化学结构
邻苯二甲酸酯的一般化学结构是由一个刚性平面芳环和两个可塑的非线型脂肪侧链组成。(结构式见下图)
(R₁和R₂为C₁~C₁₃的烷基或环烷基、苯基、苄基等)

发展历史
邻苯二甲酸酯于20世纪20年代首次用作增塑剂投入生产,并在21世纪初期产量得到飞速增长(从2007年到2017年全球邻苯二甲酸酯产量从每年270万吨涨到每年600万吨),邻苯二甲酸酯种类较多,其中邻苯二甲酸二(2-乙基己基)酯(DEHP)和邻苯二甲酸二丁酯(DBP)为使用最为广泛。在已有所有种类增塑剂中,传统的邻苯二甲酸酯类由于综合性能好,工艺成熟,产量仍然居于首位,约占增塑剂总产量的80%。
理化性质
物理性质
邻苯二甲酸酯是邻苯二甲酸酐与甲醇等醇类化合物发生酯化反应制备的,随着R₁和R₂对应的烷基不同,其物理性质也不相同。
邻苯二甲酸酯大多为沸点较高的液体,水溶性较差,熔点低,易溶解于有机溶剂。对于不同的邻苯二甲酸酯,随着其侧链的增长,其脂溶度和沸点也越高。(下表为常见PAEs的物理性质)
物质名称 | 分子量 | 分子式 | 水溶解度25℃(g/L) | Log Kow (正辛醇/水分配系数) | 熔点(℃) |
邻苯二甲酸二甲酯(Dimethyl phthalate,简写作DMP) | 194.2 | C₁₀H₁₀O₄ | <0.100 | 1.64 | 5.5 |
邻苯二甲酸二乙酯(Diethyl phthalate,简写作DEP) | 222.2 | C₁₂H₁₄O₄ | 1.000 | 2.70 | -40 |
邻苯二甲酸二丁酯(Dibutyl phthalate,简写作DBP) | 278.4 | C₁₆H₂₂O₄ | 0.015 | 4.83 | -35 |
邻苯二甲酸二异丁酯(Diisobutyl phthalate,简写作DiBP)DiBP | 278.4 | C₁₆H₂₂O₄ | 0.050 | 4.11 | -50 |
邻苯二甲酸二(2-乙基己基)酯(Di-(2-ethylhexylPhthalate,简写作DEHP) | 390.6 | C₂₄H₃₈O₄ | <0.001 | 8.71 | -47 |
邻苯二甲酸二辛酯(Dioctyl phthalate,简写作DOP) | 390.6 | C₂₄H₃₈O₄ | <0.001 | 7.73 | -25 |
邻苯二甲酸丁苄酯(Butyl benzyl phthalate,简写作BBP) | 312.4 | C₁₉H₂₀O₄ | <0.002 | 5.00 | -35 |
邻苯二甲酸二戊酯(Dipentyl phthalate,简写作DPP) | 250.3 | C₁₄H₁₈O₄ | 0.060 | 3.57 | -34 |
邻苯二甲酸二己酯(dihexyl phthalate,简写作DHP) | 334.5 | C₂₀H₃₀O₄ | <0.001 | 6.95 | -27.4 |
邻苯二甲酸二异壬酯(Diisononyl phthalate,简写作DiNP) | 418.6 | C₂₆H₄₂O₄ | <0.001 | 8.60 | -48 |
从表中可以观察到,邻苯二甲酸二(2-乙基己基)酯(DEHP)、邻苯二甲酸二辛酯(DOP)、邻苯二甲酸丁苄酯(BBP)、邻苯二甲酸二己酯(DHP)和邻苯二甲酸二异壬酯(DiNP)等常见邻苯二甲酸酯的水溶性较低,熔点低,在有机溶剂中易溶解且具有中等极性。通过对其结构进行分析,除DEP和DMP外,随着碳原子数/链数的增加,Log Kow(正辛醇/水分配系数)值增大,高分子量PAEs的亲水性要比低分子量的PAEs低,从而更容易吸附在悬浮颗粒物上向固体沉积物中转移或在生物体内积累。
