慧贤皇贵妃(1711年-1745年2月25日),原名高佳氏,满洲镶黄旗人,原为镶黄旗包衣,大学士高斌之女。她是乾隆朝首位贵妃和首位皇贵妃。雍正年间,高佳氏被选为四阿哥弘历(乾隆帝)的使女(即格格)。雍正十二年(1734年),雍正帝将高佳氏从使女中提拔为侧福晋。乾隆二年(1737年),乾隆帝册封高佳氏为贵妃。
本页面主要目录有关于慧贤皇贵妃的:人物关系、大事年表、潜邸生涯、贵妃生涯、乾隆作悼念诗、祭文、史籍记载、家族成员、影视形象等介绍
慧贤皇贵妃(1711年-1745年2月25日),原名高佳氏,满洲镶黄旗人,原为镶黄旗包衣,大学士高斌之女。她是乾隆朝首位贵妃和首位皇贵妃。雍正年间,高佳氏被选为四阿哥弘历(乾隆帝)的使女(即格格)。雍正十二年(1734年),雍正帝将高佳氏从使女中提拔为侧福晋。乾隆二年(1737年),乾隆帝册封高佳氏为贵妃。
本页面主要目录有关于慧贤皇贵妃的:人物关系、大事年表、潜邸生涯、贵妃生涯、乾隆作悼念诗、祭文、史籍记载、家族成员、影视形象等介绍
1745年2月25日
汉族(后抬为满洲镶黄旗)
慧贤皇贵妃
爱新觉罗·弘历
清朝
中华人民共和国
满洲镶黄旗
雍正帝超拔高氏为宝亲王侧福晋、乾隆帝初封高氏为贵妃、与乾隆帝合葬
高斌
皇贵妃
裕陵
永寿宫-钟粹宫
乾隆十年(1745年)正月二十三日,乾隆帝晋封高佳氏为皇贵妃,成为乾隆朝首位皇贵妃。然而,正月二十五日,慧贤皇贵妃因病去世,未能行册封礼。同年十月二十七日,慧贤皇贵妃入葬裕陵。
年号纪年 | 公元纪年 | 事件 |
雍正时期 | 1725年 | 选入皇四子弘历府,初为 使女(格格) |
雍正十一年 | 1733 | 皇四子弘历被封为和硕宝亲王 |
雍正十二年三月初一 | 1734 | 钦奉雍正帝谕旨,于使女中超拔为宝亲王 侧福晋 |
雍正十三年九月初三 | 1735 | 弘历继皇帝位,年号乾隆 |
雍正十三年九月 | 1735 | 乾隆帝将高氏母家由内务府包衣抬旗,入镶黄旗 |
雍正十三年九月二十四 | 1735 | 乾隆帝诏封高氏为 贵妃 |
乾隆二年十二月初四 | 1736 | 行贵妃册封礼 |
乾隆十年元旦 | 1745 | 贵妃旧疾复发 |
乾隆十年正月二十三 | 1745 | 晋封 皇贵妃 |
乾隆十年正月二十五 | 1745 | 皇贵妃薨 |
乾隆十年正月二十六 | 1745 | 亲定谥号"慧贤" |
乾隆十年--乾隆十七年 | 1745-1752 | 皇贵妃金棺暂安于静安庄殡宫 |
乾隆十七年十月十七 | 1752 | 与孝贤皇后、哲悯皇贵妃同日葬入清东陵之裕陵 |
嘉庆二十三年正月 | 1817 | 嘉庆帝诏命,将玉牒内慧贤皇贵妃之姓"高氏"改为“高佳氏” |
慧贤皇贵妃(?-1745年2月25日),高氏,正一品大学士高斌之女。生年不详,世居辽阳地,出身内务府包衣世家,依照惯例,内务府三旗女子均需参选秀女,入宫当差,作“承值侍应之人”,即使女。雍正十三年前,高家尚为内务府包衣,其家女子自然不应例外,高斌之女应是通过包衣选秀入选,并被指派给皇四子弘历为使女。高氏入侍的详细时间不明,其后也未生育子女。

