造电器元件等)、纺织物、药品、药物制剂、香水、酚醛塑料和其他塑料,以及聚合物的中间体。苯酚在实验室中可以用作溶剂、试剂。
医药
苯酚可凝固蛋白质,有杀菌效力,苯酚稀溶液是医药上最早使用的喷洒消毒剂。如商品“来苏儿”(Lysol)消毒药水就是苯酚和甲苯酚的肥皂液,药皂中也掺入少量的苯酚。在医药上用作消毒剂、杀虫剂、止痒剂等。苯酚的稀水溶液可直接用做防腐剂和消毒剂,还可以使人体感觉神经末稍麻痹,产生局部麻醉作用,可止痒。
自然来源
天然酚是在煤和木材干馏时得到的,苯酚的天然晶存在于咖啡、康乃克油和鸡蛋果等中。天然酚包括炼焦化学的酚和木材干馏的酚。这种得到的酚经常是一种难分离的混合物,其中含有各种各样的酚类,即使经过分离精制后,所得的苯酚也不如用合成方法所制的苯酚纯洁,不能用于合成化工原料。所以天然酚的用途不如合成酚的广阔。
理化性质
物理性质
苯酚为无色针状结晶或白色结晶熔块,摩尔质量为94.11g/mol,密度为1.06g/cm,熔点为41℃,沸点为182℃,有特殊的臭味和燃烧味,极稀的溶液具有甜味,置于空气中或日光下逐渐变成粉红色至红色,在潮湿空气中吸湿后,由结晶变成液体。易溶于乙醇、乙醚、氯仿、甘油、二硫化碳。几乎不溶于石油醚。常温下,苯酚可溶于水,但溶解度不大;加热后,苯酚在水中溶解度增大,当温度高于65℃时,苯酚可与水以任意比例混合。
化学性质
弱酸性
苯酚具有弱酸性,水溶液pH值约为6.0。其酸性比醇和水强(醇不能与氢氧化钠反应),但比碳酸弱。可以与氢氧化钠反应,生成易溶于水的苯酚钠。苯酚可以与其他物质形成分子间氢键。

向苯酚钠溶液中通入二氧化碳,又会重新生成苯酚。

与FeCl
苯酚可以与FeCl3作用,发生显色反应,生成紫色的配合物。

卤代反应
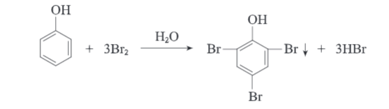
向苯酚的水溶液中加入溴水,立即生成2,4,6-三溴苯酚白色沉淀。凡是酚羟基的邻位和对位上有氢原子都能被溴取代,生成溴代物。

由于此反应灵敏、迅速、简便,可用于苯酚的定性和定量分析。如果使用CS2、CCl4,等非极性溶剂,并控制溴的用量,可以得到一溴代酚。

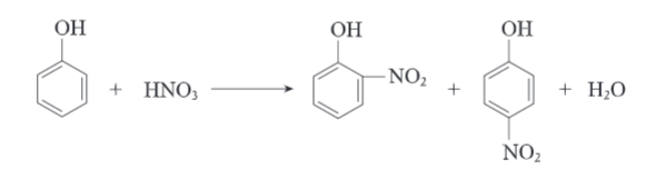
硝化反应
苯酚与稀硝酸在室温下即发生亲电取代反应,生成的主要产物是邻硝基苯酚对硝基苯酚。

磺化反应
苯酚在室温下,与浓硫酸作用生成邻羟基苯磺酸;在100℃时主要生成对邻羟基苯磺酸;高于100℃,则生成4-羟基-1,3-苯二磺酸。

氧化反应
苯酚在空气中极易被氧化,使其颜色加深。苯酚可以被重铬酸钾氧化成对-苯醌。

还原反应
苯酚与金属锌共热可以被还原成苯。在催化剂存在的情况下加氢可被还原成环己醇。

其他重要反应
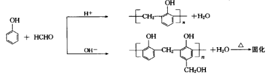
苯酚最重要的反应之一是与甲醛缩聚生成酚醛树脂。根据生产过程中所用的催化剂种类不同,可将树脂分为两类:若采用碱性催化剂,如氢氧化钠或氢氧化铵等作催化剂,一般生成热固性酚醛树脂;若采用酸性催化剂,如盐酸或草酸为催化剂,在酚类过量的情况下,则生成线型热塑性酚醛树脂。