化学性质
邻苯二甲酸酯为酯类,可以发生酯类物质的化学反应,下面列举出几类邻苯二甲酸酯的化学反应。
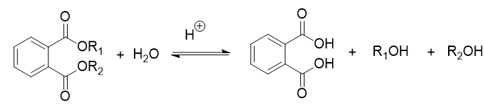
酯的水解
酸性条件下
碱性条件下

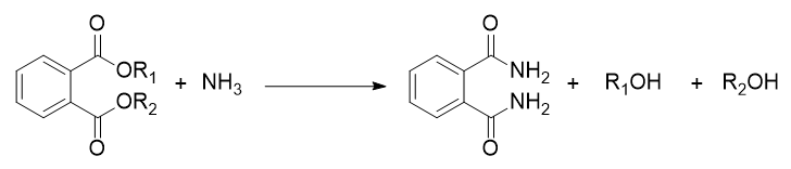
酯的氨/胺解

邻苯二甲酸酯可以和氨或胺反应生成形成酰胺,这叫做酯的氨解或胺解。
酯与有机金属化合物的反应

邻苯二甲酸酯可以与有机锂试剂反应得到二元酮。

制备方法
环境中邻苯二甲酸酯的来源包括人工合成和自然来源。
人工合成
邻苯二甲酸酯是邻苯二甲酸的衍生物,其人工合成主要以邻苯二甲酸酐为原料,在催化剂的作用下发生费歇尔(Fischer)酯化反应,即和相应的醇结合而产生对应的邻苯二甲酸酯(具体反应方程式如下图)。
近年来对于邻苯二甲酸酯类增塑剂合成工艺的研究主要集中在催化剂的选择上,其中比较常用的催化剂有钛酸酯、固体超强酸、杂多酸、功能化离子液体以及其他催化剂。

有机化合物类催化剂
钛酸酯作催化剂
此类催化剂主要包括钛酸四异丙酯、钛酸四丁酯,此类催化剂具有可多次回收利用,活性降低很小的优点。
钛酸四异丙酯
魏国峰(吉休集团技术员、工程师)等人以钛酸四异丙酯为催化剂,催化邻苯二甲酸酐和2-丙基庚醇合成了增塑剂邻苯二甲酸二(2-丙基庚)酯,在优化条件下,邻苯二甲酸酐的转化率达99%以上,质量达到国际上同类产品指标。
钛酸四丁酯
邻苯二甲酸双十八酯(DSPE)虽然具有毒性小、耐挥发、耐寒性好、增塑性能比邻苯二甲酸二异辛酯(DOP)更加优秀等优点,但由于它的侧链为邻苯二甲酸酐与十八醇反应所得,其碳链的增长导致电子云密度降低,甲基的供电子能力减弱,十八醇的亲核反应能力也比低碳链显著下降,使得该反应比DOP的合成要困难得多,因此关于DSPE的合成研究报道很少。在此基础上,夏明珠(南京理工大学副研究员)等人以钛酸四丁酯为催化剂,邻苯二甲酸酐和十八醇为原料,合成了邻苯二甲酸双十八酯,在最优反应条件下,酯化率可达99.9%。
功能化离子液体作催化剂
于世涛(青岛科技大学化工学院教师)等人发现了一种清洁生产邻苯二甲酸二烷基酯的方法,其以磺酸基功能化的阳离子(烷基吡啶阳离子、1,3-二烷基咪唑阳离子、1,3-二烷基咪唑阳离子或2-氧代吡咯烷阳离子)与有机或无机阴离子(氟硼酸根、硫酸氢根、对甲苯磺酸根或二氟甲磺酸根)构成的离子液体作为反应的催化剂,与反应介质来催化邻苯二甲酸酐与异辛醇或正辛醇反应,生成邻苯二甲酸二烷基酯。与传统的酸化催化法相比,该方法具有更高的酯化能力,且反应温度温和、时间短、能耗少;而且产物与离子液体能自动分层,使分离过程更为容易;反应过的离子液体不经任何处理即可用于下次反应。
固体酸作催化剂
与传统硫酸催化剂相比,固体酸与反应物异相,容易分离,无设备腐蚀和环境污染,且具有易回收、可重复使用、可实现连续生产等优点,使其在工业上有很大的应用。固体酸主要包括SO₄²⁻/MxOy型固体超强酸、杂多酸、分子筛等。
SO₄²⁻/MxOy型固体超强酸
邻苯二甲酸二癸酯(DIDP)是增塑剂邻苯二甲酸酯类中的重要品种,具有耐挥发、耐迁移、电绝缘性好、制品机械性能好、柔软性随温度变化较小等优良性能,在此之前大多采用浓硫酸作催化剂酯化而成,但此方法存在浓硫酸用量大、产品颜色深、易使有机物炭化、副反应多、催化剂无法重复使用、处理后的废液排放会造成环境污染以及对设备腐蚀严重等缺点。在此基础上,陈玉成等人采用自制的固体酸催化剂SO₄²⁻/SiO₂、SO₄²⁻/Fe₃O₄、BPO₄,催化邻苯二甲酸酐与异癸醇发生酯化反应生成了邻苯二甲酸二异癸酯,其产率可达93%。这自制的固体酸催化剂具有活性高、寿命长、可多次使用等优点,所得产物易纯化分离、产品色泽浅。