雍正十二年三月,因为雍正帝的一纸谕令,高氏由使女上升为宝亲王弘历的侧福晋,谕曰:“宝亲王使女、高斌之女著封为王侧福金”(福金即福晋)。后高斌谢恩折奏曰:“伏念奴才女儿至微至贱,蒙皇上天恩,令侍候宝亲王,今乃于使女之中超拔为侧福晋”。
雍正十三年八月二十三日,雍正帝驾崩;九月初三,宝亲王弘历继皇帝位,年号乾隆;九月二十四日,乾隆皇帝诏封高氏为 贵妃。

雍正驾崩后,高斌奏请入京觐见,十月八日,乾隆帝批示:“两淮盐政职任最为紧要,不必来京。若明年冬初无事可奏请来京。汝女已封贵妃并令汝出旗,但此系私恩不可恃也。若能勉励,公忠为国,朕自然嘉奖。若稍有不逮,始终不能如一,则其当罚,又岂可与常人一例乎”。此时,高氏已被封为贵妃,但因为正值孝期,所以册封后妃之礼直到乾隆二年才正式举行。《清实录》所载:”乾隆二年。丁巳。册立嫡妃富察氏为皇后·······册封庶妃高氏为贵妃。”
册封贵妃时,高氏享有了公主王福晋和三品以上命妇到她的寝宫向她跪拜叩头朝贺的礼仪,而册封娴贵妃,纯贵妃,嘉贵妃这些由妃嫔逐步晋升上来的贵妃时。乾隆以“初封即系贵妃,与由妃嫔晋封贵妃者不同,前者位份尊贵,所以得享公主王福晋大臣命妇的叩头。由妃嫔逐级晋升贵妃的则不同,未便照初封即系贵妃的典礼”为由取消了贵妃的所享公主福晋命妇齐集叩头的大典。
事见鄂尔泰、张廷玉《国朝宫史》所记载:
乾隆十四年四月初六日,上谕:礼部所进册封皇贵妃摄六宫事及晋封贵妃仪注内称,公主、王妃、命妇俱诣皇贵妃、贵妃宫行礼等语。从前皇考时册封敦肃皇贵妃为贵妃,公主、王妃、命妇等俱曾行礼。乾隆二年册封慧贤皇贵妃为贵妃,亦照例行礼。至乾隆十年今皇贵妃及纯贵妃晋封贵妃时,则未经行礼。朕意初封即系贵妃者,公主、王妃、命妇自应加敬行礼。若由妃晋封者,仪节较当略减,此一定之差等。且今皇贵妃及嘉贵妃同日受封,而公主、王妃、命妇行礼略无分别,于礼制亦未允协。嘉贵妃前著照纯贵妃之例,不必行礼。将此载入会典。
根据乾隆帝御制诗《填仓日》中的自注:“圆明园内韶景轩,慧贤皇贵妃所居住也,妃于丙寅年填仓日仙逝,绕逾三年,而孝贤皇后天游又将浃岁遇节于不能已也。”可知高氏在圆明园的住所是韶景轩,又根据《节次照常膳底档》中的记载:“乾隆元年二月十五日,禁止屠宰,“皇太后,承乾宫、钟粹宫贵妃等位,俱各止荤添素·······”可知高氏的寝宫可能为钟粹宫。
乾隆十年高氏病重,乾隆十年正月二十三日晋封皇贵妃,正月二十五日病逝,正月二十六日病逝消息传出同时加乾隆帝加封她为慧贤皇贵妃。后乾隆帝为高氏写下挽诗《慧贤皇贵妃挽诗叠旧作春怀诗韵》纪念她,她病逝后的超度道场除了将照皇贵妃例诵经五次外,还额外增加了雍和宫和栢龄寺的超度道场。其中,在雍和宫的道场更是派五百喇嘛(当时的雍和宫喇嘛满编为500人)念过祝辞后于大殿诵经九日。乾隆帝还曾在清东陵所在地遵化为高氏的父亲赐予了近邻山陵的坟地,使得长眠地下的慧贤皇贵妃能在父母过世后与其长久相望。
