医学用途
适应证
主要用于敏感菌引起的下列感染:
慢性支气管炎急性细菌感染性加重;
医院获得性肺炎和社区获得性肺炎;
急性鼻窦炎;
急性单纯性下尿路感染;复杂性尿路感染;
急性肾孟肾炎;
急性盆腔炎和腹腔感染;怀疑有厌氧菌混合感染时,需加用抗厌氧菌药;
复杂性和非复杂性皮肤及其附属结构感染皮肤和皮肤结构感染;
细菌性前列腺炎;
沙眼衣原体所致非淋菌性尿道炎和宫颈炎;
伤寒;
感染性腹泻;
骨、关节感染;
血流感染等较重感染,需应用注射剂。
用法与用量
中国
口服
①慢性支气管炎急性细菌感染性加重:每日400mg,分2次服;或每日500mg,一次性顿服。疗程7日。
②社区获得性肺炎:每日400mg,分2次服;或每日500mg,一次性顿服。疗程7~14日。
③急性鼻窦炎:每日400mg,分2次服;或每日500mg,一次性顿服。疗程10~14日。
④皮肤及软组织感染:每日400mg,分2次服;或每日500mg,一次性顿服。疗程7~14日。
⑤急性单纯性下尿路感染:每日200mg,一次性顿服,疗程3~7日。
⑥复杂性尿路感染、急性肾盂肾炎:每日400mg,分2次服;或每日500mg,一次性顿服。疗程10~14日。
⑦慢性细菌性前列腺炎:每日400mg,分2次服;或每日500mg,一次性顿服。疗程6周。
⑧与适当的抗菌疗法联合用药根除幽门螺杆菌:一次0.5g,一日1次,餐后口服,疗程7日或10日(对于耐药性严重的地区,可考虑延长至14日,但不宜超过14日)。
缓慢静脉滴注
缓慢静脉滴注治疗剂量及疗程同口服,根据病情需要,可先于静脉滴注,继以口服左氧氟沙星的序贯疗法。需注意左氧氟沙星的注射剂只供缓慢静脉滴注,不可快速静脉输注,也不可用作肌内注射。每200mg的左氧氟沙星静脉滴注时间不少于60分钟。
左氧氟沙星用于肾功能减退患者的剂量调整血肌酐清除率[ml/min(ml/s)] | 剂量 |
40~70(0.67~1.17) | 100mg·q·12h |
20~40(0.33~0.67) | 100mg·q·24h |
<20(<0.33) | 100mg·q·48h |
其他国家
其他国家的左氧氟沙星用法用量(口服与静脉给药剂量相同)如下:
①慢性支气管炎急性细菌感染性加重,一次500mg,每日1次,疗程7日。
②社区获得性肺炎,一次500mg,每日1次,疗程7~14日;医院获得性肺炎,一次750mg,每日1次,疗程7~14日。
③急性上颌窦炎,一次500mg,每日1次,疗程10~14日。
④复杂性皮肤及其附属结构感染,一次750mg,每日1次,疗程7~14日。
⑤单纯性皮肤及其附属结构感染,一次500mg,每日1次,疗程7~10日。
⑥单纯性下尿路感染,一次250mg,每日1次,疗程3日。
⑦急性肾盂肾炎,一次250mg,每日1次,疗程10日。
⑧复杂性尿路感染,一次250mg,每日1次,疗程10日。
剂型与规格
左氧氟沙星常用剂型主要有片剂、注射剂和滴眼剂等(包括其成盐[盐酸、乳酸、甲磺酸]制剂)。
左氧氟沙星剂型及规格药品名称 | 制剂分类 | 剂型 | 医保类型 | 规格(按C18H20FN3O4计) |
左氧氟沙星滴眼液(盐酸、乳酸) | 单一成分制剂 | 滴眼剂 | 甲类 | 0.488%(5ml:24.4mg)、0.3%(5ml:15mg)、0.488%(0.4ml:1.952mg)等 |
