发现历史
1797年,贝尔托莱(Berthollet)第一次记录了关于氧化抑制剂的科学研究。在他们的理论中抗氧化作用被描述为氧化反应中的“催化剂中毒”,这也远远早于过氧化自由基理论的提出。迪克洛(Duclax)首次证明大气中的氧参与了游离脂肪酸的氧化。后来,人们又发现鱼油长期暴露在空气中会发出恶臭是由于鱼油中的不饱和脂肪氧化导致的。
早期关于抗氧化剂在生物学和生物化学中的作用研究主要集中在用它们来延缓不饱和脂肪的氧化,作为控制食物酸败的手段。1843年,德尚(Deschamps)研究发现由新鲜猪油制成的软膏不会像用纯猪油制成的软膏那样腐烂,这是最早关于使用抗氧化剂来延缓脂肪氧化的研究。1852年,赖特(Wright)发现使用榆树树皮可以有效地保存乳脂和猪油,这是第一次使用天然来源抗氧化剂用于保存食品油脂。迪弗赖斯(Dufraisse)首次报道了可以使用酚类化合物等合成化学品来延缓食品脂肪氧化分解。马蒂尔(Mattill)最早报道了食品中的抗氧化剂协同作用,这对于通过使用抗氧化剂组合来保持食品的氧化稳定性具有重要意义。他们将抗氧化剂称为抑制剂,并将其分为酸性类、抑制剂类、对苯二酚类和酚类。
自20世纪60年代初以来,随着分析工具的发展,人们对不饱和脂肪自氧化和抗氧化机制的理解有了很大的进步。在全球范围内,研究食品中的天然抗氧化剂以及天然抗氧化剂在预防和治疗氧化应激及相关疾病方面的研究逐渐增多,研究的重点主要集中在抗氧化剂对与组织损伤和退行性疾病有直接关系的重要生物化学反应的影响。人们对脂质氧化及其预防和控制的探索从历史时代起就一直在继续,至今仍在进行。
自由基与氧化应激
自由基是具有不成对电子的原子、分子或离子,它们非常不稳定,化学性质活泼。它是线粒体内正常新陈代谢的一部分,可以通过花生四烯酸途径、缺血和体育锻炼等多种途径产生。同时吸烟、环境污染、辐射和药物等一些外部因素也会促进自由基的产生。氧化应激是用来描述由于自由基生成和抗氧化防御失衡而导致的氧化损伤状态,它会对脂质、蛋白质和核酸在内的多种分子造成损害。自由基与人类的心血管疾病、肺炎、酒精性胃损伤、肝炎、糖尿病、艾滋病等疾病有密切关系。

虽然过量的自由基会造成氧化损伤,但适量的自由基仍是人体生命活动所必需的。自由基过程也是许多氧化酶、脱氢酶进行氧化还原反应的中间环节。氧自由基中的NO·是一种神经传导因子,具有重要的生理作用。此外,自由基在前列腺的合成中也必不可少。因此人体内自由基需要处于不断产生与消除的动态平衡中才不致于对人体造成损害,抗氧化剂摄入过多或缺乏都可能引起疾病的发生。
自由基和清除自由基已成为人类提高生命质量的一个非常重要的内容,医学营养学对摄入营养素提出了以下要求:(1)平衡膳食以满足机体对各种营养素的需求。这是健康防病的需要,也是维持体内氧化和抗氧化良好平衡状态的基本营养要求。(2)多食用蔬菜水果。蔬菜具有清除氧自由基的能力,但许多蔬菜经加热后清除氧自由基活力减弱。因此在卫生安全的前提下应改进烹调方法提倡生食。(3)对于老年、体弱、食欲不佳营养素摄入量不足的人,应适当补充抗氧化营养素保健品。
作用机制
在人类进化过程中,内源性防御逐渐改善,以维持自由基和氧化应激之间的平衡。抗氧化剂可以通过各种不同的机制对自由基发挥保护作用,包括淬灭氧自由基和单线态氧、清除自由基和过氧化物、降低氧气浓度、中断自氧化反应和螯合金属离子。