高斌的子孙高恒因“两淮盐引案”、高朴因"私鬻玉石案"被乾隆帝处死,在处死高恒之前,大学士傅恒曾奏请皇帝看在已经去世的慧贤皇贵妃的面上,贷其一死。乾隆对此颇不快,不肯赦免,至杀高朴,皇帝再谕:"高朴贪婪无忌,罔顾法纪,较其父高恒尤甚,不能念为慧贤皇贵妃侄而稍矜宥也。"。
乾隆十年正月二十五日(填仓日)慧贤皇贵妃病逝,乾隆皇帝写下以贵妃为题的正式挽诗《慧贤皇贵妃挽诗叠旧作春怀诗韵》:
慧贤皇贵妃挽诗叠旧作春怀诗韵
序:昔谢恵连不得志,于时而有秋怀之作,去年三春无雨忧怀悒欝,因题春怀诗,今岁三白兆于冬万物,熙于春宜,其愉恱舒适矣,而伤逝之感不能释于情,叠韵志怀兼以自讼。
牛女岁一会,讵云隔天汉。
崦嵫虽下舂,扶桑复明旦。
人生赴壑蛇,去势谁能绊。
永惟王衍言,言笑忆晏晏。
更虑汉武事,空贻后人案。
双双梁上燕,队队滩头雁。
时或失乳巢,亦或别沙岸。
况曽赋抱裯,尝经陪曲宴。
忧农予悒欝,强慰予之畔。
频进徐妃箴,未怨班姬扇。
廿年如一日,谁料沉疴臶。
嘱我为君难,不作徒背面。
悼淑励不伤,亏盈月规半。
徘徊虚堂襟,小星三五烂。
有愧庄叟达,匪学陈王叹。
(翻译:序:昔日谢恵连不得志,感于时节,作《秋怀》诗,去年三春无雨,忧怀抑郁,因作《春怀》诗,今岁冬季三降白雪,春雨滋长万物,一派愉悦舒适的景象,而伤逝之感不能释于怀,叠韵抒怀兼以自责。)
由于慧贤皇贵妃仙逝之日为填仓日,此后数年,乾隆皇帝都在填仓日诗中追忆过去表达哀思:
乾隆十一年:
填仓日作
光春风物和氤氲,日逢晴鬯三农欣,
粔籹菜甲酬节令,礼从其俗古所云,
忧民之忧乐民乐,翳予忧乐因民托,
底事间情一惘然,自为此念奚堪者。
乾隆十二年:
填仓日
嫩日轻寒复此辰,评量往事偶伤神,两年未试挑青菜,百岁谁非观电人,
月过上元旋就缺,花争谷雨待成尘,梦华因识无生趣,更不随流漫惜春。
乾隆十三年:
填仓日偶感
最是践春频遇节,每教忆旧一牵情,三年岁月堂堂过,两字空华了了评,
盘菜试挑生意趣,盆花还看幻芳容,能言好鸟枝头啅,拟问因何不得平。
乾隆十四年:
填仓日
已是伤神日,尤然韶景春,三年才过忌,周岁又思人。
悲喜何曾定,平生难具陈,无心饶苑卉,特地更怀新。
(纯皇自注:圆明园内韶景轩,慧贤皇贵妃所居也,妃以丙寅年填仓日仙逝,绕逾三年,而孝贤皇后天游,又将浃岁遇节,兴悲亦情之,不能已也。)
乾隆十五年:
填仓日
五辛盘已撤,十字饼初尝,节物排年纪,风光此日良,
占农真得吉,从俗亦何妨,积润塍鳞叠,成波沼镜张,
从新春婉娩,忆旧景彷徨,更切怀贤匹,无何逮小祥。
(纯皇自注:慧贤皇贵妃于此日仙逝已五阅岁矣,而孝贤皇后二周年将次又及,抚景追昔不禁神伤。)
乾隆十六年:
填仓日作
俗节重填仓,此日宜晴和,朝来风日佳,所喜占得禾,