注射用左氧氟沙星(盐酸、乳酸、甲磺酸) | 单一成分制剂 | 注射剂 | 甲类 | 0.1g、0.2g、0.3g、0.4g、0.5g |
左氧氟沙星片/分散片/胶囊(盐酸、乳酸、甲磺酸) | 单一成分制剂 | 片剂/胶囊剂 | 甲类 | 0.1g、0.2g、0.25g、0.5g |
(盐酸、乳酸)左氧氟沙星葡萄糖/氯化钠注射液 | 单一成分制剂 | 注射剂 | 乙类 | 100ml:0.1g、100ml:0.2g、100ml:0.3g、100ml:0.5g等 |
盐酸左氧氟沙星眼用凝胶 | 单一成分制剂 | 眼用凝胶剂 | 乙类 | 5g:0.015g |
盐酸左氧氟沙星滴耳液 | 单一成分制剂 | 滴耳剂 | 乙类 | 0.5%(5ml:25mg) |
盐酸左氧氟沙星乳膏 | 单一成分制剂 | 乳膏剂 | - | 3%:15g |
药理机制
抗菌谱
氟喹诺酮类具有广谱抗菌作用,尤其对需氧革兰阴性杆菌的抗菌活性高。
对下列细菌在体外具有良好抗菌作用:肠杆菌科细菌,包括柠檬酸杆菌属、阴沟肠杆菌、产气肠杆菌、大肠埃希菌、克雷伯菌属、变形杆菌属、沙门菌属、志贺菌属、弧菌属、耶尔森菌等。
对产酶流感嗜血杆菌和莫拉菌属均有高度抗菌活性。
对铜绿假单胞菌等假单胞菌属的大多数菌株具有良好抗菌作用。
对甲氧西林敏感葡萄球菌具有抗菌活性,对肺炎链球菌、溶血性链球菌和粪肠球菌仅具有中等抗菌活性。
对沙眼衣原体、支原体、军团菌具有良好抗微生物作用,对结核分枝杆菌和非典型分枝杆菌亦有抗菌活性。
对厌氧菌的抗菌作用差。随着氟喹诺酮类药物的大量使用细菌对氟喹诺酮类耐药性明显增高,尤以大肠埃希菌为著,耐药率可高达 50%以上。葡萄球菌属、铜绿假单胞菌对左氧氟沙星的耐药性亦有增高,各种氟喹诺酮类的不同品种间呈交叉耐药。
作用机制
氟喹诺酮类药物(包括左氧氟沙星)为杀菌药,氟喹诺酮类药物的药理机制主要是作用于细菌DNA旋转酶和(或)拓扑异构酶IV,抑制DNA的合成和复制而导致细菌死亡。
具体机制如下:
DNA回旋酶
一般认为,DNA回旋酶的A亚基是喹诺酮类的作用靶点,但是二者不能直接结合;药物需嵌入断裂DNA链,形成酶-DNA-药物三元复合物而抑制DNA回旋酶的切口活性和封口活性,达到杀菌作用。
哺乳动物细胞内的拓扑异构酶Ⅱ(topoisomerase Ⅱ)在功能上类似于菌体内的DNA回旋酶,喹诺酮类对细菌的DNA回旋酶选择性高,仅在很高浓度才能影响哺乳动物的拓扑异构酶Ⅱ,故临床不良反应少。
拓扑异构酶Ⅳ(topoisomerase Ⅳ)
是含有ParC和ParE两种亚单位的四聚体蛋白酶,分别由parC和parE基因编码,四聚体蛋白酶是喹诺酮类药物抗革兰阳性菌的重要靶点。拓扑异构酶Ⅳ具有解除DNA结节、解开DNA环连体和松弛超螺旋等作用,可协助染色体分配到子代细菌。喹诺酮类通过抑制拓扑异构酶Ⅳ而干扰细菌DNA复制。
抗生素后效应(postantibiotic effect,PAE)
某些细菌与药物接触后即使未被立即杀灭,在此后2~6小时内失去生长能力,切抗生素后效应持续时间的长短与喹诺酮类药物的浓度呈正相关,左氧氟沙星在1.0mg/L和4.0mg/L浓度时,抗生素后效应分别是0.7小时和1.9小时。
药代动力学
