2022广东省考行测数量关系:解和定最值问题有什么妙招?
2022广东省考行测数量关系:解和定最值问题有什么妙招?
-
和定最值,顾名思义就是在几个量的和确定的情况下求其中某个量的最大值或最小值的问题。因此,这类题的题型特征为已知几个量的和或它们的平均数,求其中某个量的最大值或最小值。和定最值问题的核心解题原则为:求某量的最大值,要求其它量尽可能小;求某量的最小值,要求其它量尽可能大。接下来我们通过几个例题来讲解这类题的解题思路。
例1.假设7个相异正整数的和是98,已知这7个数中第三大的数为18,则此7个正整数中最大的数最大是多少?
A.47 B.51 C.53 D.57
【中公解析】已知7个相异正整数的和,所求为其中最大的数的最大值,满足和定最值问题的题型特征。题目中所求为最大量的最大值,要使最大量尽可能大,在和一定的情况下,则让其它量尽可能小,第三大的数确定为18,第二大的数尽可能小且比18大,因此为19,第四、五、六、七大的数也尽量小且各不相同,依次为4、3、2、1,最大的数最大为98-19-18-4-3-2-1=51,选B。
例2.6名同学参加一次百分制考试,已知6人的分数是各不相同的整数。若6名同学的总分是513分,求分数最低的最多得了多少分?
A.83 B.84 C.85 D.86
【中公解析】已知6名同学总分,和一定,求最小量的最大值,满足和定最值问题的题型特征。要想让分数最低的同学得分尽可能大,则需要让其他人的分数尽可能小。设分数最低的人最多得x分,分数倒数第二的人尽可能小且比x大,为x+1分,依次类推,其他人的分数由少到多依次为x+2、x+3、x+4、x+5,分数之和为513分,则x+(x+1)+(x+2)+(x+3)+(x+4)+(x+5)=513,整理为6x+15=513,解得x=83,选A。
2021-07-23 17:52:57 -
今天中公教育给大家介绍一下关于行测数量关系和定最值的“另类”考法,这类考法初识会觉得有些难,但只要掌握了它的解题技巧和对应原理,就会变得非常简单。下面,我们来通过一道例题剖析一下这类题型。
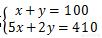
【例】共有100个人参加某公司的招聘考试,考试内容共有5道题,1-5题分别有80人,92人,86人,78人和74人答对,答对了3题和3道以上的人员能通过考试,请问至少有多少人能通过考试?
初读这道题,其实很少有同学能反应过来是和定最值问题,我们来看一下它的问题,“至少有多少人能通过考试?”而总人数是100人,即通过与不通过总共100人,所以它还是两个数加和固定,求某个量的最小值的问题。当然,通过读题我们发现这道题目也是容斥问题的一种。但是都不是很好去解出答案来。那现在我们不妨把要求的能通过考试的人数设为x,没通过的人数设为y,那么就有x+y=100 ?,如果此时我们能再列出一个关于x、y的方程并且把它们解出来就完美了,我们再看一看其他的条件,答对3、4、5道题目的人能通过考试,反过来答对0、1、2道题目的人不通过,而答对的题目总数为80+92+86+78+74=410道,所以可以列式为(3,4,5)x+(0,1,2)y=410 ‚,此时要怎么做才能得到x的最小值呢?这里老师就要给大家介绍“六子口诀”了,叫做:“小系数,同方向”。具体什么意思以及如何操作呢?
第一点,小系数,小系数指的是x,y两组未知数前的系数相对小的,很显然这里应该是(0,1,2)。那么到底取0还是1还是2呢?我们看第二个点,同方向。问题中求的是x的最小值,因此y的值就要最大,因此y的系数也取相对大的2。再看x的系数,在(3,4,5)中怎么确定呢?这里告诉大家,要跟y同方向确定,即取相对最大的5。因此方程组可以重新转化成

,解得x=70,所以至少有70人能通过考试。
总结一下,“小系数,同方向”中小系数,指的是从两组系数中相对小的一组入手;同方向有两层内容,第一层指的是若所求为最大值,小系数的几个值中取最大的,若所求为最小值,小系数的几个值中取最小的;第二层指的是另一个未知数系数大小的确定与小系数方向一致。
那为什么有这样一个“六字口诀”呢?它其中所包含的原理是什么呢?我们来探究一下。
对于

,要求x最小,由?式可得y=100-x,将?式代入‚式可得:(3,4,5)x+(0,1,2)(100-x)=410,也就是(3,4,5)x+(0,1,2)×100-(0,1,2)x=410,所以

,要想让x最小,则分子要可能小而分母要尽可能大,当100前面的乘数取2的时候,分子有最小值。既然取了2,那分母第二个括号里就已经确定是2了,要想让分母大那么第一个括号里就应该取最大的5,最后求得x=70。相比于原理,是不是用小系数,同方向要更加简单呢?
清楚了“小系数,同方向”的技巧和原理,下面我们来看两个例题应用一下。
例. 书法大赛的观众对5幅作品进行不记名投票。每张选票都可以选择5幅作品中的任意一幅或多幅,但只有在选择不超过2幅作品时才为有效票。5幅作品的得票数(不考虑是否有效)分别为总票数的69%、63%、44%、58%和56%。问本次投票的有效率最高可能为多少?( )
A:65% B:70% C:75% D:80%
【答案】B
【中公解析】不妨设参与投票的观众总人数为100人,则5幅作品的得票数(不考虑是否有效)分别为69、63、44、58和56,这几个数字的和为290,即5幅作品的总得票数为290,而总共有100人参与投票,可根据等量关系列式求解,投票情况分为有效票和无效票,其中投1幅或2幅作品的票为有效票,投3幅或4幅或5幅作品的票为无效票,设有效票为x,无效票为y,可列出等式:

根据 “小系数,同方向”,即未知数的系数的选择与小系数对应的未知数的极值取值方向一致,x的系数(1,2)比y的系数(3,4,5)要小,所以x与y的系数选择与x的极值取值方向一致。题目要求投票的有效率最高,即有效票数x最大,所以x与y的系数分别取系数范围中的最大值,x的系数取2,y的系数取5,由此得到2x+5y=290,再结合第一个方程,通过简单的代入消元即可确定x=70,所以有效票最多为70票,而此时总投票人数设为了100人,即投票的有效率为70%。
以上就是中公教育老师为广大考生整理的另类和定最值问题的解题方法,希望考生在平时勤加练习,这样才能在考试中熟练应用,提高做题速度,增加答题准确率!
2021-07-20 14:08:32