真空介电常量和真空磁导率是如何获得的?
真空介电常量和真空磁导率是如何获得的?
-
谢邀。我搞了十多年的压电材料断裂力学,它众多物理参数里就有介电常数这个物理量,所以我来简单解答一下。
1、麦克斯韦方程组
电和磁是一对孪生双胞胎,麦克斯韦统一了电和磁,给出了一组完美的方程,并且与爱因斯坦的相对论完美契合。

上式即为著名的麦克斯韦方程组,其中的物理参数含义如下。这里有些是物理量,有些是算符,有些是常数。在运用这个方程组的时候,我们关心的通常是这些电场、磁场、电势移(电位移)等之类的物理量。但是,想要能够求解出这些物理量,那么方程中的两个常数必须首先得知道才行。推导方程的时候,可以用参数来代替,计算的时候,必须有数据才行。麦克斯韦当初推到方程的时候感觉很爽,但是引入的这两个常数项究竟如何确定呢?

2、介电常数与磁导率的物理含义
麦克斯韦推导方程的时候,并不是随便引入两个常数的,实际上它们俩有着非常明确的物理含义,不然这个方程组也不会这么著名。

介电常数实际上反应的是“导电率”有关的参数,介电体在电场中会被极化,如上图。介电体内部存在一个个小晶体(小分子)结构,原本是杂乱无章的,在外电场的做一下,这些小晶体结构就按照一定的顺序排列了,由于介电体是绝缘体,这些小晶体(小分子)并不能在电场里自由移动,只能在原地做有限的旋转,使得介电体整体上下两端表现出正负电荷,形成一个电容。于是就形成了一个反向的电场,整体上削弱了介质内部的电场。
介电体极化以后在上下表面形成正负电荷的“聚集”,聚集的多少我们用电位移来衡量,即单位面积的电荷量。这个量除了跟外加电场有关,另一个就是介电常数。介电常数越高,聚集的电荷也就越多,“导电率”也就越好,他们之间呈正比关系。可以这样说,介电常数描述的是介电体内小晶体(小分子)旋转的难易程度。

电和磁实际上是一个物体的两个方面。所以,与介电常数类似,磁导率反应的是物体在外加磁场作用下的一个磁化程度。磁导率越大,物体就越容易被磁化,他们之间也成正比关系。如上图所示,物体内部有很多杂乱的小磁体,外加电场后,这些小磁体开始转向,从而整体上表现出磁性。可以这样说,磁导率描述的是物体内部小磁体旋转的难易程度。
3、真空中的介电常数和磁导率
根据上面所述,介电常数和磁导率针对的是物体本身,真空情况下没有物体,何来介电常数和磁导率呢?实际上,真空并非完全没有物质。真空中其实还是有一些带电粒子的。这些带电粒子的运动,就会让磁电互相产生,往外扩散。此时,这些带电粒子不再依托物体了,你可以认为是随风而逝。
所以真空中的介电常数和磁导率就是带电粒子在电场或者磁场中旋转的难易程度。显然,在真空中,带电粒子自由度太大,很难转到指定的位置,这两个值就会较小。真空的介电常数约8.854187817…×10⁻¹² F/m,真空磁导率约 4π×10−7 V·s/(A·m)。一般用的时候,都会给出相对值,即:物体的介电常数和磁导率与真空状态下的比值,是个大于1的数。下图给出了一些材料的磁导率和介电常数。

严格来说,真空磁导率是由实际物理含义的,就如上面所述,但是真空介电常数是个定义值。
4、如何确定真空中的参数
1.真空磁导率的确定
如下图,在真空环境中,有两根导线互相平行,两根导线相距1m,导线内有相同的电流I,那么根据电磁学理论,这两根导线之间存在着电磁力,通过调整电流的大小,让单位长度的导线受到另一根导线的力为2e-7N时,对应的电流强度就是真空磁导率的大小。在这个测量实验里,距离、电流、力都可以通过仪器测出来,pi是常数,从而根据安培定律方程就可以计算出真空磁导率了。

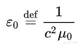
2.真空介电常数的确定真空介电常数定义如下,它与真空磁导率和光速c有关。真空磁导率通过上面的实验可以测出来,光速是固定的,从而真空介电常数就可以计算出来了。如上所述,真空介电常数是个定义值,是根据麦克斯韦方程组导出来的一个物理常量。

5、总结
麦克斯韦方程组是人类史上最完美的方程组之一,它统一了电和磁,仅引入了2个物理常数。实际上真正引入的是真空磁导率这一个物理常数,另一个真空介电常数是个导出的物理常数,是个定义值。真空磁导率可根据安培定律,通过实验测得。
2019-10-07 15:39:31 -
信号频率非常快的时候,材料自身的极化都跟不上了,就只剩下真空介电常数了
2020-04-26 22:39:50