左氧氟沙星口服吸收完全,生物利用度近100%。单次空腹口服100mg和200mg后,Cmax(达峰浓度)分别可达1.36mg/L和3.06mg/L。tmax(达峰时间)为1小时。单次口服左氧氟沙星250mg、500mg后,Cmax分别为2.8mg/L、5.1mg/L;单次静脉滴注左氧氟沙星500mg和750mg后,Cmax分别为(6.2±1)mg/L和(11.5±4)mg/L。每日1次、每次500mg或750mg多剂口服给药后,达稳态血药浓度时,平均峰、谷浓度分别为(5.7±1.4)mg/L和(0.5±0.2)mg/L,以及(8.6±1.9)mg/L和(1.1±0.4)mg/L。每日1次、每次500mg或750mg多剂静脉滴注给药后,达稳态血药浓度时,平均峰、谷浓度分别为(6.4±0.8)mg/L和(0.6±0.2)mg/L,以及(12.1±4.1)mg/L和(1.3±0.7)mg/L。左氧氟沙星500mg与食物同服时,达峰时间略推迟(约1小时),血药峰浓度略降低(约降低14%)。
血浆蛋白结合率为30%~40%,体内广泛分布,表观分布容积为74~112L。肺组织中药物浓度可达同期血药浓度的2~5倍,皮肤组织、水疱液、扁桃体、前列腺组织、女性生殖道组织、痰液、泪液、唾液中药物浓度为同期血药浓度的1~2倍。
左氧氟沙星在体内代谢甚少,主要经肾排出,给药后48小时内约自尿中以原形药物排出给药量的87%,以代谢产物形式排出量小于给药量的5%。给药后72小时内自粪排出量<4%。t½(血浆消除半衰期)为6~8小时。肾功能减退时,左氧氟沙星消除半衰期延长,清除缓慢,需调整剂量。左氧氟沙星不被血液透析和腹膜透析所清除。
风险与禁忌
不良反应
左氧氟沙星Ⅲ期临床试验资料显示与药物相关的不良反应发生率为6.3%,因不良反应中止用药者3.9%。
常见不良反应
(1)胃肠道反应:较为常见,多表现为腹部不适或疼痛、胃纳减退、恶心或呕吐、腹泻或便秘、味觉异常等。
(2)中枢神经系统反应:发生率仅次于胃肠道反应,多表现为头晕、头痛、嗜睡或失眠等。
(3)过敏反应:①皮疹、皮肤瘙痒,偶可出现渗出性多形性红斑和血管神经性水肿;②光过敏和光毒性,表现为暴露部位轻至中、重度皮疹、疱疹;③偶可发生过敏性休克。
(4)左氧氟沙星的注射剂静脉给药时少数患者有局部反应,包括注射部位疼痛和注射部位炎症。
(5)实验室检查异常:主要有肝功能异常、白细胞减少等,偶有血糖降低。
严重和其他重要的不良反应
心血管系统:QT间期延长、尖端扭转型室性心动过速、室性心律失常。
中枢神经系统:惊厥、中毒性精神病、震颤、躁动、焦虑、头晕、意识模糊、幻觉、妄想、抑郁、恶梦、失眠、癫痫发作、极少数情况可导致患者产生自杀的念头或行动。
周围神经病变:感觉错乱、感觉迟钝、触物痛感、疼痛、烧灼感、麻刺感、麻木、无力,或轻触觉、痛觉、温度觉、位置觉和振动觉异常、多发性神经炎。
骨骼肌肉系统:关节痛、肌痛、肌无力、张力亢进肌腱炎、肌腱断裂、重症肌无力恶化。
超敏反应:荨麻疹、瘙痒及其他严重皮肤反应(如中毒性表皮坏死松解症、多形性红斑)、呼吸困难、血管神经性水肿(包括舌、喉、咽或面部水肿/肿胀)、心血管性虚脱、低血压、意识丧失、气道阻塞(包括支气管痉挛、气促及急性呼吸窘迫)、过敏性肺炎、过敏性休克。