青齐经数程,气象异昔过,转旋赖天佑,振救之吏宜,
遂使三年间,元气复万家,烟村惜年芳,灯事今夕罗,
便于占民风,姑驰金吾呵,戚戚忆昔人,鹊华况嵯峨,
寻思事固然,旧绪徒延俄,达者戒一往,毋为感慨多。
(纯皇自注:忆慧贤皇贵妃以乙丑是日薨逝,而孝贤皇后又以戊辰春月东巡至济南抱病仙逝,三年之间两失故侣,触绪伤怀何能己己。)
乾隆十七年:
填仓日题
焰灺春镫雪扫花,六街人尚恋年华,昔传端识今堪例,闹后从看静可佳,
十字云腴谩说饼,一杯露馥且分茶,拈毫即景艰成句,惭愧词臣颂八义。
(此年冬,慧贤皇贵妃、哲悯皇贵妃随孝贤皇后一同入葬裕陵。)
乾隆二十二年:
填仓日二首之二(前章即景后章抒情,本诗为后章)
屈指为期十二过,(纯皇自注:慧贤皇贵妃以乙丑年是日薨逝)
可堪回忆是耶歌,
悲欢辗转都为幻,
岁月推迁积以多,
永巷传维式仪则,
中宫复素喜祥和,
不三年又辞予去,(纯皇自注:孝贤皇后以戊辰三月崩于德州舟次)
难向君平问若何。
(此年距慧贤皇贵妃仙逝已一纪)
除了填仓日为贵妃写挽诗外,纯皇其他时日也有感戴慧贤皇贵妃并提及的的作品:
间题(乾隆十三年作)
年将不足畏,事每有余悲,得句凭消闷,参禅那断痴,
两疏谁为待,三岁忽云期,忧喜一番梦,长眠人未知。
(纯皇自注:忆 慧贤皇贵妃薨逝至今春三期矣,在时亦以嫡子未获为忧,今得而复失是一番忧喜梦也,彼不知。兴言及此,殊难为情云。)
烟郊行宫叠去岁诗韵(乾隆十三年)
命驾田盘止顿便,绿窗碧树又葱然,游观藉以消无赖,来往相于似有缘,静悟春花复秋月,痛因今岁较前年(纯皇自注:去岁诗云所思难遣忆前年,盖谓乙丑 春慧贤皇贵妃事后谒陵之便一驻盘山,亦止顿于此,今后丧又已逾时,抚今追昔,无不助感),徘徊未获安心处,空说安心以竟禅。
梦(乾隆十三年)
其来不告去无辞,两字平安报我知。
祗有叮咛思圣母,更教顾复惜诸儿。
醒来泪雨犹沾枕,静觉悲风乍拂帷。
似昔慧贤曾入梦,尚余慰者到今谁。
奉移孝贤皇后梓宫于静安庄凄然神伤抆泪赋此(乾隆十三年)
凤幰平明将奉移,欲留不住我心悲,幽宫閟殿仍同叙(慧贤皇贵妃、哲悯皇贵妃旧安别殿,是日均令祔于皇后之旁,如昔日也),旧感新愁并一时,廿载恩情惟梦会,千秋懿徳尽人知,重垣纵复如中禁,肠断荒郊朔籁吹。
十月二十七日永安孝贤皇后于万年吉地宫,以慧贤、哲悯二皇贵妃附,皆少时相从者。既感逝存、更参梦幻,命笔成什以志一时(乾隆十七年)
鳯翣龙輴何事尔,贯鱼故剑适相从,可知此别非常别,谩道无逢㑹有逢,芦殿惊心陈白日,菆涂举目惨寒冬,百年等是行云寄,廿载凭参流水踪。
孝贤皇后陵寝酹酒(乾隆四十五年)
已是别多时,能无一写悲,七旬忽我逮,百岁任他期,幻景徒惊速,故人不慭遗,(随皇后殡地宫者 慧贤皇贵妃淑嘉皇贵妃如在世皆年逮七旬,今皆辞世益增怅然)曾孙毕姻近,眠者可闻知。
孝贤皇后陵酹酒(乾隆五十四年)
拜瞻礼既毕,胜水峪临前,(皇陵卜此胜水峪在诸陵之右)
追念吟窈窕,不孤谥孝贤,