抗氧化剂清除或淬灭自由基主要是通过电子或氢原子来促进反应进行的,下图中的lnH代表抗氧化剂



抗氧化剂降低氧气浓度主要是作为酶氧化反应底物或还原剂来消耗过多的氧气,从而起到减少氧化反应发生的作用。下图中的XH2是作为酶反应底物,X是作为还原剂。

抗氧化剂能够与金属离子螯合,从而减少金属离子参与氧化反应。

抗氧化剂分类
天然抗氧化剂
内源性抗氧化剂
内源性抗氧化剂是自身存在或通过生化反应产生的具有抗氧化作用的化学物质,主要分为两大类,酶类抗氧化剂和非酶类抗氧化剂。
酶类抗氧化剂
酶类抗氧化剂分为初级和次级酶抗氧化系统。初级酶抗氧化系统由谷胱甘肽过氧化物酶、过氧化氢酶和超氧化物歧化酶三种重要酶组成。谷胱甘肽过氧化物酶是通过生成硒醇提供两个电子来还原过氧化物。过氧化氢酶能将过氧化氢转化为水和分子氧。超氧化物歧化酶能将超氧阴离子转化为过氧化氢。次级酶抗氧化系统包括谷胱甘肽还原酶和葡萄糖-6-磷酸脱氢酶。谷胱甘肽还原酶将谷胱甘肽从氧化态还原成还原型,从而循环利用它来继续中和更多的氧自由基。葡萄糖-6-磷酸脱氢酶能再生合成代谢反应中的辅酶NADPH(烟酰胺腺嘌呤二核苷酸磷酸),并与其他内源性抗氧化剂共同发挥作用。

非酶类抗氧化剂
它们的数量相当多,包括维生素、辅酶因子、含氮化合物和肽。
维生素A
维生素A是由储存在肝脏中的β-胡萝卜素分解产生的,其生理活性形式是视黄醇、视黄醛和视黄酸。维生素A的游离醇形式视黄醇可以通过视黄醇脱氢酶在多种组织中可逆地转化为维生素A的活性形式视黄醛。视黄醛可以转为视黄醇或进一步在视黄醛氧化酶的作用下转化为视黄酸。维生素A对皮肤、眼睛和内脏器官有促进作用。维生素A可以作为断链抗氧化剂,通过与过氧化自由基结合切断自由基在氧化链的传递,维生素A还能直接被氧化生成5,6-维甲酸环氧化物。同时视黄醇也被证明是一种有效的过氧化自由基清除剂。

辅酶Q10
辅酶Q10存在于所有细胞和细胞膜中,它在呼吸链和其他细胞代谢中起重要作用。辅酶Q10可以阻止脂质过氧自由基的形成而发挥作用并通过呼吸链再生。辅酶Q的另一个功能是再生维生素E的能力,有研究认为这种猜测比抗坏血酸(维生素C)再生维生素E的可能性更大,同时也证明了辅酶Q的抗氧化能力强于维生素E。

尿酸
尿酸是人类嘌呤核苷酸代谢的终产物,一般随排泄物排除或被身体再吸收。大多数哺乳动物能通过尿酸氧化酶将尿酸降解为尿囊素,但人体缺少尿酸氧化酶无法被机体代谢。因此人体中的尿酸可以作为抗氧化剂防止血红蛋白与过氧化物过量产生的氧合酶氧化剂从而保护红细胞不会因过氧化而溶解,同时它也是一种单线态氧和羟基自由基的有效清除剂。

