发现历史
1873年,科学家从浆果薯蓣中提取出番茄红素。1875年,人们从番茄提取出了含有番茄红素的提取物,并且将其命名为茄红素(solanorubon)。1903年人们发现从茄红素和一般的胡萝卜素光谱有差别,将其命名为番茄红素(lycopene)。1910年,Willstatler和Escher确定了番茄红素的分子式为C₄₀H₅₆。1930年Karrer等人提出番茄红素的化学结构是11个不饱和共轭双键和2个非共轭不饱和双键组成的非环状平面多共轭双键结构,这一构想于1932年被Kuhn和Grundmann证实。
20世纪50年代,美国医学专家报道称番茄红素具有抗癌作用。1974年,Bjelke发现吃番茄能够降低某些癌症如食道癌、直肠癌发生的概率。1994年,Franceshi等科学家研究发现番茄红素的摄入量能影响消化道癌发生的概率,从此各国科学家投入了大量精力对番茄红素进行研究。
存在分布
番茄红素是植物中的一种天然色素,通常会与蛋白质形成复合物存在于细胞的有色体中。其在番茄、番石榴、西瓜、李、柿、桃、芒果、葡萄、葡萄柚、柑橘等果实和胡萝卜、甘蓝等的根部以及茶的叶片中均有分布。这些植物中以茄科作物番茄的果实中的番茄红素含量最高,而科学家发现秋橄榄(Elaeagnus umbellata)中番茄红素含量比普通番茄多17倍。番茄红素在人体中的各组织器官如血液、肝脏、乳腺、前列腺、消化道、卵巢等中均有分布,其中肾上腺、肝脏、睾丸以及血液中含量最高。
理化性质
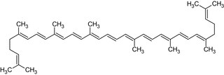
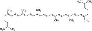
番茄红素是一种天然的脂肪烃类胡萝卜素,外观为针状深红色晶体,熔点172~175℃,可燃。易溶于二硫化碳、正己烷等,溶于氯仿和苯,微溶于乙醇和甲醇,不溶于水。番茄红素在植物体中较稳定,纯品对光照、氧气、温度、酸和催化剂等因素敏感,容易被氧化降解。番茄红素由8个异戊二烯单元组成,含有40个碳原子,其中有11个共轭双键和2个非共轭双键。因为这些双键的存在,番茄红素存在顺反异构现象,自然界中的番茄红素多为全反式异构体,在光或温度等条件下能转化成单顺式或多顺式异构体。

制备方法
有机溶剂萃取法
有机溶剂萃取法的原理是利用番茄红素亲脂性的特点来进行萃取。目前这类传统的溶剂萃取法的研究重点主要集中于溶剂体系的选择和优化,以及萃取过程的温度、时间等方面的优化。
研究者从原料中萃取番茄红素时常用的有机溶剂有石油醚、氯仿、乙醚和乙酸乙酯等以及它们的混合液。经过对比,研究者发现乙酸乙酯提取番茄红素的效果最好。有机溶剂萃取法的优点是操作简单、成本低、工业化难度低,但由于番茄中还含有其他成分,存在番茄红素提取率低、纯度差以及容易有溶剂残留的问题。
超临界萃取法
超临界萃取法是一种环境友好型的新型工业分离技术,其做法是使用超临界二氧化碳作为萃取剂,在适当的温度、压力、二氧化碳流量等条件下从原料中提取番茄红素。超临界萃取法的优点是能够避免番茄红素因高温而异构化和分解,能够保留番茄红素的生物特性,提高产品品质,并且该技术具有安全、污染少、提取率高的优点。超临界萃取法的缺点是对设备和系统的耐压性能要求很高,因而生产成本高。
超声波辅助提取法
