基本资料
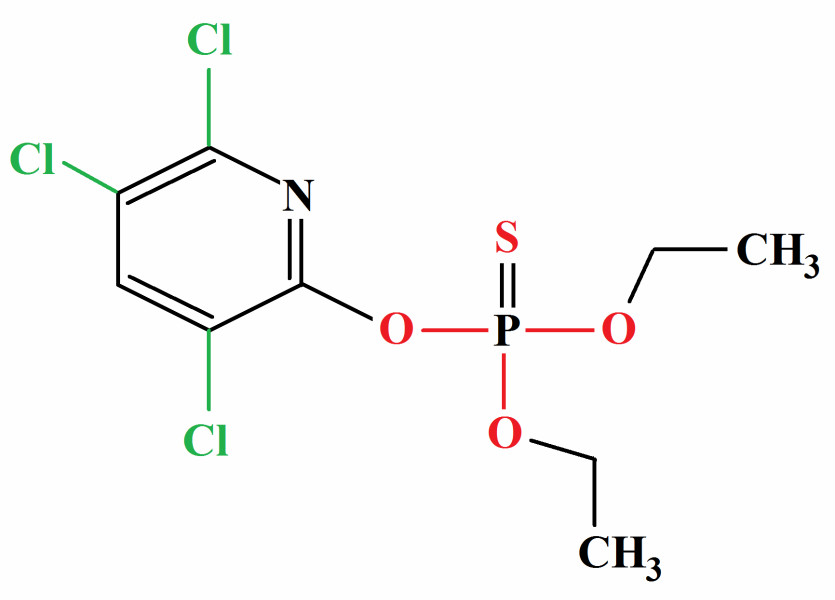
中文通用名称:毒死蜱(pí)
中文别名:O,O-二乙基-O-(3,5,6-三氯-2-吡啶基)硫代磷酸酯;乐斯本;氯吡硫磷;98%毒死蜱原药;氯蜱硫;ANSI;ISO;BSI;Dowco179;ENT27311;O,O-二乙基-O-3,5,6-三氯-2-吡啶基硫逐磷酸酯;OMS971;氯蜱硫磷

英文通用名称:chlorpyrifos(ANSI,ISO,BSI)
英文别名:O,O-diethyl O-3,5,6-trichloro-2-pyridyl phosphorothioate; ANSI; ISO; BSI; Dowco179; ENT27311; O,O-diethyl-O-(3,5,6-trichloro-2-pyridyl)phos-phorothioate; Clorpyrifos; Phosphorothioic acid O,O-diethyl O-(3,5,6-trichloro-2-pyridinyl) ester; Chlorpyritos; Eradex; Lorsban; Trichlorpyrphos; Chlorpyriphos; O,O-diethyl O-(3,5,6-trichloropyridin-2-yl) phosphorothioate; O,O-diethyl S-(3,5,6-trichloropyridin-2-yl) thiophosphate
分子式:C9H11Cl3NO3PS
分子量:350.5
毒性:属中等毒性杀虫剂。原药大鼠急性经口LD 50 为163mg/kg,急性经皮LD 50 >2g/kg;对试验动物眼睛有轻度刺激,对皮肤有明显刺激,长时间多次接触会产生灼伤。大鼠亚急经口无作用剂量为0.03mg/kg,慢性经口无作用剂量为0.1mg/kg。狗慢性经口无作用剂量为0.03mg/kg。在试验剂量下未见致畸、致突变、致癌作用。室内空气中最高允许浓度为(TLV)0.2mg/m。对鱼类及水生生物毒性较高,红鳟鱼LC 50 为15mg/L(96小时,72℃),对蜜蜂有毒。毒死蜱40.7%乳油,大鼠急性经口LD50为590mg/kg,免急性经皮LD 50 为2330mg/kg,对皮肤、眼睛有刺激性。杀死虫蓝珠14%颗粒剂大鼠性急经口LD 50 >2g/kg,急性经皮>2g/kg,急性吸入LC 50 >0.007μg/L(7小时),对眼睛、皮肤有刺激性。
剂型:40.7%乳油,14%颗粒剂。
分子结构数据
摩尔折射率:77.23
摩尔体积(m/mol):236.7
等张比容(90.2K):637.9
表面张力(dyne/cm):52.7
极化率(10cm):30.61
毒理学数据
试验方法:口服摄入剂量: 300毫克/千克 测试对象:人-人 毒性类型:急性 毒性作用: 1.神经和感觉异常,2.肌肉无力,3.昏迷
试验方法:口服 摄入剂量: 82毫克/千克 测试对象:啮齿动物-鼠 毒性类型:急性 毒性作用:详细的毒副作用没有报告以外的其他致死剂量值
试验方法:吸入 摄入剂量:200 mg/m/4H 测试对象:啮齿动物-鼠 毒性类型:急性 毒性作用: 详细的毒副作用没有报告以外的其他致死剂量值
物化性质
CAS No.:2921-88-2
EINECS号:220-864-4
熔 点:42-44℃
沸 点:200℃
折 射 率:1.56
闪 光 点:181.1°C
密 度:1.398
水 溶 性:Insoluble. 0.00013 g/100 mL
安全术语
S1/2Keep locked up and out of the reach of children.
