发展历史
人类对咖啡因的利用
人类最早对咖啡因的利用,很可能处于石器时代,根据一些人类学家的推测,石器时代早期的人便发现了目前已知的绝大多数富含咖啡因的植物,并对这类植物进行了一些利用,比如直接咀嚼植物的根、树皮和叶子,或者将之磨成糊状再食用。
中国在秦汉以前已有与人们饮茶有关的记录,至唐代,茶叶生产迅速发展,唐朝陆羽著《茶经》称“茶之为饮,发乎神农氏,闻于鲁周公”。 书中详细介绍了茶叶生产的历史、源流、现状、生产技术以及饮茶技艺等内容。
咖啡豆的使用历史比较模糊,最早人们可能将咖啡豆研磨之后,与其他食物混合,作为一种在旅行中可以用于提神的食物。直至公元1000年左右,人们开始用开水冲泡咖啡粉饮用。早期咖啡种植主要集中于埃塞俄比亚和也门等地区,16世纪,咖啡流入君士坦丁堡,并传播到西班牙、北非、印度、土耳其等地,并在1615年由威尼斯商人引入欧洲。
咖啡因的发现、结构确立与人工合成
1819年,德国化学家弗里德利布·费迪南德·龙格 (Friedlieb Ferdinand Runge),首次提取的纯净的咖啡因,使咖啡因成为了最早的被人类以纯合物的形式提取的次生代谢产物之一。
“cofeina”一词最早出现是在1823年的《医学词典》(Dictionnaire des termes de medecine)中,另外,德国科学家费希纳(Fechner)在 1826 年也使用过“caffein”或“coffein”这两个词。
1826 年,德国化学家马蒂乌斯(Martius)发现了某一物质,并将其命名为“guaranine”。1827年,法国科学家乌德里(M. Oudry)在茶叶中提取某一物质,并将其命名为“thein”。直到 1838 年和 1840 年,科学家证明“guaranine”和“thein”为相同的物质并且结构与咖啡因相同。
1895 年,德国化学家费歇尔(Hermann Emil Fischer)在实验室中首次人工合成了咖啡因。1902 年,该研究成果作为费歇尔众多研究成果的一部分,帮助费歇尔获得诺贝尔化学奖。
咖啡因对人体的作用
咖啡因对人体的整体影响
咖啡因可以作用于人体的中枢系统,少量咖啡因可以作用于大脑皮层高位的中枢,振奋精神并缓解疲劳,同时具有一定的纾解忧郁的作用。大剂量有兴奋延脑呼吸中枢以及血管中枢的作用。此外,咖啡因可以增加肾小球的血流量,减少肾小球对钠离子的重吸收,因此有一定的利尿作用。
因咖啡因具有抗氧化的功能,所以可以溶解血液凝块及组织血栓形成,少量咖啡因可以增强心肌收缩能力,促进血液循环。另外咖啡因可以通过刺激交感神经兴奋,提高胃液分泌,起到促进消化的效果。
另外,多项研究表明,咖啡因的服用,与2型糖尿病的患病概率以及人体体重的增加呈现负相关的关系,这可能是咖啡因的影响,也有可能是咖啡中其他成分的共同作用,具体原因尚无定论。
运动前或运动中补充适量咖啡因,可以短暂提高高强度运动项目的运动能力,但不能提高无氧运动的运动能力,也无法对力量水平进行提升。另外,咖啡因可以降低对运动疲劳的主观感觉和运动时的疼痛阈值,并增强交感神经系统的活动。
咖啡因的作用机理