春秋复三岁,参昴共千年(皇后陵内并有 慧贤皇贵妃等为配)
可识元孙获,思之益怅然。
慧贤皇贵妃大祭文:
翊宣坤教,资婉娩以凝庥;协赞壸仪,式柔嘉以起化。绻(此字为:耳卷)怀淑范,申锡翼(此字为:横山+粉+大)章。尔慧贤皇贵妃高氏,诞育名门。克膺德选,率天家之礼度;允称翟褕,佩女史之箴铭。尤耽文翰,夙承皇考之恩眷,封以侧妃。懋赞朕躬,而谦和深谐中壶。班阶既贵,温良常浃於六宫;褒誉方隆,惠好更周乎九御。宜享和平之福,岂期痰疾之侵,竟谢年华,弥怀轸恻,于戏。功分内治,空陈象服之辉煌;谥表遗徽,载布龙文之焕爤。灵其不昧,尚克歆承。

试译:慧贤皇贵妃大祭文
辅佐宣教女性仪则,天资委婉柔美得到上天的庇护。协助宫中内治,示范柔和美善来引导后宫风尚。为缅怀善美的榜样。。(此句由于为查到一字,暂越过未译)。。你慧贤皇贵妃高氏,出自名门,能够接受以德行为标准的选拔,成为遵守皇家的礼仪法度的表率。与地位相称,常说出令人心悦诚服的女史般的规诫之言。尤其有才华擅文采,早在潜邸就承皇父的恩眷,封为侧福晋。勤奋努力的协助我(皇帝),并且对皇后谦逊平和与她配合得当非常和谐。在后宫位份已经非常尊贵,却能够在后宫温和善良的融洽相处;所受的褒奖和声誉正尊崇盛大,却能够在后宫做得更加友好周全。本来正该享受这和平的福气,谁想到旧病复发,竟在大好年华病逝。我满怀思念地悲痛啊。你有功于内治,空摆着遗像礼服光彩夺目;加谥号表达遗留的美好,也只有美好文章文采灿烂。如果你在天之灵有知,请享用供品。
慧贤皇贵妃初次祭文:
内政克襄,式宫闱之雅化;壶仪允弼,流图史之芳声。礼备饰终,哀申誺德。尔慧贤皇妃高氏,毓秀名家,承恩天室。赞盘匜于慈庆,早蒙贤孝之褒;佐鞶帨于中宫,聿著温恭之誉。晋封椒殿,协福履以均绥;服训籣闱,播徽音而逾茂。讵沉疴之难愈,致令范之云徂。载奠苾芬,良深怆悼,于戏。隆秩有加,怅望翟衣之掩。嘉称特锡,长留彤管之辉。灵其有知,庶几歆格。

试译:慧贤皇贵妃初次祭文
能够辅佐内政,是后宫文秀高雅的楷模;能够辅弼内治,在图史中流传美好的名声。完备礼仪是为了给逝去的你增加尊荣,寄托哀思陈述你的美德。你慧贤皇贵妃高氏,是名家出身的优秀人物,并且承受了皇室的恩泽。佐理太后盥洗之事,很早就蒙受太后褒奖你贤德孝顺。帮助皇后制作女红(或帮助皇后穿衣打扮),常听到皇后夸赞她温和恭敬。要求晋级封赏后宫,让大家与你共享福禄使得后宫更加安静平和;担任教导后宫之责,传扬令闻美德而使得大家更加美好。谁能料到这个拖延良久的重病是如此难以治愈,使得你这个具有楷模般美德的良好的典范像行云般离我而去。陈列祭品满怀深情悲伤地祭奠你啊!抬高品级来厚待你,也只能伤感失意的望着华丽礼服掩盖下的你了。特别赐给你美好的名号,想要长久保存记住你文墨的光辉。如果你在天之灵有知,请享用供品。
慧贤皇贵妃加增谥号祭文:
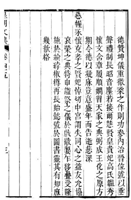