上锁保存,并避免儿童触及。
S45In case of accident or if you feel unwell, seek medical advice immediately (show the label whenever possible.)
若发生事故或感不适,立即就医(可能的话,出示其标签)。
S60This material and its container must be disposed of as hazardous waste.
该物质及其容器须作为危险性废料处置。
S61Avoid release to the environment. Refer to special instructions / safety data sheets.
避免释放至环境中。参考特别说明/安全数据说明书。
风险术语
R25Toxic if swallowed.
吞食有毒。
R50/53Very toxic to aquatic organisms, may cause long-term adverse effects in the aquatic environment.
对水生生物有极高毒性,可能对水体环境产生长期不良影响。
质量标准
项目名称
指标
原药含量:%≥
95.0,96.0,97.0,98.0
水份:%≤
0.2
酸度(以H2SO4 计):%≤
水份:0.2
0.5
产品特点
⒈ 具有胃毒、触杀、熏蒸三重作用,对水稻、小麦、棉花、果树、蔬菜、茶树上多种咀嚼式和刺吸式口器害虫均具有较好防效。
⒉ 混用相容性好,可与多种杀虫剂混用且增效作用明显(如毒死蜱与三唑磷混用)。
⒊ 与常规农药相比毒性低,对天敌安全,是替代高毒有机磷农药(如1605、甲胺磷、氧乐果等)的首选药剂。
⒋ 杀虫谱广,易于土壤中的有机质结合,对地下害虫特效,持效期长达30天以上。
⒌ 无内吸作用,保障农产品、消费者的安全,适用于无公害优质农产品的生产。
作用机制
⒈是乙酰胆碱酯酶抑制剂,属硫代磷酸酯类杀虫剂。
⒉抑制体内神经中的乙酰胆碱酯酶AChE或胆碱酯酶ChE的活性而破坏了正常的神经冲动传导,引起一系列中毒症状:异常兴奋、痉挛、麻痹、死亡。
杀虫谱广
登记作物 防除对象 登记用量 商品用量 使用方法
水稻 稻飞虱 亩用70-90毫升 茎叶均匀喷雾
水稻 稻纵卷叶螟 亩用70-90毫升 茎叶均匀喷雾
水稻 三化螟 亩用70-90毫升 茎叶均匀喷雾
水稻 稻瘿蚊 亩用300-360毫升,在秧叶1叶1心期及本田分蘖期喷施,也可办细沙15-20公斤撒施。
柑橘树 介壳虫 稀释1000-1500倍 茎叶均匀喷雾
苹果树 绵蚜 稀释1500倍 在绵蚜发生期均匀喷雾
荔枝 蔕蛀虫 稀释1000-1500倍 在荔枝、龙眼采收前20天和7-10天各施药一次
十字花科蔬菜 斜纹夜蛾 亩用45-60毫升 幼虫3龄前茎叶均匀喷雾
十字花科蔬菜 菜青虫 亩用50-75毫升 幼虫3龄前茎叶均匀喷雾
十字花科蔬菜 小菜蛾 亩用100毫升 幼虫3龄前茎叶均匀喷雾
十字花科蔬菜 黄曲跳甲 成虫:亩用45-60毫升均匀喷雾;幼虫:稀释2000倍液 每亩稀释药液300公斤浇灌
韭菜 根蛆 亩用250-300毫升兑水1000公斤 顺根浇灌或每亩用400-500毫升随灌溉水施入
小麦 蚜虫 亩用15-25毫升/亩 在蚜虫发生盛期均匀喷雾
油菜 粘虫 亩用40-50毫升在3龄幼虫前均匀喷雾
注意事项
⒈ 该品对柑橘树的安全间隔期为28天,每季最多使用1次;对水稻的安全间隔期为15天,每季最多使用2次。
⒉ 该品对蜜蜂、鱼类等水生生物、家蚕有毒,施药期间应避免对周围蜂群的影响、蜜源作物花期、蚕室和桑圆附近禁用。远离水产养殖区施药,禁止在河塘等水体中清洗施药器具。
⒊ 该品对瓜类、烟草及莴苣苗期敏感,请慎用。
⒋ 使用该品时应穿戴防护服和手套,避免吸入药液。施药后,彻底清洗器械,并将包装袋深埋或焚毁,并立即用肥皂洗手和洗脸