苯酚的另一个重要反应是与丙酮生成双酚A。

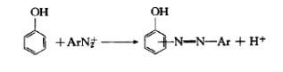
偶氮离子与苯酚偶合生成偶氮键,这是重要的一类偶氮染料的基础。

苯酚的羟基易生成醚或酯。如与乙酐反应生成乙酸的苯酚酯。

苯酚还可与磷酸作用生成磷酸的三苯酚酯。与水杨酸生成苯酚的水杨酸酯。这些都是工业生产的苯酚酯。如与二偶氮甲烷反应生成苯甲醚。

酮与烯醇的互变异构:酮和烯醇互为异构体,它们之间可通过共轭碱互变,这种现象称为互变异构。例如对硝基苯酚与环己二烯酮为互变异构,属于酮-烯醇互变异构现象。
制备方法
磺化法
以苯为原料用硫酸磺化后制成苯磺酸,苯磺酸再与亚硫酸钠反应生成苯磺酸钠,然后经碱化、酸化后精制,便可得到苯酚。

苯酚的氧原子上有两对未用电子,一对位于杂化的sp轨道上,另一对处于未杂化的p轨道上,p电子云与苯环大


| 
| GHS分类GHS | 危险说明 | 危险等级 |
H301 | 吞咽有毒 | 急性毒性,口服 |
H311 | 皮肤接触有毒 | 急性毒性,皮肤 |
H314 | 造成严重的皮肤灼伤和眼睛损伤 | 皮肤腐蚀/刺激 |
H331 | 吸入有毒 | 急性毒性,吸入 |
H341 | 怀疑引起遗传缺陷 | 生殖细胞致突变性 |
H373 | 长期或反复接触会对器官造成损害 | 特定靶器官毒性,反复暴露 |
毒性
致死剂量:1000mg/kg(人经口)。
急性中毒:LD50317mg/kg(大鼠经口);LD50270mg/kg(小鼠经口)。
刺激性:家兔经眼:20mg(24h),中度刺激。家兔经皮:500mg(24h),中度刺激。
致突变性:DNA抑制:人HeL细胞1mmol/L。姊妹染色单体交换:人淋巴细胞5μmol/L。
生殖毒性:大鼠经口最低中毒剂量(TDL0):1200mg/kg(孕6d~15d),引起胚胎毒性。
致癌性:小鼠经皮最低中毒剂量(TDL0):16g/kg,40周(间歇),致癌,皮肤肿瘤。
健康危害
苯酚对皮肤、黏膜有强烈的腐蚀作用,也可抑制中枢神经系统或损害肝、肾功能。
急性中毒:吸入高浓度蒸气可致头痛、头晕、乏力、视物模糊、肺水肿等。误服引起消化道灼伤,出现烧灼痛,呼出气苯酚味,呕吐物或大便可带血液,有胃肠穿孔的可能,可出现休克、肺水肿、肝或肾损伤,出现急性肾衰竭,可死于呼吸衰竭。
慢性影响:可引起头痛、头晕、咳嗽、食欲减退、恶心、呕吐、严重者引起蛋白尿。皮肤接触可致皮炎。
急救措施
皮肤接触:立即脱去被污染的衣着,用甘油、聚乙烯乙二醇或聚乙烯乙二醇和乙醇混合液抹擦。然后用水冲洗至少15分钟,就医。
眼睛接触:提起眼脸,用流动清水或生理盐水冲洗至少15分钟,就医。
吸入:立即将人至空气新鲜处,呼吸困难时给输氧;呼吸停止时,进行人工呼吸,就医。
食入:患者清醒时立即给饮植物油15mL~30mL,催吐,尽快洗胃,就医。
泄露处理
当苯酚发生泄露时,应立即隔离泄漏污染区,限制出入,切断火源。建议应急处理人员戴自给式呼吸器,穿防毒服。小量泄漏:用干石灰、苏打灰覆盖。大量泄漏:收集回收或运至废物处理场所处置。
环境危害
当水中含酚大于5mg/L时,就会使鱼中毒死亡。水体中酚浓度低时能够影响鱼类的洄游繁殖。苯酚浓度为0.1mg/L~0.2mg/L时鱼肉有酚味,浓度高引起鱼类大量死亡,甚至绝迹。水体中含酚类化合物时会使水体发臭,水生生物受这种水的影响,也带有臭味,这不仅使鱼贝类的质量下降,甚至使之无法食用。
储存
储存于阴凉、通风仓库内。防止阳光直射。