简介
过氧化钙应用广泛,在食品工业中可用于果蔬保鲜、面包烤制等;在农业、畜牧业中用于作物根系供氧,作饲料添加剂等;在水产养殖中用于鱼虾缺氧浮头的急救、高密度养殖中增氧等;在轻工业中用于制备橡胶、空气清新剂等;在环境修复中用于处理被污染的地下水、土壤;在冶金中用于氰化浸金等。
过氧化钙为强氧化剂,与有机物、还原剂及易燃物等接触有引起燃烧爆炸的危险,过氧化钙遇潮气时分解,并具有较强的腐蚀性。其粉尘对眼、鼻、喉及呼吸道有刺激性,口服会刺激胃肠道,出现恶心、呕吐等症状,长期反复接触会引起皮肤及眼部损害。
结构
过氧化钙分子由一个钙原子与两个氧原子组成。过氧化钙晶体结构属正交晶系,钙原子上氧原子的配位数为8。晶格参数为a=7.1180 Å,b=3.6216 Å,c=5.9537 Å。


理化性质
物理性质
过氧化钙纯品为白色结晶粉末,工业品因含有超氧化物而呈淡黄色,无特殊气味,微溶于水,不溶于乙醇、乙醚,溶于酸。其摩尔质量为72.08 g/mol,密度为2.9 g/cm³,熔点为200 ℃,折射率为1.895。
化学性质
过氧化钙受热至300 ℃时可分解为氧化钙和氧气,在潮湿空气中可与水反应,还可与酸、二氧化碳等物质反应。
热分解
过氧化钙加热至300℃时,分解为氧化钙和氧气。反应方程式如下:

与水反应
过氧化钙在潮湿的空气中与水反应,生成氢氧化钙和过氧化氢。反应方程式如下:

与酸反应
过氧化钙与稀酸反应,生成相应钙盐和过氧化氢。反应方程式如下:

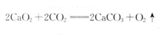
与二氧化碳反应
过氧化钙与二氧化碳反应,逐渐生成碳酸钙并放出氧气。反应方程式如下:

制备方法
钙盐法
过氧化钙可由钙盐法制得。将氯化钙饱和溶液加入反应釜中,在搅拌下加入过氧化氢和氨水进行反应,冷却并析出八水过氧化钙结晶。该法可制得纯度较高的八水过氧化钙结晶。经离心分离后,在脱水干燥机中制得无水过氧化钙。离心分离所得母液可循环使用或部分排放。该法工艺设备简单,技术比较成熟,适合小规模生产。反应方程式如下:


传统氢氧化钙法
过氧化钙可由传统氢氧化钙法制得。其生产流程及主要设备与钙盐法基本类似。先向反应釜中加入过氧化氢稀溶液,在激烈搅拌下缓慢加入过量固体氢氧化钙,反应一段时间,冷却后析出八水过氧化钙。经离心分离、干燥脱水后制得无水过氧化钙。该法工艺设备简单,技术比较成熟,适合小规模生产。反应方程式如下:


空气阴极法
过氧化钙可由空气阴极法制得。空气与氧气在碱性条件下于电解槽中反应,制得含碱过氧化氢;石灰与水在化灰池中消化,制得氢氧化钙乳液。然后将含碱过氧化氢与氢氧化钙反应,制得八水过氧化钙,经固液分离、真空脱水干燥以及粉碎等过程制得过氧化钙成品。母液含氢氧化钠,经蒸发浓缩处理后可循环使用或排放。该法在生产过程中电耗低,成本低,为制造廉价过氧化钙提供了有利条件。反应方程式如下:


喷雾干燥法
过氧化钙可由喷雾干燥法制得。在氢氧化钙悬浮液罐中配制氢氧化钙悬浮液,将氢氧化钙悬浮液和浓过氧化氢溶液送入强烈搅拌的混合反应釜中进行反应,生成的过氧化钙淤浆送入冷却器中冷却,随后进入螺旋搅拌器中停留数时,再用螺旋泵将其送入喷雾干燥器中进行脱水干燥。该法能耗低,收率较高,产品质量好,并可大规模连续生产。反应方程式如下:


应用领域
食品工业领域
过氧化钙可用于食品工业领域。当用于果蔬保鲜时,其能吸收植物代谢放出的二氧化碳气体,同时缓慢放出氧气来维持贮藏室内适宜的环境条件,果实放出的乙稀气体也可以经氧化而被排除;用于面包烤制时,其与面粉加水混合可释放出活性氧,将小麦蛋白质内氨基酸的硫氢根氧化为二硫键,使蛋白质链相互连结而构成面团网状结构,成品色白松软并保持水分;用于咸菜腌渍时,其能避免菜色由青绿色转变为茶褐色;用于啤酒酿造时,其能使麦芽迅速停止休眠状态等。
农业、畜牧业领域
过氧化钙可用于农业、畜牧业领域。过氧化钙施加在土壤之中,可改善农作物根系的呼吸状况,还可中和酸性土壤,促进植物新陈代谢,导致增产。在园艺养花时施加过氧化钙,可防止土壤板结造成的缺氧烂根,花茎枯黄。过氧化钙加除草剂和熟石膏包裹稻种直接播种,可以提高产量,节约了大量工时和劳力,缩短了种植周期,提高了土壤利用率。在有机物堆沤肥中加入过氧化钙后,其分解后放出氧气并生成氢氧化钙可催熟沤肥并中和有机酸,因而省去多次人工翻堆,缩短了熟化时间。此外,过氧化钙还可用作种子、谷物及饲料贮存时的消毒杀菌剂;用作猪饲料的添加剂,提高瘦肉的百分比;用于饲料青贮,减少营养成份的损失;也可作活复混肥料的配料等。
水产养殖领域
过氧化钙可用于水产养殖领域。其在水质处理中可作环境改良剂、杀菌消毒剂等。由于过氧化钙遇水可释放出氧气,增加水中溶氧量,并使游离的二氧化碳与释氧过程中产生的氢氧化钙反应生成碳酸钙沉淀,产生的活性氧和氢氧化钙有杀菌和抑藻作用,可降低水中氨、亚硝酸盐、硫化氢等有害物质的浓度,调节pH值,使胶体物质沉淀,并能补充水生动物对钙的需要。在渔业中主要用于鱼虾缺氧浮头的急救,高密度养殖中增氧,鱼苗种等活体运输,也可治理赤潮生物。
轻工业领域
过氧化钙可用于轻工业领域。过氧化钙是天然橡胶高效硫化剂,可改善天然橡胶的物理化学性能及抗老化性能。过氧化钙也是聚硫橡胶的硬化剂、不饱和聚酯树脂的引发剂、聚硫橡胶的封闭剂,是生产甲醛的催化剂和生产含硒玻璃的添加剂。过氧化钙可用于制备船舶防污染的涂料和电子线路板的玻璃,还可与活性炭、沸石、磷酸、硫酸锌和水玻璃中的一种或多种成分复合制成空气清新剂,用于居室、浴池、厕所、冰箱等除去氨、硫化氢、乙醛等气体及气味。在制造香烟的过程中加入过氧化钙,可减少吸烟时产生的一氧化碳的含量,减小香烟对人体及周围环境的毒害。此外,过氧化钙还可用于生产牙齿清洁剂,在急救用微型氧气发生器中作供氧剂等。
环境治理领域
过氧化钙可用于环境治理领域。其作为一种可控制反应速率来释放氧气和过氧化氢的环保型氧化剂,在废水处理、地下水和土壤修复等领域得到了广泛的应用。过氧化钙可氧化染料、农药、卤代物、石油烃和多环芳烃等多种污染物。同时钙离子可与多种阴离子形成沉淀,降低酸根离子对水质、土壤的影响。
冶金领域
过氧化钙可用于冶金领域。由于过氧化钙水解可生成过氧化氢,是一种强的氧化剂,它除了氧化金元素之外,还能氧化氰化物,在某些金粒表面形成一层钝态氧化膜。过氧化钙在高pH值下较稳定,在溶液中是通过水解而产生活性氧参与浸金反应,活性氧的释放是均衡而缓慢的,因而具有缓和的氧化作用,所以可以显著地提高金的浸出速度和浸出率,并大幅度地降低氰化物用量。
检测方法
量气法
过氧化钙可采用量气法进行检测。将过氧化钙样品加热,使之完全分解,并在一定温度和压力下,测量反应前后量气管内气体的体积变化,经计算可得过氧化钙质量分数。反应原理方程式如下:


高锰酸钾滴定法
过氧化钙可采用高锰酸钾滴定法进行检测。向样品中加入蒸馏水和盐酸使其溶解,再加入硫酸锰溶液。用高锰酸钾标准溶液滴定,直至溶液呈微红色且半分钟内不褪色即为终点。计算得过氧化钙含量。反应原理方程式如下:

碘量法
过氧化钙可采用碘量法进行测定。向样品中加入氢氧化钠溶液和蒸馏水使其溶解,再加入碘化钾和浓盐酸。用硫代硫酸钠标准溶液滴定,当溶液黄色快褪去时加入淀粉指示剂,继续滴定至蓝色消褪。计算得过氧化钙含量。
酶催化显色法
过氧化钙可采用酶催化显色法进行测定。过氧化钙在酸性环境中生成过氧化氢,过氧化氢在HRP(辣根过氧化物酶)的催化作用下,以KI作为增敏剂,可迅速将季胺氧化为黄色。在比色管中分别加入待检液,加入一定量的PBS缓冲液(磷酸氢二钠-磷酸二氢钠缓冲液)、KI溶液和季胺溶液,再加入一定量的HPR,反应一定时间后定容,观察溶液颜色,并在一定波长处,测定其吸光度。计算得过氧化钙含量。反应原理方程式如下:

安全事宜
健康危害
过氧化钙粉尘对眼、鼻、喉及呼吸道有刺激性,口服会刺激胃肠道,出现恶心、呕吐等症状,长期反复接触会引起皮肤及眼部损害。
其他危害
过氧化钙为强氧化剂,与有机物、还原剂、易燃物如硫、磷等接触或混合时有引起燃烧爆炸的危险。过氧化钙遇潮气会逐渐分解,并具有较强的腐蚀性。
应对措施
急救
吸入:转移至新鲜空气处。若患者没有呼吸,则进行人工呼吸,必要时实施心肺复苏,及时就医。
眼睛:用清水缓慢冲洗被污染的眼睛15分钟,及时就医。
皮肤:用大量清水冲洗烧伤处,消毒后用干燥无菌敷料覆盖皮肤,及时就医。
摄入:大量饮水,不要诱导呕吐。若发生呕吐,患者向前倾或左侧卧以保持气道畅通,及时就医。
泄露
过氧化钙小量泄露时应避免扬尘,用洁净的铲子收集于干燥、洁净、有盖的容器中;大量泄漏时,应收集回收或运至废物处理场所处置。泄露时应迅速隔离污染区,限制出入。应急处理人员应佩戴自给式呼吸器,穿防毒服,且不可直接接触泄漏物。过程中避免与与有机物、还原剂、易燃物等接触。
火灾
当过氧化钙引起火灾时可使用干粉、沙土进行灭火,严禁使用水、泡沫、二氧化碳灭火剂进行扑救。
预防措施
眼睛、呼吸系统防护 | 可能接触其粉尘时,建议佩戴头罩型电动送风过滤式防尘呼吸器 |
身体防护 | 穿聚乙烯防毒服 |
手防护 | 戴氯丁橡胶手套 |
储存与贮运
过氧化钙应贮存于阴凉、干燥处。包装应密封、防潮。要防止杂质对产品的污染,勿与酸、碱类物质接触。运输时应防止雨淋和日晒。装卸时应轻拿轻放,防止包装破损。
相关规定
据《卫生部等7部门关于撤销食品添加剂过氧化苯甲酰、过氧化钙的公告(卫生部公告2011年第4号)》规定:“自2011年5月1日起,禁止在面粉生产中添加过氧化苯甲酰、过氧化钙,食品添加剂生产企业不得生产、销售食品添加剂过氧化苯甲酰、过氧化钙;有关面粉(小麦粉)中允许添加过氧化苯甲酰、过氧化钙的食品标准内容自行废止。”