谷胱甘肽
谷胱甘肽是一种内源性三肽,它通过提供一个电子来保护细胞免受自由基的侵害。同时它对抗坏血酸等其他抗氧化剂的再生也非常重要。

外源性抗氧化剂
外源性抗氧化剂是人体自身不能合成,只能从动植物或矿物中获得的化学物质。一般通过有机溶剂浸提的方法进行提取。
种类 | 来源 |
维生素类、类胡萝卜素类 | 蔬菜(胡萝卜、番茄等)、水果(草莓、苹果等) |
儿茶素多酚 | 有机绿茶 |
黄酮类、酚酸类 | 银杏叶等中药提取物、丁香、姜黄等香料 |
矿物质 | 硒、铁矿等 |
加工方式会对抗氧化活性成分具有重要的影响,水分和高温会降低蔬菜和水果中抗氧化活性物质的含量,但谷物与水果和蔬菜有所不同,谷物外层(外壳、果皮、种皮和糊粉细胞)中的含量高于其他任何成分,去除外壳和磨碎会降低其活性成分的含量。
维生素C
维生素C是抗坏血酸的通用名。抗坏血酸包括两种具有抗氧化活性的化合物:L-抗坏血酸和L-脱氢抗坏血酸,它们都可以通过胃肠道吸收,并且可以在体内进行酶促转换。抗坏血酸可有效清除超氧阴离子自由基、过氧化氢、羟基自由基、单线态氧和活性氮氧化物。

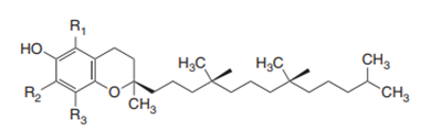
维生素E
维生素E,又称生育酚。由八种异构体组成,包括四种生育酚(a、β、γ和δ-生育酚)和四种生育三烯酚(a、β、γ和δ-生育三烯酚),α-生育酚是生物系统中最有效和最丰富的同种型。其结构中的苯并二氢吡喃基赋予生育酚抗氧化活性。维生素E可以通过向过氧化氢自由基提供酚氢来阻止脂质过氧化,形成生育酚自由基,但形成的自由基不能继续参与氧化链式反应。维生素E是血浆、红细胞和组织中发现的唯一主要脂溶性断链抗氧化剂,对保护体内脂质结构完整性的具有重要作用。研究发现维生素E+维生素C组合具有协同抗氧化性。原因是维生素E在与自由基作用后生成生育酚羟自由基,这种化合物能被维生素C还原成维生素E再发挥抗氧化的作用。




维生素K
维生素K是一种脂溶性化合物,是各种靶蛋白中蛋白质结合谷氨酸盐翻译后转化为羧基谷氨酸盐所必需的重要化合物。维生素K的1,4-萘醌结构使其具有抗氧化保护作用。维生素K有两种天然异构体,即维生素K1和维生素K2。研究发现维生素K1的氢醌可以作为一种有效的抗氧化剂。在与苯氧自由基的反应中,氢醌的效力是生育酚的10倍。维生素K氢醌是γ-谷氨酰羧化酶的活性辅因子。与羧化酶反应偶联,氢醌被氧化成维生素K环氧化物,还原酶又将环氧化物还原成醌,然后还原成氢醌,由此形成维生素K循环。

黄酮类
黄酮类化合物是由黄酮醇、黄烷醇、花色素苷、异黄酮、黄烷酮和黄酮组成的一组抗氧化剂化合物。所有这类化合物都有相同的二苯基丙烷(C₆C₃C₆)骨架。黄酮类化合物的抗氧化特性是由连接在环结构上的酚羟基提供的,羟基的构型和总数都会显著影响抗氧化活性,黄酮类可以作为还原剂、氢供体、单线态氧淬灭剂、超氧化物自由基清除剂,甚至作为金属螯合剂。能够激活抗氧化酶,从而减少α-生育酚自由基产生,抑制氧化酶活性,并增加尿酸和低分子量分子的水平。一些重要的类黄酮如儿茶素、儿茶素没食子酸酯、槲皮素和山萘酚等。

酚酸类
酚酸类主要由羟基肉桂酸和羟基苯甲酸组成。它们在植物材料中普遍存在,常常以酯和糖苷的形式存在。由于它们的自由基清除和螯合特性,可以作为螯合剂和自由基清除剂,对羟基和过氧自由基、超氧阴离子和过氧亚硝酸盐具有特殊影响。其中羟基苯甲酸类中最有前途的化合物是没食子酸,相关的研究较多。

类胡萝卜素
类胡萝卜素是一类天然色素,主要由植物和微生物合成。其可以分成两大类:一类是类胡萝卜素碳氢化合物,含有特定的端基,如番茄红素和β-胡萝卜素。另一类是氧化类胡萝卜素,如玉米黄质和叶黄素。类胡萝卜素的抗氧化作用是基于它们的单线态氧淬灭特性和捕获过氧自由基的能力。类胡萝卜素的淬灭活性主要取决于分子中共轭双键的数量,并在较小程度上受到类胡萝卜素环状或非环状端基取代基性质的影响。其中番茄红素是天然类胡萝卜素中最有效的单线态氧淬灭剂。