⒌ 迪芬徳虽然属低毒农药,使用时应遵守农药安全施用规则,若不慎中毒,可按有机磷农药中毒案例,用阿托品或解磷啶进行救治,并应及时送医院诊治。
⒍ 建议与不同作用机制杀虫剂轮换使用。
7.不能与碱性农药混用,为保护蜜蜂,应避免在开花期使用。
8.各种作物收获前应停止用药。
安全处理
中毒症状:表现为抽搐、痉挛、恶心、呕吐等;
不慎误服:用清水将嘴清洗干净,不要自行引吐,携此标签送医诊治。医生可使用阿托品、解膦定等治疗有机磷农药中毒的药剂,并注意迟发性神经毒性问题;不慎吸入:应将病人移至空气流通处;不慎眼睛溅入或接触皮肤:用大量清水冲洗至少15分钟。
贮存和运输:
该品应远离儿童及其他无关人员,应贮存于阴凉、干燥、通风的仓库中,勿与食品、种子、饲料等同贮同运;运输时要防潮防晒;装卸时禁止说笑打闹,禁止吃、喝、抽烟。
应用技术
高效、广谱有机磷杀虫剂--毒死蜱,对害虫具有触杀、胃毒和熏蒸作用,尤其对褐飞虱的防治有非常好的效果。现将有关应用技术介绍如下:
一、产品特点:
1、毒死蜱国内目前有乳油、颗粒剂、微乳剂等剂型。其中以40.7%乳油(同一顺、乐斯本)含量最高;大部分为40%乳油(毒丝本、新农宝、博乐),使用中以乳油最多,效果好;5%的颗粒剂(佳丝本)主要用于蔬菜、瓜类地下害虫的防治,是取代高毒农药3%呋喃丹颗粒剂的优良品种;30%微乳剂正在逐步推广。
2、毒死蜱属中毒农药,对鱼类及水生生物毒性较高,对蜜蜂有毒,在叶片上残留期一般为5-7天,在土壤中残留期较长。对多数作物没有药害,但对烟草、番茄叶面喷雾比较敏感。
3、在当前5代褐飞虱卵孵化盛期或田间虫量较低的田块,可选用25%噻嗪酮(扑虱灵)加40%或40.7%毒死蜱乳油80- 100毫升/亩喷雾。施药时,田间保持2-3厘米水层,对稻田密度较高、药液难以喷到水稻基部的稻田,用担架式喷雾机大容量喷雾;对稻纵卷叶螟、稻蓟马,用40.7%毒死蜱乳油每亩80-120毫升用弥雾机细喷雾;对小菜蛾、菜青虫、大豆害虫,用40.7%毒死蜱乳油每亩用量80-150毫升细喷雾;对柑桔潜叶蛾、红蜘蛛、茶尺蠖等害虫,40.7%毒死蜱乳油稀释浓度为1000-2000倍。
二、注意事项
1、在当前防治褐飞虱时,为提高防效果,毒死蜱可同噻嗪酮、吡蚜酮现混现用,提高对褐飞虱害虫的触杀,胃毒、熏蒸作用。2、在水稻后期用药,更要注意有足够的喷雾量,在每亩推荐用量的情况下,用药量应随喷雾药液增减。水稻后期,应推荐用量的上限,手动喷雾器喷药液每亩50升以上,担架式机动喷雾机喷药液每亩300升以上。3、遵守农药安全使用规程,做好劳动保护。4、粮桑混栽区,要远离养蚕地区谨慎用药,避免稻田用药污染桑叶和蚕中毒。
生产工艺
制备方法一
由二乙基硫代磷酰氯与3,5,6-三氯-2-吡啶醇反应制得。
制备方法二
O,O-二乙基硫代磷酰氯的制备 见喹硫磷的合成。
2-羟钠-3,5,6-三氯吡啶的制备 在催化剂在存在下,吡啶于330℃与氯气发生氯化反应,生成五氯吡啶。然后以乙腈为溶剂,于78℃滴加锌粉/氯化铵水溶液,反应3h得2,3,5,6-四氯吡啶,在碱性条件下,四氯吡啶于95~100℃发生水解,硫酸酸化至pH值3.5,得2-羟基-3,5,6-三氯吡啶。
也可用于下述工艺过程制备相应的羟基氯代吡啶。
毒死蜱合成 将2-羟基-3,5,6-三氯吡啶在NaOH水溶液中溶解,降温,加入少量氯化钠、氢氧化钠、硼酸、苄基三乙基氯化铵(相转移催化剂)、1-甲基咪唑及溶剂二氯甲烷,加热至42℃,于搅拌下加入O,O-二乙基硫代磷酰氯,加毕回流1.5h,分去水相,有机层经水洗,减压脱溶,得毒死蜱,含量90.3%,用乙醇重结晶得白色固体,m.p. 42.5~43℃。也可将O,O-二乙基硫代磷酰氯与2-羟钠-3,5,6-三氯吡啶在惰性溶剂中于60~65℃缩合制得毒死蜱。也可采用双溶剂法,在催化剂存在下反应,控制温度60℃,反应时间3h,pH值9~10,产品收率和纯度分别达94.4%和95%以上。