徳赞坤仪,重徽柔之作则;功参内治,晋位号以垂声。礼制长昭,音尘若接。尔慧贤皇贵妃高氏:韫秀怀文、含章履顺,娴习天家之典,弼成王化之原。方期令德以凝庥,岂意盛年而告逝。悲深慈幄,永怀克孝之贤妃;悼切中宫,谓失同心之益友。允协哀荣之典,特申谥祭之仪,于戏。黻翣乍移,叠受隆施于纶綍,椒樽载长,贻懿号于图书。灵其有知,庶几歆格。

试译:慧贤皇贵妃加增谥号祭文:
由于你品德佐赞天下女性仪表,是遵守规矩法度的榜样,并且有功于协助后宫内治,因此晋升你的位号使得您美好的名声得以流传。礼遇和制度得以长期彰显,美好的名誉得以传承。你慧贤皇贵妃高氏:蕴藏秀美、怀藏文采,深含美质、顺循礼仪。熟悉皇家的各项典礼,辅佐成就王业风化的基础和本原。正期待你的美德能够永恒的获得上天的庇护,谁料到正值年华大好却早早离世。太后为此深深的伤悲,永远怀念你这个孝顺的德才兼备的皇妃;皇后也深切悲伤地怀念你,说自己失去了同心协力的对自己有帮助的好朋友。现在依据给予逝者荣誉的典制,为你举行册谥祭奠的仪式。你的棺椁虽然刚刚奉移,可我已经多次发布诏令对你施恩。提高祭器和仪仗规格,使你在图史中流传美好的名号。如果你在天之灵有知,请享用供品。
《列传一·后妃》记载
慧贤皇贵妃,高佳氏,大学士高斌女。事高宗潜邸,为侧室福晋。乾隆初,为贵妃,晋皇贵妃。薨,谥曰慧贤皇贵妃。葬胜水峪。
《孝贤皇后列传》中记载:初,皇贵妃高佳氏薨,上谥以慧贤,后在侧,曰:“吾他日期以‘孝贤’,可乎?”至是,上遂用为谥。
一、贵妃册文曰:
命保和殿大学士张廷玉为正使。内阁学士索柱为副使。
朕惟政先内治。赞雅化于坤元。秩晋崇班。沛渥恩于巽命。彝章式考。典礼攸加。尔庶妃高氏、笃生名族。克备令仪。持敬慎以褆躬。秉柔嘉而成性。椒掖之芳声早著。度协珩璜。璇闱之淑德丕昭。荣膺纶綍。兹仰承皇太后慈谕。以册宝封尔为贵妃。尔其祗勤日懋。迓景福以凝祥。恭顺弥彰。荷洪庥而衍庆。钦哉。
二、晋皇贵妃时上谕:
谕、朕奉皇太后懿旨。贵妃诞生望族。佐治后宫。孝敬性成。温恭素著。著晋封皇贵妃。以彰淑德。娴妃、纯妃、愉嫔、魏贵人。奉侍宫闱。慎勤婉顺。娴妃、纯妃、俱著晋封贵妃。愉嫔、著晋封为妃。魏贵人、著晋封为嫔。以昭恩眷。钦此。特行传谕。该部将应行典礼。察例具奏。
三、皇贵妃高氏薨,加封慧贤皇贵妃。
册文曰:赞雅化于璇宫,久资淑德,缅遗芳于桂殿,申锡鸿称。既备礼以饰终,弥怀贤而致悼。尔皇贵妃高氏,世阀钟祥,坤闺翊政,服习允谐于图史,徽柔早着于宫廷。职佐盘匜,诚孝之思倍挚,荣分翚翟,肃雝之教尤彰。已晋崇阶,方颁瑞物。芝检徒增其位号,椒涂遂失其仪型。兹以册宝,谥曰慧贤皇贵妃。于戏!象设空悬,彤管之清芬可挹,龙文叠沛,紫庭之矩矱长存。式是嘉声,服兹庥命。
雍正十三年九月二十四,刚即位二十一天的乾隆帝就封高氏为贵妃,同时下令将高氏母家从包衣佐领下拨归满洲镶黄旗。但直到嘉庆二十三年正月,嘉庆皇帝才命将玉牒内慧贤皇贵妃母家之姓改为高佳氏。
