初中数学有哪些学校可能没讲的但是很好用的结论?
初中数学有哪些学校可能没讲的但是很好用的结论?
-
初中数学中有许多重要的结论,对于考试中许多难题经常能起到“柳暗花明”的效果。典型的几个重要结论整理如下,欢迎大家留言讨论。
一、海伦公式。
知道三角形的三条边边长就可以直接算出面积,公式中p为三角形周长的一半。海伦公式刚开始会感觉比较长,实际上经过几次的计算熟练后,就非常方便了。如果不用海伦公式的话,一般方法是要做垂线、利用勾股定理列方程的,计算量会增加不少。

二、角平分线模型。
角平分线模型分为两钟情况:内角平分线和外角平分线。具体的结论和证明如下图,这个结论在解决初中数学跟角平分线相关的题目非常有效,另外,在高中数学的部分章节有会用到(比如圆锥曲线章节求轨迹方程时也会用到)


三、三角形的面积公式。
主要适用于坐标系里面求解面积问题。尤其是三角形的三条边与坐标系都不平行的情况,直接利用拓展公式就可以解出。面积S=(铅垂高*水平宽)/2。
对比常规的解法,过三角形的三个顶点分别做坐标轴的平行线,构造出矩形,利用割补法计算。这个计算会比较麻烦一些。

四、平行四边形的坐标公式。
解释:假设AD是对角线,则AD的中点坐标与BC的中点坐标重合。当然,根据题意可能需要分类讨论对角线的情况,比如AD是对角线、AB是对角线、AC是对角线,三种情况下都可以用中点公式解出第四个点的坐标。
这类题从初二开始就经常出现,一般是知道平行四边形的三个点左边,求第四个点坐标。如果利用常规解法,画图,然后利用全等三角形求坐标会非常麻烦。此时用坐标公式就非常方便了。
具体做法是:设出第四个点D的坐标,然后求出点A和点D的中点坐标表达式,再求出B和C的中点坐标,最后令这两个中点坐标相等就可以解出D的坐标了。

五、相交弦定理。
在解决圆中的两条弦相交问题非常方便,具体如下图。

六、切割线定理。
切线与割线之间满足一定的比例关系,通过相似就可证明。具体如下:

七、切割线的推论:割线定理。
根据切割线定理,进一步可推导出,两个割线之间满足一定的比例关系。具体如下:


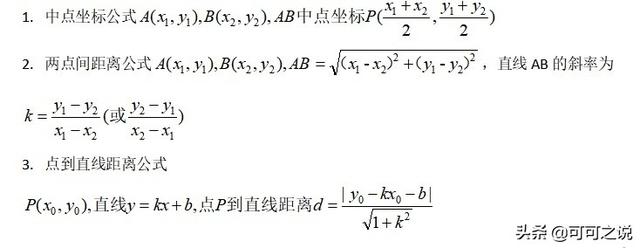
八、坐标系中的三个重要结论。
这三个重要结论,有的学校讲过,有的不讲。但是对于解题非常有用,因而列举如下,初中的同学一定要收藏下来,背诵好。尤其需要强调的是前两个公式,中点公式和斜率公式,对于很多中考的解答题都是非常有效的。
2020-01-02 14:49:13 -
初中数学有哪些学校老师可能不讲但很有用的结论,结合高中数学的学习,如下所列:
一、十字相乘法分解因式。
一元二次方程的解、一元二次不等式的解集,现在的学生就会用公式法,实在太不划算了,用“十字相乘法"分解又快又好又不难。
二、乘法公式。
(a+b)³=a³+3a²b+3ab²+b³
(a-b)³=a³-3a²b+3ab²-b³
a³-b³=(a-b)(a²+ab+b²)
a³+b³=(a+b)(a²-ab+b²)
三、三角形的“心"。
重心:三角形三边中线的交点,且重心到顶点的距离是到对边中点距离的2倍。
垂心:三角形三边上的高的交点。
内心:三角形内切圆的圆心。是三角形三个内角平分线的交点。
外心:三角形外接圆的圆心。是三角形的三边垂直平分线的交点。


2020-01-02 22:40:27 -
初中数学教材中没有但是很好用的结论还挺多的。
1. 数轴上的AB两点距离公式:AB=|a-b|(ab分别为A点和B点表示的数);
2. 数轴上的AB两点中点C表示的数的公式:C:(a+b)/2;
3. 因式分解十字相乘法和分组分解法;
4. 一次函数部分两直线l1(y=k1x+b1)和l2(y=k2x+b2),若l1⊥l2,则k1·k2=-1;若k1·k2=-1,则l1⊥l2;
5. 一次函数y=kx+b若经过A(x1,y1)和B(x2,y2),则k=(y2-y1)/(x2-x1);
6. 平面直角坐标系中平行四边形相对顶点横纵坐标的和相等;
7. 反比例函数图像上两点若横坐标存在比例关系,则纵坐标也存在相反的比例关系;
8. 圆的弦切角定理:弦与切线的夹角等于弦与切线所夹弧所对的圆周角的度数;
9. 圆的切割线定理:从圆外一点引圆的切线和割线,切线长是这点到割线与圆交点的两条线段长的比例中项;
10. 圆的割线定理:从圆外一点引圆的两条割线,这一点到每条割线与圆的交点的两条线段长的积相等;
11. 圆的相交线定理:经过圆内一点引两条弦,各弦被这点所分成的两线段的积相等;
12. 正八边形面积等于中间长方形面积的两倍。
以上结论在大部分教材中都没有出现,但是都是比较好用的结论。要注意这些结论在填空选择题中可以直接使用,但是在解答题中要慎用或证明之后再用。


2020-03-28 09:22:10 -
射影定理、弦切角定理、切割线定理、割线定理、相交弦定理
2020-01-02 23:06:14 -
初中的话没有多少要学的,我写了以下几条,希望能帮到你,在角平分线定理和外角平分线定理那块可以拓展阿氏圆,从而引出一系列最值问题,而其实这两个定理本身还有着更深刻的性质,那就是调和点列与调和线束,这里就不讲了,有兴趣可以看看奥林匹克小丛书高中卷——平面几何。关于定比分点的问题,你只要记住两点连线中点的坐标和三角形的重心坐标就行了,关于抛物线和双曲线(反比例函数也是一种双曲线),若要说性质实在很多,中考也不会考的。现在的初中几何最多涉及到合同变换和相似,相似的本质是面积比,你注意一下四点共圆里相似和射影定理就行了。
最后献上我在纯几何吧发过的一贴,应该还是高二的时候,致敬逝去的青春[皱眉],我写的有什么不懂的可以问我[吃瓜群众]



2020-02-21 03:10:38 -
柯西定理
2020-06-02 01:14:42 -
如下:
2021-07-13 18:01:05