矿物质
矿物质只在动物体内痕量存在,是膳食抗氧化剂的小部分,但在它们的新陈代谢中起着重要作用。其中最重要的矿物质是硒和锌。硒在人体中可以有机形式(硒代半胱氨酸和硒代蛋氨酸)和无机形式(亚硒酸盐和亚硒酸盐)存在。它不直接作用于自由基,但却是大多数抗氧化酶不可或缺的组成部分。锌作为一种矿物质,其对新陈代谢的各种途径也是必不可少的。就像硒一样,它不直接攻击自由基,但在防止自由基形成方面非常重要。锌可以作为NADPH氧化酶的抑制剂,抑制NADPH氧化酶利用NADPH作为电子供体催化氧产生单线态氧自由基。锌还能诱导羟基自由基的清除剂金属硫蛋白的产生。锌还能与铁和铜竞争同细胞壁的结合,从而再次减少羟基自由基的产生。
合成抗氧化剂
合成抗氧化剂由于其化学稳定性能阻止食物氧化并延长食品保质期,今天大多数的加工食品中都在使用合成抗氧化剂。
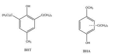
丁基化羟基甲苯(BHT)
二丁基羟基甲苯(BHT)是白色固体,溶于油脂和大多数的有机溶剂,性质稳定。从结构上看,羟基的两边各有一个位阻较大的叔丁基,在羟基释放一个氢原子后,空间位阻减小有利于形成自由基。此外,羟基邻位和对位的三个烃基有诱导给电作用使酚羟基的氢原子容易离去。BHT分子间难以形成氢键,容易在高温下挥发。
丁基化羟基茴香醚(BHA)
丁基羟基茴香醚(BHA)容易在空气中氧化而呈粉红色,易溶于油脂。BHA的羟基邻位只有一个叔丁基,空间位阻作用比BHT小。羟基的对位的甲氧基具有供电子作用,对BHA的抗氧化活性有着较大的影响。分子之间能通过首尾相互作用形成氢键,其挥发性比BHT小。

丁基化羟基甲苯(BHT)和丁基化羟基茴香醚(BHA)是最广泛使用的化学抗氧化剂。2011年至2012年间,欧洲食品安全局(EFSA)重新评估了这两种抗氧化剂的所有可用信息,EFSA将BHT的修订可接受日摄入量设定为每天0.25毫克/千克,BHA设定为每天1.0毫克/千克,并指出成人和儿童的接触量不可能超过这些摄入量。
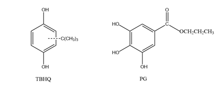
2-叔丁基对苯二酚(TBHQ)
2-叔丁基对苯二酚(TBHQ)在空气中更容易被氧化,一般为米色固体粉末,过度氧化呈褐色。TBHQ的苯环上既有位阻的酚羟基,还有无位阻的酚羟基,TBHQ的抗氧化活性比BHT和BHA的抗氧化活性要高得多,而且分子间极易形成氢键,挥发性较小。它是许多食用动物脂肪、不饱和植物油和肉制品的高效防腐剂,能保持和稳定动物食品的新鲜度、营养价值、颜色和风味。此外,它也不会改变其添加材料的味道或气味。研究发现在合成抗氧化剂中,TBHQ比BHA和BHT更有效,是琉璃苣和月见草油中最强的抗氧化剂。
没食子酸丙酯(PG)
没食子酸丙酯(PG)为白色固体粉末,微溶于水,难溶于油脂,热不稳定,在熔点时易分解。能和金属形成有色复合物。它是一种安全的抗氧化剂,可以防止油、脂肪和含脂肪的食物因过氧化物的形成而酸败。被用于可食用脂肪油、蛋黄酱、起酥油、压敏粘合剂、烘焙产品、润滑油添加剂和转化油的添加剂。