杂多酸
邻苯二甲酸二异辛酯(DIOP)因其挥发性低、耐热性好,成为中国用量较大的增塑剂之一。目前国际上的DIOP的生产方法主要是以苯酐与2-乙基己醇为原料,在浓硫酸的催化下直接酯化得到DIOP。但该方法具有所得产物颜色较深、副反应较多、产品后处理复杂、转化率低等缺点,且浓硫酸易腐蚀设备、污染环境。石小鹏、王启慧等人以固体杂多酸盐催化剂TiGeW₁₂O₄₀/TiO₂催化邻苯二甲酸酐和2-乙基己醇反应得到DIOP,在优化条件下,酯化率可以达到94.6%。且产品不经后处理即可达到较高的品级,大大简化了生产工艺。
液态酸催化剂
此类催化剂主要包括硫酸、对甲基苯磺酸、苯磺酸等。在传统合成邻苯二甲酸酯中比较常用的即为液态酸催化剂,其优点是活性高、反应温度较低、价廉易得,但其产品质量差、收率低、副产物多、废水量大,且易腐蚀设备。
自然来源
自然来源也很广泛,除了在一些植物组织中含有之外,自然界中的微生物也有合成邻苯二甲酸酯的能力。
应用领域
邻苯二甲酸酯是一种增塑剂,被广泛应用于医疗用品、建筑材料、塑料包装材料等领域。
工业领域
邻苯二甲酸酯作为最广泛使用的塑化剂,其在塑料行业的引入和使用,解决了线型大分子之间由于范德华力和氢键影响成型加工等问题,被普遍应用于食品加工和包装、地板制造、汽车生产行业中,邻苯二甲酸酯的发现和应用极大地促进了塑料行业的发展。
日常生活领域
邻苯二甲酸酯中比较常见的邻苯二甲酸二(2-乙基己基)酯(DEHP)经常出现于雨衣,雨鞋,手套等服饰含有的柔性PVC材料中;除了服饰外,日常生活中常见的玩具及儿童护理产品中的塑料部件,尤其是PVC的软塑胶部分,邻苯二甲酸酯含量较高。
医学领域
邻苯二甲酸酯常被用于医疗器具制造,比如与人体健康有关的血袋、喷射注射器、人工心脏铸膜、子宫避孕器这些医疗器具的制造。
安全事宜
邻苯二甲酸酯类化合物作为一种增塑剂常用在塑料制品中,并应用于各个领域中,由于其添加量大且不以共价键形式与树脂结合,在适当条件下,可不断地向周围环境释放,造成对土壤、水体、食物等广泛的污染,并通过生物富集和食物链侵入人体,可在人体内逐渐累积并可分解成相应的代谢产物进而危害人体健康。国际上已经出台了一系列的限制性法律法规来规避邻苯二甲酸酯类的危险,如DEP、DMP、BBP、DNBP、DEHP、DNOP这六种邻苯二甲酸酯已经被美国环境保护署列为优先污染物,欧盟和美国已经限制了它们在儿童产品中的使用;中国也在2014年出台了《玩具安全国家标准(GB6675-2014)》,规定儿童玩具中 DNBP、BBP、DNOP和DEHP的使用量不得超过0.1%。
健康危害
生殖发育毒性
一般邻苯二甲酸二酯本身毒性较小,其毒性来自于体内代谢产物邻苯二甲酸单酯。动物实验发现,邻苯二甲酸酯的代谢产物可干扰机体内分泌系统,具有抗雄性激素作用和类雌激素作用,可直接干扰机体内分泌系统,进而影响生殖细胞的结构和功能。对雌性生殖作用是影响卵巢功能,对雄性影响表现为生殖系统畸形,即“邻苯二甲酸酯综合征(phthalate syndrome)”。由于在哺乳动物中雄性激素信号分子的结构是高度保守和相似的,人类也属于哺乳动物,且产妇和胎儿体液中也可检出邻苯二甲酸酯代谢产物,因此可以推断邻苯二甲酸酯会影响人类的生殖发育。
心脏、神经毒性
邻苯二甲酸酯可以损伤心肌细胞,使心肌细胞不能够正常收缩,从而增加部分血管的压力,可能造成心律失常、供血不足等心脑血管疾病。
预防措施