超声波辅助提取法的原理是利用超声波的空化作用分离被提取物和植物细胞,优点是能够降低提取番茄红素需要的温度,减少番茄红素的高温损失,实现高效高质提取;缺点是超声波辅助提取法不适用于番茄红素的大规模工业化生产,因为超声波在处理过程中容易衰减,如果提取容器体积太大,罐体周围就容易出现超声空白区。
酶反应法
酶反应法利用特异性蛋白酶,例如果胶酶、纤维素酶等,对植物中阻碍番茄红素释放的成分进行分解,能够提高番茄红素的提取速度和产量。
酶反应法的优点是没有有害物质残留,缺点是操作繁琐,反应时间长,成品中杂质多。还有一种方法就是在合适的pH值下,利用番茄本身的各种酶分解纤维素和果胶,使得细胞中的活性成分溶解并流出细胞,再通过有机溶剂提取番茄红素。
番茄红素纯化
重结晶法
重结晶法是主要是利用番茄红素溶解性受温度影响大的特性以及在不同溶剂中溶解度不同的性质来提纯番茄红素,即在较高的温度下溶解番茄红素,而当温度下降时溶液中的番茄红素会因过饱和而析出。通常的做法是将番茄红素油树脂皂化,待反应充分后进行分离的的到含较多杂质的番茄红素晶体。之后清洗过的产品在较高的温度下溶于有机溶剂,匀速降温至溶液中有晶体析出,即可获得高纯度的番茄红素晶体
大孔树脂吸附法
大孔树脂是具有独特多孔结构、优异的耐酸性能、使用寿命长的有机高分子聚合物,常被用作食品以及制药领域、废水处理中的吸附剂。该方法适用于大规模工业化生产。
膜分离法
膜分离技术原理是,混合物中各组分渗透压不同,可以被选择性透过膜分离。膜分离的过程不会产生温度变化,故而能有效保护番茄红素的的结构,比如可以避免番茄红素等热敏性成分的损失以及减少感官品质如色泽的变化等。膜分离法提取番茄红素能耗少、产生废料少,是一种绿色且经济上可行的技术。
应用领域
医疗领域
降血脂
番茄红素属于脂溶性物质,在生物体内主要存在于细胞膜和脂蛋白之中,能够通过提高肝脏中过氧化物酶体增殖物激活受体α、γ的表达来影响脂肪的代谢,通过抑制胆固醇合成的限速酶并促进低密度脂蛋白(LDL)降解,使得胆固醇含量降低。研究发现,提高生物体内的番茄红素含量,可以有效预防动脉粥样化。
抗氧化
番茄红素的多不饱和双键结构能使其具备能够快速淬灭单线态氧和过氧化自由基的性质,抗氧化能力极强。番茄红素的抗氧化能力是β-胡萝卜素的2倍多、维生素E的100倍。在防治与氧化损伤相关的机体衰老、心脑血管疾病、皮肤损伤等方面均有相当广阔的发展空间。
抗癌
研究表明,番茄红素有防癌抗癌的作用,它能通过以下几种机制实现抗癌效果。一是番茄红素的抗氧化和清除自由基的作用能够减少DNA的氧化损伤,阻止自发基因突变;二是能够调控细胞间隙连接通讯功能,抑制正常细胞向癌细胞转化;三是能够抑制癌细胞的增殖;四是可以活化免疫细胞增强免疫力;五是能抑制胆固醇的合成从而减少致癌物的积累。研究表明在日常饮食中添加番茄红素,能够降低患癌风险、抑制肿瘤生长。
免疫调节
番茄红素对提升非特异性细胞免疫的主要指标有促进作用,同时对于预防和治疗病毒性感染、胞内微生物感染等疾病都有正向作用。
饲料添加剂
番茄红素是一种新型绿色添加剂,能应用于猪、鸡的生产。在猪的饲粮中添加番茄红素,能改善猪的肉质以及增强机体免疫力,能够提高母猪的生产性能。在鸡的饲粮中添加番茄红素,能够改善鸡的肉蛋品质、机体代谢,并且还能提高鸡的生长性能和繁殖性能。
食品添加剂
番茄红素是一种天然食用色素,如可以加入汉堡中改善产品的色泽,番茄红素在一定程度上能够替代亚硝酸盐,作为肉类防腐剂使用。
化妆品
番茄红素作为一种类胡萝卜素对紫外线造成的皮肤光损害有保护作用,可作为防晒化妆品的原料。