肝胆系统:肝炎、黄疸、急性肝坏死或肝衰竭。
泌尿系统:急性肾功能不全或肾衰。
血液系统:贫血,包括溶血性贫血和再生障碍性贫血、血小板减少症、包括血栓性血小板减少性紫癜、白细胞减少症、粒细胞减少症、全血细胞减少症和/或其他血液病。
其他:发烧、血管炎、血清病、难辨梭菌相关性腹泻、血糖紊乱、光敏感性/光毒性等。
药物过量
左氧氟沙星的急性毒性很低。单次给予大剂量左氧氟沙星后,小鼠、大鼠、狗和猴可以出现下列临床体征:共济失调、上睑下垂、自发活动减少、呼吸困难、衰竭、震颤及惊厥。口服剂量超过1500mg/kg及注射剂量超过250mg/kg时可使啮齿类动物死亡率显著升高。
喹诺酮类药物(包括盐酸左氧氟沙星)过量时,可出现以下症状:恶心、呕吐、胃痛、胃灼热、腹泻、口渴、口腔炎、蹒跚、头晕、头痛、全身倦怠、麻木感、发冷、发热、锥体外系症状、兴奋、幻觉、抽搐、谵狂、小脑共济失调、颅内压升高(头痛、呕吐、视神经乳头水肿)、代谢性酸中毒、血糖增高、GOT/GPT/ALP(肝功指标,分别是谷-丙转氨酶、谷-草转氨酶和碱性磷酸酶)增高、白细胞减少、嗜酸性粒细胞增加、血小板减少、溶血性贫血、血尿、软骨/关节障碍、白内障、视力障碍、色觉异常及复视。
急性过量时应洗胃(仅在服用口服制剂时),观察并给予水、电介质支持疗法。血液透析或腹膜透析不能有效清除左氧氟沙星。
急救措施及解毒药:
(1)输液(加保肝药物):代谢性酸中毒给予碳酸氢钠注射液,尿碱化给予碳酸氢钠注射液,以增加左氧氟沙星由肾脏的排泄。
(2)强制利尿:给予呋喃苯氨酸注射液。
(3)对症疗法:抽搐时应反复给予安定静脉注射液。
药物相互作用
文献报道的左氧氟沙星药物相互作用如下:
1.与决奈达隆、美索达嗪或硫利达嗪合用,Q-T间期延长的作用相加,出现Q-T间期延长、尖端扭转型室性心动过速或心脏停搏等心脏毒性的风险增加,属禁忌。
2.与利多卡因、乙酰卡尼、恩卡尼、氟卡尼、托卡尼、普鲁卡因胺、普罗帕酮、胺碘酮、美西律、溴苄胺、丙吡胺、莫雷西嗪、奎尼丁、阿义马林、替地沙米、阿齐利特、多非利特、司美利特、伊布利特、雷诺嗪、索他洛尔、氟康唑、氯丙嗪、奋乃静、氟哌利多、齐拉西酮、伊洛哌酮、美沙酮、舒尼替尼、拉帕替尼、尼洛替尼等合用,Q-T间期延长的作用叠加,出现Q-T间期延长、尖端扭转型室性心动过速、心脏停搏等心脏毒性的风险增加。
3.与阿洛司琼合用,由CYP1A2调节的药物(如替扎尼定、咖啡因等)代谢被抑制,阿洛司琼血药浓度上升,出现不良反应的风险增加。
4.含镁、铝的抗酸药,含铁制剂和含锌的多种维生素制剂等均可干扰左氧氟沙星的口服吸收,使药物吸收减少,因此不宜合用,或在服左氧氟沙星前或后至少间隔2小时服用。左氧氟沙星不宜在同一静脉输液通道内与含多价阳离子的溶液同用。
5.左氧氟沙星对茶碱的血药浓度(Cmax)、药时曲线下面积(AUC)等药动学参数无明显影响。茶碱对左氧氟沙星的吸收等亦无明显影响。但由于其他一些喹诺酮类药物与茶碱合用时,可使茶碱消除半衰期延长,血药浓度增高,致患者茶碱相关不良反应发生的危险性增加,因此在使用左氧氟沙星时仍应严密监测茶碱浓度,必要时调整剂量。
6.左氧氟沙星对华法林的Cmax、AUC等药动学参数无明显影响,华法林对左氧氟沙星的体内过程亦无明显影响。但在左氧氟沙星上市后监测中有该药增强华法林作用的报道,增加出血的风险,因此,两者合用时应监测相应的凝血酶原时间和出血倾向。