咖啡因的分子结构与腺苷类似,因此可以与细胞表面的腺苷受体结合,起到腺苷受体的竞争抑制剂的作用,与此同时,咖啡因与腺苷受体结合后并不会激活腺苷受体。
目前已知的腺苷受体主要有四种,分别是A1、A2A、A2B和A3,咖啡因与这四种受体均可结合,其中,A1受体是四种受体中,在人体大脑和脊髓中分布最广泛的腺苷受体亚型,同时也是与咖啡因的亲和力最大的亚型。
腺苷的作用,是可以抑制兴奋性神经递质的释放,从而降低皮质的兴奋性。而因为咖啡因的竞争性抑制剂的效果,使得腺苷无法与受体结合,从而提高神经系统的兴奋性。
咖啡因的作用机制

咖啡因在人体内的代谢
口服咖啡因后,咖啡因可以迅速被胃肠道吸收,不存在明显的首过代谢,血液中的咖啡因,10%~30%会与血浆蛋白结合,以一级动力消除,在人体中,咖啡因的半衰期为4-9小时,具体时间受多种因素的影响。
咖啡因的代谢主要在肝脏中进行,其代谢路径比较复杂,主要途径包括:去甲基化生成二甲基取代的黄嘌呤衍生物(可可碱、副黄嘌呤、茶碱),其中,副黄嘌呤为主要的代谢产物,约占代谢产物总量的80%;该三类物质可以进一步去甲基化生成单甲基取代的黄嘌呤衍生物(1-甲基黄嘌呤、3-甲基黄嘌呤、7-甲基黄嘌呤)。咖啡因与以上六种化合物的C8位均可发生氧化生成尿酸衍生物,代谢产物如下表:
反应物 | 氧化后的产物 |
咖啡因 | 1,3,7-三甲基尿酸 |
茶碱 | 1,3-二甲基尿酸 |
可可碱 | 3,7-二甲基尿酸 |
副黄嘌呤 | 1,7-二甲基尿酸 |
1-甲基黄嘌呤 | 1-甲基尿酸 |
3-甲基黄嘌呤 | 3-甲基尿酸 |
7-甲基黄嘌呤 | 7-甲基尿酸 |
副黄嘌呤经过一系列反应可以生成AFMU(5-乙酰氨基-6-甲羧基氨基酸-3-甲基尿嘧啶),该化合物可以自发分解生成AAMU(5-乙酰氨基-6-氨基-3-甲基尿嘧啶)。
咖啡因的代谢途径及其代谢物的化学结构

图中CYP2E1、CYP1A2等物质未反应需要的酶,?表示未知的代谢中间产物
咖啡因的代谢产物最后几乎都由肾脏排出,尿液中,含量最高的代谢产物为1-甲基尿酸,另外,约10%的咖啡因会以原型排出。
咖啡因的不利影响
过量使用
大量摄入咖啡因的副作用主要包括焦虑、不安、紧张、失眠以及思维和语言混乱等。咖啡因摄入量超过1.2g,会对人体产生毒副作用,当摄入咖啡因的含量达到10~14g,可对人体造成致命性危害。饮用咖啡和茶等饮料一般不会造成咖啡因中毒,因为咖啡和茶中的咖啡因含量相对较低,短时间内饮用75~100杯咖啡才能达到致命的咖啡因摄入量。造成咖啡因中毒的主要原因,是摄入了咖啡因的固体或液体药剂所导致的。
咖啡因与酒精混用可能会加重咖啡因的影响,因此应避免将高咖啡因饮品(大于200mg咖啡因的饮料)与酒精混合饮用。
咖啡因具有成瘾性,大剂量或长期使用后,在停用是会出现精神萎顿、浑身困乏疲软等戒断反应。
孕期与哺乳期妇女
咖啡因具有分子量小,脂溶性高,在生理状态下不离子化的特点,可以通过胎盘屏障,被胎儿吸收,从而影响到胎儿的发育。大量使用咖啡因有可能造成胎儿畸形,因此世界卫生组织(WHO)、美国食品药品管理局(FDA)等机构均建议孕期以及哺乳期的妇女应该限制每日咖啡因的摄入量。