含有邻苯二甲酸酯的塑料制品使用后应妥善处理,同时在使用过程中应注意防护;有毒或难以降解的增塑剂品种应停止使用,不得用做医疗器械或者血液制品包装;在食品包装容器、自来水管道,以及直接接触皮肤的护肤品、化妆品等生产中,也应避免使用邻苯二甲酸酯;对于长期接触邻苯二甲酸酯生产工艺的高危人群应重点加强防护,尤其注意邻苯二甲酸酯对人体健康危害存在的性别差异(特别是孕期妇女应避免使用含有邻苯二甲酸酯的物品,对于婴幼儿也避免使用含有邻苯二甲酸酯的玩具或其它物品)。
环境污染
水环境
已知中国将邻苯二甲酸二甲酯(DMP)、邻苯二甲酸二丁酯(DBP)和邻苯二甲酸二(2-乙基已基)酯(DEHP)列入优先控制污染物名单,且《地表水环境质量标准》也将DBP和DEHP作为邻苯二甲酸酯类污染物的检测指标。中国邻苯二甲酸酯消耗量居全球之首,这导致水环境中邻苯二甲酸酯含量严重超标,污染严重。
邻苯二甲酸酯对水环境的危害
随着塑料的生产、应用与处理,邻苯二甲酸酯不断地向周围环境释放,水环境中残余量持续增长,长江、黄河等重要水域及多种水生生物(海洋哺乳动物、鱼类及水生无脊椎动物)体内普遍检出邻苯二甲酸酯的存在,且对水生生物产生影响。
水中邻苯二甲酸酯来源
邻苯二甲酸酯来源有直接和间接2种途径:直接途径是含有邻苯二甲酸酯工业废水的排放以及聚氯乙烯塑料等固体废弃物经雨水淋洗而缓慢释放;间接途径是该类化合物首先排入到大气中,通过干沉降或雨水淋洗而转入水环境中。
土壤环境
随着中国国民经济的快速发展,塑料薄膜的广泛农用化,大量城镇生活污水及垃圾排放,致使中国土壤邻苯二甲酸酯的污染问题日渐突出,土壤邻苯二甲酸酯污染已成为中国农业土壤退化的主要表现形式之一。
邻苯二甲酸酯对土壤环境的危害
植物生态毒性
邻苯二甲酸酯对植物的生长具有抑制作用,且随着其浓度增加,抑制作用也会跟着加大。邻苯二甲酸酯不仅影响植物的生长,而且还具有一定的生物累积效应。不同植物对邻苯二甲酸酯的吸收能力和累积程度具有很大的差异,植物的各个器官对邻苯二甲酸酯的富集能力也因植物种类而异。
土壤微生物和土壤酶生态毒性
土壤微生物是土壤生态系统的重要组成部分,不仅在推动土壤养分的循环转化和土壤有机质的矿化分解等方面起到重要作用,还能够较为敏感地反映土壤环境的变化。邻苯二甲酸酯对土壤微生物具有低浓度促进、高浓度抑制的作用,可影响微生物的数量和多样性,进而影响土壤中某些酶的活性。
土壤无脊椎动物生态毒性
在土壤生态系统中,无脊椎动物因其具有繁殖能力强、分布广、暴露于土壤且可与土壤进行最大面积接触、便于采集研究等优势,被广泛应用于土壤生态毒理学评价。其中,蚯蚓作为陆生无脊椎动物之一,因其具有体型较大、繁殖能力强、分布较为广泛以及对污染物敏感等特点而成为土壤环境污染的重要指示生物,研究表明邻苯二甲酸酯对蚯蚓具有遗传毒性,且其浓度与遗传毒性间存在着剂量-效应关系。
土壤中邻苯二甲酸酯来源
土壤中的邻苯二甲酸酯通常来自农田塑料薄膜、污水灌溉和垃圾渗滤液。邻苯二甲酸酯是塑料地膜的原料和添加剂,由于在塑料薄膜的加工过程中,邻苯二甲酸酯并未聚合到聚氯乙烯(PVC)高分子的碳链上,随着使用时间的增加,邻苯二甲酸酯可不断从地膜中释出,经过淋溶、挥发和沉降等过程,在土壤、水体和大气等环境介质中不停地迁移,并最终在土壤形成累积。
邻苯二甲酸酯的检测
邻苯二甲酸酯作为常用的增塑剂,应用广泛,但其不仅会造成环境污染,而且对生物有毒害作用。因此,检测环境、食品以及一些生活用品中邻苯二甲酸酯的含量,对邻苯二甲酸酯进行暴露风险评估,对研究生态环境、评估环境安全以及人类健康具有重要意义。
邻苯二甲酸检测标准
