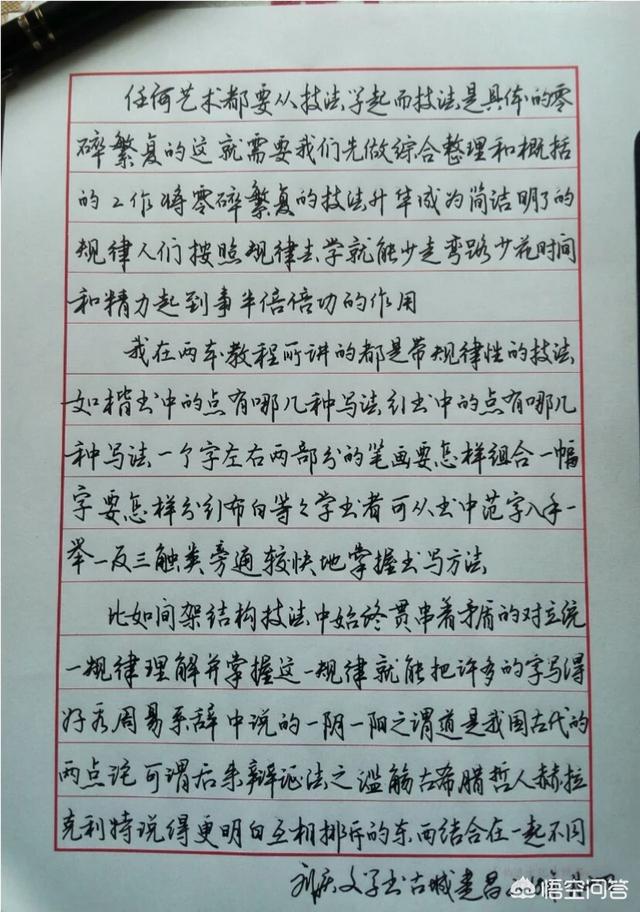
这字怎么评价?

新农商网 全部 1013

这字怎么评价?

回复

共2条回复 我来回复
  • 吻雪无痕1
    吻雪无痕1
    这个人很懒,什么都没有留下~
    评论

    个人习惯笔法较多,建议多临帖。

    字还是写得好,多学习古人的传统写法,逐渐纳入正常轨道,一定会有更大的进步。

    硬笔书法,它也会有一定的规律性的。

    2018-02-04 18:21:38 0条评论
  • 风之问候
    风之问候
    这个人很懒,什么都没有留下~
    评论


    写得干净,笔画结构整无章法,建

    议临帖。

    2018-02-04 15:47:44 0条评论