7.丙磺舒和西咪替丁对左氧氟沙星吸收过程无明显影响,但可使左氧氟沙星的AUC增高27%~38%,t½延长30%,而总清除率及肾清除率降低21%~35%。但左氧氟沙星与上述药物合用时不需调整剂量。
8.非甾体抗炎药与喹诺酮类药物(包括左氧氟沙星)合用,γ-氨基丁酸受抑制,导致中枢神经系统兴奋,癫痫发作的风险增加。
9.降糖药与喹诺酮类药物包括左氧氟沙星合用时,可能出现高血糖或低血糖变化,用药过程中需严密监测血糖波动,及时予以相应处理。
耐药性
由于喹诺酮类药物的广泛应用,细菌对喹诺酮类药物的耐药性发展很快,喹诺酮类药物间有交差耐药,常见的耐药菌为金葡菌、肠球菌、大肠埃希菌和铜绿假单胞菌等。
氟喹诺酮类抗菌药物,包括左氧氟沙星,其化学结构和作用方式与氨基糖苷类、大环内酯类及β-内酰胺类抗菌药物(包括青霉素)均不同。因此氟喹诺酮类药物对上述抗菌药物耐药的细菌仍可能有效。
特殊人群用药
儿童用药:不宜常规用于儿童。
妊娠及哺乳期妇女用药:妊娠期妇女禁用。喹诺酮类药可分泌至乳汁中,其浓度接近血药浓度,哺乳期妇女使用左氧氧氟沙星对乳儿的风险不能排除,应停止授乳。
老年人用药:老年人慎用。老年患者使用左氧氟沙星后出现Q-T间期延长的风险更大,老年患者常有生理性肾功能减退,应按照肾功能减退情况调整剂量。
糖尿病患者慎用。
有重症肌无力病史慎用。
有癫痫病史者慎用。
有精神病史者慎用。
禁忌症
对喹诺酮类药物过敏者禁用。
妊娠期妇女禁用。
注意事项
1.肾功能减退患者应用左氧氟沙星时需谨慎,因左氧氟沙星主要自肾排出,肾功能减退时左氧氟沙星清除减少。当肌酐清除率<50ml/min时需调整给药剂量,以免药物在体内蓄积。
2.与其他喹诺酮类相仿,在用药期间可能出现血糖增高或降低,通常发生在使用口服降糖药或胰岛素的糖尿病患者中,遇此情况应严密监测血糖,一旦发现低血糖反应,需立即停用左氧氟沙星,并立即予以相应治疗。
3.应避免与延长Q-T间期药物(如奎尼丁、普鲁卡因胺等Ⅰa类以及胺碘酮、索他洛尔等Ⅲ类抗心律失常药)同用,可减少发生心律失常的危险性,也应避免在低钾血症、心肌病等患者中的应用。
4.左氧氟沙星应避免在原有中枢神经系统疾病(如脑动脉硬化、癫痫患者)中应用,以减少严重中枢神经系统反应发生的可能。肾功能减退者未减量使用左氧氟沙星,易致癫痫等严重不良反应发生。如出现周围神经炎,应停药。
5.左氧氟沙星所致光毒性反应甚为少见(<0.1%),但仍应避免过度日光或人工紫外线照射。
6.口服或静脉使用左氧氟沙星,肌腱炎和肌腱断裂的风险增加。60岁以上高龄、同时用甾体类激素治疗以及肾脏、心脏或肺移植者风险更大。肾功能不全、类风湿关节炎病史、体力活动或情绪紧张均增加肌腱断裂的风险。出现肌腱疼痛、肿胀或发炎症状时,应立即停药。
7.有报道左氧氟沙星有肝毒性,包括急性肝炎,甚至有致死的病例。65岁以上患者风险增大。如出现肝炎的体征或症状,应立即停药。
8.左氧氟沙星的严重不良反应包括肌腱炎和肌腱断裂,周围神经病变,中枢神经系统的影响和重症肌无力加剧。当发生以上严重不良反应,应立即停用左氧氟沙星并避免使用氟喹诺酮类药品。
9.由于使用氟喹诺酮类药物(包括左氧氟沙星)已有报道发生严重不良反应,且对于一些患者,急性细菌性鼻窦炎/慢性支气管炎急性发作/单纯性尿路感染有自限性,应在没有其他药物治疗时方可使用左氧氟沙星。