随着国内外对邻苯二甲酸酯类增塑剂重视程度的不断加大,国际上制定了很多相关测试标准来用于各种基质环境中的邻苯二甲酸酯的测定,下面简要介绍几种检测标准。
中国关于邻苯二甲酸酯的检测标准
(1)GB/T 20388-2006纺织品邻苯二甲酸酯的测定:适用于测定含PVC材料的纺织品中的13种邻苯二甲酸酯类增塑剂。
(2)SN/T 2037-2007与食品接触的塑料成型品中邻苯二甲酸酯类增塑剂迁移量的测定气相色谱质谱联用法:适用于与食品接触的塑料容器及包装制品中邻苯二甲酸酯类增塑剂特定迁移量的测定。
美国关于邻苯二甲酸酯的检测标准
(1)USEPA 8061:Phthalate Esters by Gas Chromatography with Electron Capture Detection(GC-ECD),GC-ECD法测定邻苯二甲酸酯。
(2)USEPA 8270D:Semivolatile Organic Compounds By Gas Chromatography/Mass Spectrometry(GC/MS),半挥发性有机化合物的GC-MS分析方法。
样品前处理技术
在进行邻苯二甲酸酯的定量分析之前,需要提取和纯化的步骤。样品处理技术主要有液-液萃取、固相萃取以及固相微萃取等。
固相萃取
对于基质复杂的各类样品,固相萃取是一种常用的净化手段。采用固相萃取方法可以解决许多液-液萃取带来的问题,比如两相不能完全分离、回收率低、成本高等。比起液液萃取,固相萃取更加高效,更易于定量提取,更加快速。
固相微萃取
和传统的固相萃取方法相比,固相微萃取通常会采用一个微型自动装置从而集成采样、提取、净化、浓缩和进样,使之一步完成。许多种类的纤维都用于固相微萃取装置,常用的有聚丙烯酸酯(PA),聚二甲硅氧烷(PSMS)和二乙烯基苯。根据不同的样品来选择不同的纤维材料。这个方法的主要优点是不需要进行样品操作,尽可能减少了玻璃器具,溶剂和样品间的交叉污染。但是缺点是使用到的纤维易碎且价格昂贵。
液-液萃取
与其他方法相比,液液萃取有操作简便、精确度高、低检出限、高回收率和高效益等优点。这个方法被用在了不同基质中邻苯二甲酸酯的测定上,一般萃取邻苯二甲酸酯的有机试剂为乙腈或者正己烷,但是也有少数研究使用乙酸乙酯、亚甲基氯石油醚或二甲基亚砜萃取邻苯二甲酸酯。
样品检测技术
邻苯二甲酸酯的检测技术主要采用气相色谱法(GC)、液相色谱法(LC)、气/液相色谱-质谱法。
气相色谱法
气相色谱法是目前分析土壤中邻苯二甲酸酯含量的主要方法,方志青(贵州民族大学)等人运用气相色谱法/FID内标法对黔南地区表层土壤中的PAEs进行测定,结果表明,该方法的检出限低至0.008~0.016 mg/kg,具有较高的准确度和精密度。但气相色谱法仅适用于300 ℃以下能挥发的邻苯二甲酸酯样品,对于沸点较高的邻苯二甲酸酯样品,则需考虑使用别的检测方法。
液相色谱法
液相色谱法是利用液体作为流动相的分离分析方法。对于某些受热易分解并且相对分子质量较高的化合物,液相色谱能够实现较好的分离。液相色谱法不受样品的挥发性和热稳定性的限制,弥补了气相色谱法的不足之处。在分析土壤中邻苯二甲酸酯时,其以高效便捷、全自动成为应用最广泛、最成熟的检测方法之一。
气/液相色谱-质谱法
近年来,气/液相色谱-质谱联用法在定性定量分析环境中的有机污染物方面发展迅速。它能对多目标组分进行同时定性定量分析,无需对单一组分测定,弥补了气相或液相色谱法的不足之处。在气相色谱-质谱法中,邻苯二甲酸酯样品通过气相色谱柱进行分离之后在质谱中被打成离子碎片,再进行定性和定量分析。在分析土壤中邻苯二甲酸酯时,其以高效、全自动而成为应用最广泛的检测方法之一。