1吨重的飞船加速到光速的10%、50%分别需要多大的能量?
1吨重的飞船加速到光速的10%、50%分别需要多大的能量?
-

如果从静止开始加速,把1吨重的飞船加速到光速的10%或者50%,根据能量守恒,这个过程所需的能量就是最后飞船的动能(假设能量百分百转换)。如果计算出飞船的动能,就相当于知道了加速飞船所需的最少能量。一想到动能,可能很多人脑海里首先会想到的公式是下面这个:
Ek=1/2mv^2
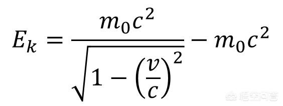
这个动能实在太熟悉了,只要知道质量和速度,动能马上就能算出来。然而,使用这个公式的一个前提是,速度要足够慢,远低于光速才能使用。因为这个公式并不是一个计算动能的精确公式,而是一个低速下的近似公式。在接近光速的情况下,动能的公式如下:

其中m0表示飞船的静止质量,这里就是1吨;v表示飞船的速度,这里为光速的10%或者50%;c表示光速,大小为299792458米/秒(有关上式的推导过程,可以参考我的另外一个问答:https://www.wukong.com/answer/6536920475807777031/)。
当飞船被加速到光速的10%时,对应所需的能量为4.528×10^17焦耳(用低速近似公式的计算结果为4.494×10^17焦耳)。当飞船被加速到光速的50%时,对应所需的能量为1.390×10^19焦耳(用低速近似公式的计算结果为1.123×10^19焦耳)。可以看到,在越接近光速的情况下,近似动能公式的计算结果出现的偏差越大,这就是为什么在亚光速的情况下不能使用经典的动能公式。
另一方面,1千克TNT爆炸后所产生的能量为4.2×10^6焦耳。因此,当飞船被加速到光速的10%时,相当于需要1.1亿吨的TNT。当飞船被加速到光速的50%时,相当于需要33.1亿吨的TNT。
另外,我们可以考虑一下最强的氢弹——沙皇炸弹,它的当量相当于5000万吨TNT。因此,当飞船被加速到光速的10%和50%时,分别需要2.2和66.2枚沙皇炸弹。
2018-04-02 22:00:49 -

如果不计能量的损耗,能量的计算并不难。大家都知道,真空中光速大约为每秒30万千米,光速的10%就是每秒3万千米。
1000公斤的飞船加速到3万千米需要的能量其动能为:mv²/2,可得4.5×10^17焦耳。
TNT每公斤可产生420万焦耳的能量,一吨就是420000万焦耳。所以一顿重量飞船加速到光速的10%,相当于1.07亿顿TNT当量。
如果飞船加速到光速的50%,即每秒15万公里,其动能为1.125×10^19焦耳。换算得26.8亿顿TNT当量。

其实这种算法只能说明,用普通燃料很难使飞船达到光速的量级,因为由相对论,越接近光速物体的质量越大。若使飞船达到每秒上万公里,唯有利用核能才有可能,这在今天,还是人类的一个梦想。
2018-04-02 21:14:23 -
感谢邀请。在宇宙中加速飞船是一件很难的事,你的问题看起来虽然比较简单,但是你知道将飞船加速到光速的10%是什么概念吗?在进行计算之前,我们先来简单感受一下光速的10%到底有多快;光速10%也就是300000000米每秒后面减去一个零,即3千万米每秒,可以看出,世界上最快的飞机也没有这么快。

1:或许这其中有空气阻力的原因,但是到了太空中就可以避免空气阻力,现在我们假设在飞船中有一种能提供大量能源的设备,一吨重的飞船就是1000千克,当飞船速度达到3千万米每秒时,忽略相对论效应,此时飞船的动能就是Ek=1/2×1000×30000000×30000000=4.5E17焦耳。

2:这时你会发现,光是飞船所蕴含的动能都比一颗原子弹爆炸产生的能量多,况且这还没有计算发动机需要产生的总能量,假如飞船的推进器在工作时将燃料能量转化为飞船动能的效率为80%,那么用Ek除以80%就等于5.625E17焦耳,这个能量就是将飞船假如到光速的10%所需的总能量;

而加速到光速的50%也是同样的算法,由于在10%时就已经有很大的能量,所以这里就不计算了,并且在这个时候飞船的质量已经不是1000千克了,因此所需的能量就变得非常大,一般来说没有几个核弹的能量是无法加速的。一吨TNT释放的能量大概是210千万焦耳,即2.1E9焦耳,用5.625E17除以2.1E9约等于2.7E8,所以当飞船的速度被加速到光速的10%时,相当于需要270000000吨TNT来释放能量,我相信没有哪个国家敢下这样的血本。注意,以上计算仅供参考,并没有多大实际意义。专注科学问答,欢迎关注与讨论
2018-04-02 21:24:51 -
这与其说是一道物理题,不如说是一道物理题更为贴切,当中涉及到微积分的部分知识,我在此只提供一下解题思路。
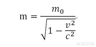
首先,我们需要了解一下,物体运动时的质量与静止时的质量是不同的,因为运动过程中,部分动力势能会转换成质量,这时的物体的质量m0就不是简单的静止质量m了,而运动中的物体的实际质量包含了运动质量和初始质量。
根据爱因斯坦相对论和质量守恒定律可以推导出
m0为运动质量 m为静止质量 v为物体运动速度 c为光速
我们可以看出,随着物体的运动速度的增加,质量会增大。然而在日常应用时,人类所能达到的v相对于光速来讲,实在太小了,所以我们通常会忽略掉物体运动所产生的质量变化。
而随着v慢慢接近于光速,物体的运动质量会慢慢增加。当物体运动质量在0.1c时,其运动质量增加0.5%,达到1.005m。而物体运动质量为0.5c时,其质量会增加15.5%,达到1.155m。
这时根据爱因斯坦方程式E=mc2,可求得当0.1c时,ΔE=0.01m0c2=1005kg*(30,000,000m/s)^2=9.045*10^17J=9.045*10^17/4.19*10^9=2.16*10^8吨TNT,即2.16亿吨TNT,当0.5c时ΔE=0.25m0c2=2.598*10^21J=6.20*10^11吨TNT,即6200亿吨TNT。
2018-04-02 21:11:53