咖啡因的应用
食品行业
咖啡与茶
咖啡因是咖啡对人体的生理作用的重要原因,同时也是造成咖啡苦味的原因之一。不同咖啡豆中,咖啡因的含量不同,中果咖啡豆(coffee canephora)中咖啡因的含量约为2.2%,阿拉比卡(Arabica)咖啡豆的咖啡因含量约为1.2%,阿拉巴斯塔(arabusta)咖啡豆中咖啡因的含量约为1.72%。而每杯咖啡中咖啡因的含量,受咖啡的冲制方式影响较大,一杯咖啡中咖啡因的含量一般为70mg~140mg。
咖啡因在茶叶中含量较多,高于咖啡豆中的咖啡因的含量,但由于泡茶所用茶叶的种类、数量不同以及泡制方式不同,对茶水中最后所含有的咖啡因的数量均有较大的影响,茶水中咖啡因的数量一般相对较低。
可乐与能量饮料
普通的可口可乐和健怡可乐均含有一定的咖啡因,一罐335ml的可乐中,约含有34mg的咖啡因,而健怡可乐咖啡因的含量约为46mg。但并非所有的碳酸饮料产品均含有咖啡因,比如雪碧、芬达等产品为无咖啡的饮品,传统口味的可乐也有不含咖啡因的版本。
在能量饮料中,每100g饮料中,咖啡因的平均含量约为31mg。
巧克力
由可可制备的黑巧中含有一定量的咖啡因,每100g黑巧中,咖啡因的含量约为43mg。
医用
早产儿呼吸暂停药物
咖啡因自20世纪70年代起,被用于防止早产儿呼吸暂停(apnea of prematurity, AOP)(),枸橼酸咖啡因分别于1997年和2008年在法国和英国上市;美国FDA于1999年正式批准其用于28~33周AOP的短期应用;2013年,商业化的枸橼酸咖啡因在中国上市,并被批准在应用同时进行临床安全性多中心评估。
止痛药
咖啡因常与阿司匹林等制成复合制剂用于治疗一般性头痛,或与麦角胺合用治疗偏头痛,咖啡因治疗头痛的原理是,其对脑部血管有较强的收缩作用,可以抵消嘌呤对脑部血管的扩张作用,而血管扩张被认为是导致偏头痛的原因之一。
咖啡因被添加进止痛药时,可以帮助减轻疼痛,相关研究显示,在止痛药中添加特定量的咖啡因,可以对缓解患者的疼痛有帮助。
糖尿病预防
摄入咖啡因可以在短期内降低人体对胰岛素的敏感性,造成血糖升高,但是这并不会增加换糖尿病的风险,相反,一些研究结果表明,咖啡因摄入与二型糖尿病之间呈现负相关的关系。但是,在另一些研究中,摄入含咖啡因的咖啡与不含咖啡因的咖啡,得到了相似的结果,因此对于咖啡因在降低二型糖尿病风险方面的作用,应持谨慎态度。
理化性质
咖啡因是嘌呤类的衍生物,又称咖啡碱,化学名称是1,3,7-三甲基-2,6-二氧嘌呤,其结构式与茶碱、可可豆碱类似。纯品咖啡因为白色针状结晶或白色粉末状物质,味苦,无气味,熔点是236.2℃。咖啡因的沸点是178℃,但在100℃时即失去结晶水,并开始升华,在120~178℃时升华迅速。
咖啡因易溶于氯仿、热水,略溶于水、乙醇、丙酮等溶剂();微溶于石油醚、乙醚和苯, 咖啡因是弱碱性物质,水溶液对石蕊试纸呈中性反应。
咖啡因的合成
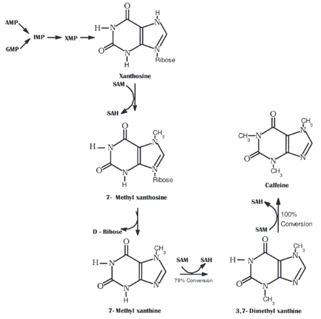
生物合成