高斌(?~1755),字右文,高佳氏,满洲镶黄旗人,乾隆皇帝慧贤皇贵妃之父。雍正六年(1728年)授广东省布政使,九年迁副河南山东河道总督。自雍正十三年(1735年)至乾隆十八年(1753年),曾三任江南河道总督,授大学士。治河期间,继承靳辅的治河方策,进一步完善“分黄助清”的防洪措施,对黄河南岸砀山毛城铺、萧县王家山及睢宁峰山等处各减水闸下的引河,因年久淤浅,均进行疏浚;遇黄河异涨,规定徐州水志至七尺时,方准开放减水闸,将分出之水,分由引河经徐州、萧县、宿迁、灵璧诸州县及杨疃等五湖之停蓄澄清后,畅入洪泽湖,借以蓄清刷黄。同时对清口至瓜洲三百余里的运河,实行分泄措施。并规定山盱、尾闾天然南北二坝非到洪泽湖水异常不可轻开,使高、宝诸湖所受之水,循轨入口,不至泛滥下河,从而使高邮、宝应、兴化、盐城诸县民田,连年丰收。
鉴于黄河自宿迁以下至清河,河流湍急,与堤外中运河唇齿相依,他提出加培中运河南堤,作为黄河遥堤,进一步巩固北岸堤防,以保运河安全。
乾隆十八年九月,秋汛已过,黄河在徐州张家路决口,当时新任江南河道总督策楞奏称:淮徐道义官管河同知李焞和武官守备张宾,因共同侵吞工帑,以致误工决口。皇帝震怒,立令把李焞、张宾二人斩首示众,将高斌及江苏巡抚协办河务张师载,以渎职徇纵罪,绑赴刑场陪斩后,解缚释放,以儆效尤。这是清廷对河工失职官员一次最严厉的惩处,在工文武官员,无不凛然。
二十年三月,高斌卒于工地。二十二年乾隆皇帝南巡时指出:“原任大学士、内大臣高斌,任河道总督时颇著劳绩......功在民生,自不可没......治河虽不如靳辅,较齐苏勒、稽曾筠则有过之无不及。可与靳辅等同入祀贤良祠。”赐谥文定。(引文见《清史稿》)
贵妃之兄弟高恒,字立斋。乾隆初以荫生授户部主事,二十二年授两淮盐政,盐政与河督、织造、税务等职务,其职务在清代皆最为肥差。乾隆三十三年(1768)高恒因“盐引案”贪赃论斩。高恒长子高朴,其仕途虽似未因其父被诛而受太大影响,在乾隆三十七年(1772)擢都察院左副都御史,但却与其父有同样下场。高朴于乾隆四十一年(1776)被派往叶尔羌办事,仅仅两年之后,便有阿奇木伯克投诉他,乌什办事大臣永贵又揭发他在叶尔羌存银一万六千余两,金五百余,结果又是籍其家,坐诛。
然高家竟然并未因此而一蹶不振。乾隆五十二年(1787),皇帝又复起用高斌另一孙、高恒之第四子高杞:“原任大学士高斌宣力年久,伊之子孙皆经获罪,现在并无服官者。著将伊孙候补通判高杞调取来京,以内务府郎中补用,以示朕眷注旧臣之意”。高杞参与过平定川湖陕白莲教之役,后曾内授内务府大臣,外署陕甘总督。为宦30多年,历乾隆、嘉庆、道光三朝,官做得起起落落,为人则“声名平常”,虽未如祖辈遭灭顶之灾,也算不上得意。道光二年(1822)以年老休致,道光六年(1826)卒。能得善终,亦属不易。
贵妃之族兄高晋,该家族第二位重要人物,其为高斌之侄,自幼即奉雍正帝之命,随胞叔高斌在任所学习,后以知县用,选山东泗水县,乾隆初曾署两淮盐政、兼管江宁织造。乾隆二十六年(1761)迁江南河道总督。73岁时卒于河南黄河工次。