没食子酸辛酯(OG)
没食子酸辛酯(OG)被认为是最安全的食品添加剂,因为食用后会水解成没食子酸和辛醇,这两种物质存在于许多植物中,不会对人类健康构成威胁。没食子酸辛酯除了具有强大的抗氧化活性外,还具有广谱抗菌性。对酿酒酵母和念珠菌、黑曲霉真菌和所有革兰氏阳性菌等都具有杀菌抑制作用。

应用领域
食品工业
在食品工业中,抗氧化剂主要作为食品添加剂来防止食品的腐化变质,延长其保质期。开发利用天然抗氧化剂已成为当今食品科学发展的主要趋势。目前能够应用于食品工业生产的抗氧化剂有维生E、迷迭香提取物、茶多酚等。
化妆品
抗氧化剂在化妆品领域具有重要地位,脸上的浅表细纹和皱纹、色素过度沉积和皮肤发炎等都是由于抗氧化剂缺失导致皮肤损伤而引起的。将具有抗氧化作用的黑莓籽加作为原料加入到化妆品中,能提高其抗氧化、嫩肤和美白的功效。同时,天然、安全的抗氧化剂逐渐取代人工合成抗氧化剂成为化妆品化学家们在化妆品原料上的优先选择,例如在膏霜中添加的超氧化物歧化酶(SOD)和修饰超氧化物歧化酶。
保健食品
在保健食品领域,抗氧化剂主要作为膳食补充剂或保健食品。抗氧化剂可在人体内发挥其巨大的作用,能够预防癌症、神经系统疾病、老年痴呆症和促进消化吸收。茶是一种理想的保健食品,有研究表明坚持每天喝1-2杯茶的人,其发生高血压的风险可降低46%,若每天喝2杯以上,则发生高血压的风险则可降低65%。在国际上对外源性抗氧化剂的摄入量并没有确定的标准,缺乏相关的实验证据去证实过量摄入的危害性。对于健康人群应当适量摄入。一般来说,日常摄入的蔬菜、水果等食物能够基本满足人体对抗氧化物质的需求,只有在严重缺乏时需要进行补充摄入。
临床药物
活性氧与许多疾病的发生相关,在各种与氧化应激相关疾病的预防和保健方面具有一定的效果。姜黄素是一种主要的抗氧化剂,可以作为免疫增强剂,阻断间质防御以预防癌症。抗坏血酸和生育酚具有抗氧化应激的活性,可恢复皮肤衰老。叶黄素、β-胡萝卜素和玉米黄质的饮食参与作为治疗黄斑糜烂和白内障的策略。天然抗氧化剂如类黄酮、维生素、酚酸和类胡萝卜素能有效预防白内障发生。多酚能预防神经退行性疾病,特别是帕金森氏病、阿尔茨海默氏病和肌萎缩侧索硬化症,同时它也可以降低了II型糖尿病(T2DM)的发病率。
注意事项
使用注意
(1)使用标准,各种抗氧化剂除抗坏血酸硬脂肪酸酯外,均有使用标准。但异抗坏血酸及其钠盐、生育酚作为抗氧化剂使用时,可用于任何食品且用量不受限制。(2)注意抗氧化剂的添加时间,必须在过氧化物生成前添加,一旦过氧化物生成,即使加入大量抗氧化剂也是无效的。(3)注意光热、氧气和金属类的影响,因为它们都会促进氧化反应的进行,从而降低抗氧化剂的作用效果。(4)抗氧化剂的使用量很少,在作为食品添加剂使用时必须与食品充分混合才能发挥作用。
过量与缺乏
体内抗氧化剂的缺乏会严重影响机体生理功能,造成机体衰老损伤甚至威胁到生命。例如维生素A的缺乏会引起夜盲症和皮肤干燥,维生素C的缺乏会引起坏血病和抵抗力下降。国际上对于抗氧化剂的摄入没有明确的规定,但是有研究发现过量摄入抗氧化剂也会造成机体伤害。例如维生素A摄入过量会引起中毒现象,主要表现为恶心、呕吐、肌肉无力、坐立不安。维生素C长期大量服用,会引起恶心、呕吐、腹痛、腹泻。若突然减少用量,会比未服药前更易患坏血病,同时尿液酸化,草酸盐急增形成肾结石。