茶组植物中,咖啡因的生物合成由黄嘌呤的甲基化开始,主要通过以下4个关键步骤完成:
黄嘌呤核苷(xanthosine)→7-甲基黄嘌呤核苷(7-methylxanthosine)→7-甲基黄嘌呤(7-methylxanthine)→可可碱→咖啡因。
咖啡因生物合成过程()

工业合成
半合成法
用盐酸水解鱼鳞可以得到鸟粪素,再重氮化转变为黄嘌呤,再将黄嘌呤进行甲基化,制得咖啡因。另外,半合成法中,可以以尿酸为起始原料,来合成咖啡因。
全合成法
氰乙酸乙酯在乙醇钠的存在下与尿素缩合,制得4-亚氨基脲嗪,再经亚硝化、还原、甲酰化、环合以及甲基化后,合成咖啡因。该方法为1963年以前,中国工业生产咖啡因的主要方法。
脱咖啡因
水脱除咖啡因
水脱除咖啡因是利用咖啡因在水(尤其是热水)中具有一定的溶解度,来对咖啡因进行脱除的方法。一般先用水萃取咖啡因,然后再用溶剂萃取或其他方法脱除水中的咖啡因。
溶剂萃取法
溶剂萃取法是1970年代以前,咖啡因萃取的主要方法,该方法是对咖啡豆或茶叶进行预处理后,再利用咖啡因溶于某些有机溶剂的特性,对咖啡因进行萃取。 常用的溶剂有二氯甲烷、乙酸乙酯等,其中,二氯甲烷因为环保以及有可能致癌等原因,在咖啡生产中被逐步淘汰。
超临界流体提取法
超临界二氧化碳流体萃取法可以分为二步法和一步法(半连续法),其中,半连续法更具技术、经济上的优势。
以德国曾开发的一种两步法的工艺为例,先用干燥的超临界二氧化碳去除茶叶中的芳香类物质,之后用潮湿的超临界二氧化碳提取茶叶中的咖啡因,将茶叶再干燥后,与第一步提取出的芳香类物质重新混合。
半连续法提取咖啡因,先将含水咖啡豆放入萃取塔中,将超临界二氧化碳从底部通入萃取塔,将带有咖啡因的高压二氧化碳从萃取塔上部离开,进入水喷淋塔,利用从上至下喷淋的水分吸收咖啡因,已达到脱除咖啡因的目的。而得到的咖啡与水的混合物通过反渗透、蒸馏等方式进行浓缩后,可再用于精制。
升华法
利用咖啡因在大于100℃的环境下可以升华的性质,可以将咖啡因从咖啡浸出物中分离出来。目前常用的流程为两种,一种是升华、去杂、重结晶、含水咖啡因;另一种是浸提、去杂、升华、无水咖啡因。利用升华法得到的是粗咖啡因,可以进一步对其进行精制。
吸附和洗脱提取法
吸附与洗脱提取法是利用吸附剂与咖啡中功能性成分具有特定的吸附特性,使其与咖啡中其他成分分离,再利用洗脱剂将功能性成分洗脱下来的方法。可采用C18柱为吸附材料,甲醇和水等物质作为洗脱剂,并通过高效液相色谱-紫外检测器等方式对咖啡因等物质进行定量。
咖啡因的检测
现场快速检测
外观观察法
咖啡因为质轻、柔韧、有光泽的白色针状结晶或粉末。
化学分析法
咖啡因加盐酸和氯酸钾,置水浴上蒸干,残渣遇氨气显紫色;再加入数滴氢氧化钠,紫色消失。也可向咖啡因的饱和冷水溶液中加入鞣酸液生成沉淀,再加入过量鞣酸液,沉淀溶解。
实验室检测
高效液相色谱法
高效液相色谱法检测咖啡因,是将试样经热水提取、氧化镁净化后,经C18色谱柱分离,再用紫外检测器检测,外标法定量的一种方法。可用于对可乐型饮料,咖啡、茶叶及其制品中的咖啡因含量进行测定。为食品安全国家标准中,检测咖啡因的第一法。