一个家族仅在乾隆一朝即出两名河督,且高晋的声名并不亚于其叔。高宗怀旧诗中一首咏高斌,还有一首咏高晋:“从来擢督抚,德才量并重。以此下僚中,百不一二中。自知县起者,臻斯必超众。晋也实其人,故悉下情洞。更兼习河务,要任久倚重。乃以治河决,来豫屡稽功……”评价不在高斌之下。
高晋有子十二人,其中三人早亡,余下6人中即有3人在清史有传。
其一是长子高书麟。乾隆三十八年(1773)被任命为领队大臣征金川,功最,图形紫光阁。乾隆四十九年出任安徽巡抚。其时黄、运两河漫溢,高宗因两江总督李世杰不谙河工,而命书麟辅佐,事后擢两江总督。史称书麟“素行清谨,出巡属邑,轻骑减从,民不扰累。和珅当道,又能独善其身。其弟广兴“以首发和珅奸擢官,既得官,多所弹击,书麟不善所为,尝于帝前言之”,广兴获罪,书麟又请严治,如此小心翼翼唯恐牵连及己,不知与高家两人被诛的经历是否有些关系。
其二是七子高广厚,进士出身,官至安湖南巡抚,事迹平平。
其三是幼子高广兴,即不为高书麟所喜者,则张扬得多,“广兴伉爽无城府,疾恶严,喜诋人阴私。既得志,骄奢日甚,纵情声色,不能约束奴仆,终及于祸”。广兴因得罪太监,为人所馋,又赃私有实据,被嘉庆帝置于法,籍其家,子蕴秀也被谪戍吉林,下场倒与其从堂叔高恒和从堂兄高朴相类。
清人谓高家为“叔侄父子大学士:满洲高佳氏高斌(文渊阁大学士)、从子高晋(文华殿大学士)、高晋子书麟(协办大学士)”;或称“高文定斌、高文端晋、书文勤麟……皆补满相”。
内务府诸多家族中,有如此大的起伏而仍能绵延不断并堪称世家者,以高佳世家为最突出。从中一则可知清代官场之严酷,一则可见作为清朝的统治基础,皇室每对世家大族有意扶持,使之在升降起落中能够历久不衰的特点。
时间 | 作品 | 演员 | 剧中名 |
2008 | 上书房 | 何苗 | 慧如 |
2017 | 如懿传 | 童瑶 | 高晞月 |
2018 | 延禧攻略 | 谭卓 | 高宁馨 |
新亚洲娱乐(英文名:ASIA ENTERTAINMENT GROUP LIMITED,全称:新亚洲娱乐联盟集团有限公司)是一家以从事戏剧制作人及杂项戏剧服务为主的企业,成立于1999年,位于香港特别行政区。旗下分公司包括虎威艺能创作有限公司(TGS HK)、稻草人娱乐创作社(Scarecrow Entertainment)、虎威王朝音乐创作股份有限公司(TGS Music)、虎威活力娱乐传播有限公司(TGS Taiwan)、AK Entertainment(Korea)以及AEG Korea等。
印度孟买SENSEX30指数(又称孟买敏感指数)为印度最被广泛使用的指数,为投资印度的重要参考指标,是由孟买证券交易所发行。由于各类媒体提到的“印度股市”,实际上都是孟买股票交易所,因此,该交易所的SENSEX-30指数几乎成了印度股市的代名词。