风险提示
2013年08月02日国家药监总局发布《药品不良反应信息通报(第56期)警惕左氧氟沙星注射剂的严重不良反应》提醒左氧氟沙星注射剂严重不良反应/事件居前3位的不良反应表现依次为:过敏性休克(198例次,7.94%)、呼吸困难(197例次,7.90%)和过敏样反应(171例次,6.85%)。以及不合理用药增加了用药风险。
2013年11月21日国家药监总局发布《药品不良反应信息通报(第58期)关注氟喹诺酮类药品的严重不良反应》警告氟喹诺酮类药品可能引起重症肌无力加重和周围神经病变;部分氟喹诺酮类药品品种可能影响糖尿病患者的血糖控制水平。
2016年06月30日国家药监总局发布《药物警戒快讯 2016年第6期(总第158期)》提到2016年5月12日美国食品药品监督管理局(FDA)提示急性鼻窦炎、急性支气管炎和单纯性尿路感染的患者在有其他治疗选择的情况下,使用氟喹诺酮类抗菌药品治疗引发相关严重不良反应的风险通常大于效益。针对上述疾病,氟喹诺酮类药品应该仅用于那些没有其他方案可供选择的患者。且FDA安全性审查发现,氟喹诺酮类药品(包括片剂、胶囊和注射液)全身用药时,致残性和潜在的永久性严重不良反应可同时发生,这些不良反应累及肌腱、肌肉、关节、神经和中枢神经系统。
2018年09月04日《药物警戒快讯 2018年第8期(总第184期)》2018年7月10日,美国食品药品监督管理局(FDA)网站发布公告,要求修改全身用氟喹诺酮类抗生素的药品说明书,以强化警示信息,警告该类药品可能导致血糖显著降低以及精神异常副作用。需要增加或更新的精神异常副作用包括:注意力障碍、定向障碍、激动、神经质、记忆减退、谵妄等。
2019年04月16日国家药品监督管理局发布《药物警戒快讯 第1期(总第189期)》提到2018年12月20日,美国食品药品监督管理局(FDA)评估发现氟喹诺酮抗生素能增加罕见且严重的主动脉瘤破裂或夹层风险的发生。主动脉瘤破裂或主动脉撕裂(也称主动脉壁夹层),可导致出血危险甚至死亡,全身使用(口服、注射)氟喹诺酮抗生素可发生此风险。
历史
1946年,美国斯特林·怀特研究院的有机化学家勒谢(Lesher)博士进行了一项合成氯奎宁的实验。在合成过程中,他偶然发现了萘啶酸这一副产物。经过常规筛选,他发现萘啶酸具有抗菌活性。
1962年,Lesher博士确定了萘啶酸的抗菌特性。1963年,斯特林制药公司申请了萘啶酸的专利。1964年,斯特林公司宣布第一代喹诺酮类药品萘啶酸问世。
1969年第二代喹诺酮类药物问世,代表药物为吡哌酸。与第一代药物相比,第二代喹诺酮类药物抗菌谱扩大、不良反应减少并且其半衰期更长,对革兰阳性菌有一定的抑制效果,主要用于治疗尿路感染等。
拜耳公司的一位化学家发现了一种使抗生素更高效的工艺方法——环芳酰化,在母核6位碳上引入氟原子。氟原子的加入使得喹诺酮类药物抗菌活性极大增强。在很长一段时间内,6-氟结构的奇特效应使得氟成了喹诺酮类药物的必备配置。因此,后来人们习惯把喹诺酮类药物称为氟喹诺酮类药物。与此同时,在侧链上引入哌嗪环或者甲基噁唑环,这种改进扩大了喹诺酮类的抗菌谱,它对葡萄球菌等革兰阳性菌有抗菌作用,同时对一些革兰阴性菌的抗菌作用进一步加强。从此,喹诺酮类药物成了唯一可与β-内酰胺类抗生素相媲美的合成抗菌药。