紫外分光光度法
咖啡因样品经热水提取、净化后,因咖啡因的三氯甲烷溶液在276.5nm波长下有最大吸收,并且吸收值的大小与咖啡因浓度成正比,因此可用与咖啡因的定量检测。
法律法规与限制
中国
咖啡因作为食品添加剂使用时,最大使用量为0.15g/kg,加入咖啡因的饮品属于可乐型碳酸饮料。 另外食品标签上应该按照GB 2760、食品添加剂的产品质量规格标准和中国国家主管部门批准使用的食品添加剂中的规定标示具体名称。
纯品咖啡因属中华人民共和国管制的第二类精神药物,其生产、经营、销售等活动应遵从《麻醉药品和精神药品管理条例》等政策与法律条文规定。
根据中华人民共和国《刑法》第三百四十七条规定:“走私、贩卖、运输、制造毒品,无论数量多少,都应该追究刑事责任,予以刑事处罚。”
国际
联合国粮农组织(FAO)、世界卫生组织(WHO)以及国际食品法典委员会(CAC)已确认咖啡因作为食品添加剂的安全性,但是并未制定相关标准。但是对于怀孕的妇女以及哺乳期妇女,WHO 建议每人每天的咖啡摄入量应该控制在3~4杯以下。
美国
美国食品药品管理局(FDA)将咖啡因列为美国联邦法规(21CFR182.1180)中的“一般公认为安全(GRAS)”的物质,但是在可乐等饮料中的添加量应该不超过200ppm(0.02%)
2018年6月,FDA发布公告,认为纯品或高浓度的咖啡因产品对公众健康构成威胁,列入非法物品的范畴,并禁止相关产品在市场上的销售。
欧洲
2015年,EFSA就膳食来源中的咖啡因风险给出意见,认为健康成人单次摄入200mg以下,全天摄入400mg以下的咖啡因,不会对健康造成影响;但是怀孕妇女和哺乳期妇女应该控制在200mg以下;3~18岁的儿童和青少年,每日的咖啡因摄入量应该控制在3mg/kg 以下。在食品中,如果咖啡因的含量高于150mg/L,则应该根据(EU)1169/2011号法规的要求,标注“高咖啡因含量”的警告信息。
澳大利亚和新西兰
根据澳大利亚与新西兰视频管理局(ANZFA)的规定,禁止销售纯咖啡因或高浓度咖啡因的制品和食品。其中,对于高咖啡因产品的定义是,固体食品中,咖啡因的含量不能超过5%;液体食品中咖啡因的含量不能超过1%。
对于不同人群咖啡因的摄入量,ANZFA的建议是,对于18岁以下的人群,每人每天的咖啡因摄入量应该不超过2mg/kg;超过18岁的人群,每人每天的咖啡因摄入量建议控制在400mg以下;孕妇或哺乳期妇女的摄入量,每人每天应该控制在200mg以下。
日本
根据日本厚生劳动省在1996年4月颁布的“厚生省告示第一百二十号第五十九条”,将咖啡因提取物列入“既存咖啡因名录”中,根据此规定,从植物中提取的咖啡因可以作为食品添加剂使用,但是通过化学合成的咖啡因则不可以作为食品添加剂使用。
注释
[a]根据《中华人民共和国刑法》第三百五十七条规定,毒品指鸦片、海洛因、甲基苯丙胺(冰毒)、吗啡、大麻、可卡因以及国家规定管制的其他能够使人形成瘾癖的麻醉药品和精神药品。
[b]每人每天的咖啡因摄入量应该不超过2mg/kg是指,如果一个儿童的体重是40kg,则该儿童每天摄入的咖啡因不应该超过40mg。