氧氟沙星是第二代喹诺酮类的代表,它于1985年在日本上市。1982年,左氧氟沙星由德国赫斯特(Hoechst)公司和日本第一制药株式会社共同开发,左氧氟沙星对大多数临床分离菌的抗菌活性是氧氟沙星的两倍,不良反应却明显减少。1985年它在德国上市,1993年日本第一制药株式会社推出左氧氟沙星,商品名为可乐必妥,它成了第一制药株式会社的主要产品之一。
使用情况
左氧氟沙星由由德国赫斯特(Hoechst)公司和日本第一制药株式会社共同开发,1985年它在德国上市,1993年日本第一制药株式会社推出左氧氟沙星,商品名为可乐必妥。
1994年日本第一制药株式会社在中国申请了行政保护,其商品名为可乐必妥(Cravit)。
1995年通过美国食品与药品管理局批准在美国上市。
1997年中国成功研制其原料药。
左氧氟沙星由于抗菌作用优于母体药物氧氟沙星(泰利必妥)及其他沙星类药物,上市以来深受临床医学界欢迎。2015-2016年,在“10支世界上最受欢迎的抗菌药品”中,左氧氟沙星制剂占据2个名额,即第一名Levaquin和第六名Cravit。
左氧氟沙星已列入中国基本药物目录和世界卫生组织基本药物清单。
化学信息
化学名称
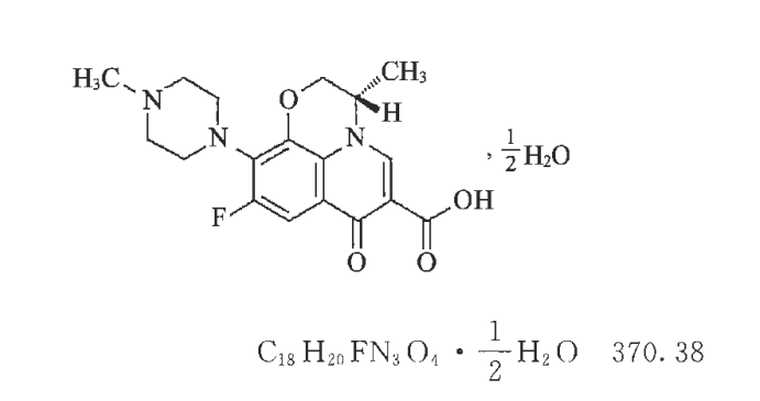
(一)-(S)-3-甲基-9-氟-2,3-二氢-10-(4-甲基-1-哌嗪基)-7氧代-7H-吡啶并[1,2,3-de]-1,4-苯并噁嗪-6-羧酸半水合物
按无水与无溶剂物计算,含左氧氟沙星(按C18H20FN3O4计)应为98.5%~102.0%
化学结构式

分子式:C18H20FN3O4·½H2O
分子量:370.38
性状:左氧氟沙星为本品为类白色至淡黄色结晶性粉末,无臭。
溶解度:左氧氟沙星在水中微溶,在乙醇中极微溶解,在乙醚中不溶;在冰醋酸中易溶,在0.1mol/L盐酸溶液中略溶
比旋度:取左氧氟沙星,精密称定,加甲醇溶解并定量稀释制成每1ml中约含10mg的溶液,依法测定(通则0621),比旋度应为-92°至-99°
沸点:572℃
熔点:218°C
密度:1.48±0.1 g/cm3
专利
左氧氟沙星1991年10月01日获得专利。专利持有人为日本第一制药株式会社。2005年第一制药株式会社和三共株式会社合并而成日本第一三共株式会社,专利持有人顺延为日本第一三共株式会社。
左氧氟沙星专利于2010年11月20日全球到期。
日本第一三共株式会社于2005年12月22日在美国获得专利争议案的胜诉。2010年5月10日二诉胜诉
日本第一三共株式会社于2006年10月17日在加拿大获得专利争议案的胜诉,2007年6月7日二诉胜诉。
日本第一三共株式会社于2008年10月15日在英国获得专利争议案的胜诉,2009年11月6日二诉胜诉。
相关人物

中国医学科学院医药生物技术研究所郭慧元教授是中国喹诺酮类抗菌药领域研发的学术带头人之一,对中国喹诺酮类药物的发展做出了突出贡献。20世纪80年代初,经过团队的共同努力并与工厂协作,在中国首先把左氧氟沙星研发成功并获批准上市,用该制备工艺生产的左氧氟沙星不仅质量与原研单位日本第一制药公司的产品一样,且原材料成本远低于日方。